Outage Analysis of Parasitic Ambient Backscatter Communication in Decode-and-Forward Relay Networks with SWIPT
Abstract
1. Introduction
- To the best of our knowledge, the scenario, where the DF relay using SWIPT helps the primary source and parasitic AmBC source to forward information for their corresponding destinations, is investigated for the first time.
- We achieve the analytical expressions of outage probabilities and throughput of both primary and parasitic relaying links. Via the derived theoretical results, we also discuss the effects of the system parameters on the whole system performance.
- From simulation results, we can see that the considered relaying system has a far larger sum throughput than the one with the only primary relaying link. Besides, it is found that the parasitic relaying link can attain considerable throughput gains at the expense of negligible performance degradation of the primary relaying link. It means that utilizing the provided theoretical results, one can carefully choose the system parameters to drastically improve the system performance of the advised relaying system.
2. System Model
2.1. Models in Source Transmitting Phase
2.2. Models in Relay Forwarding Phase
3. Outage Performance Analysis
3.1. Outage Probability of Primary Relay Transmission
3.2. Outage Probability of Parasitic AmBC Transmission
3.3. Effects of Parameters
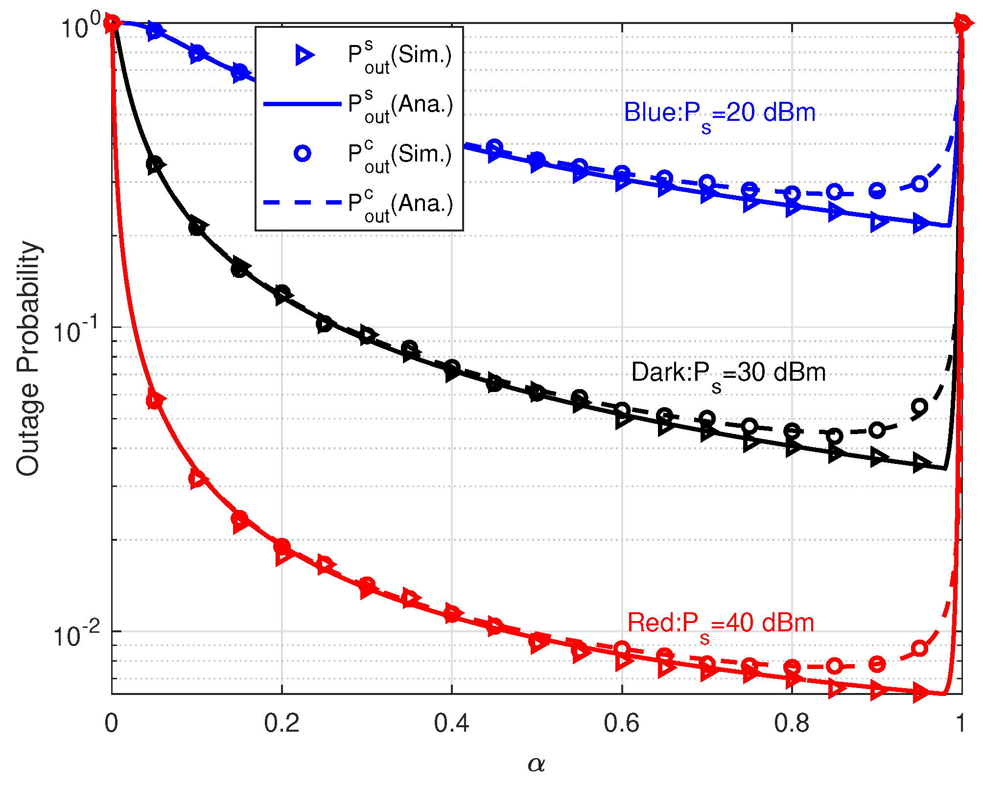
3.3.1. Effects of
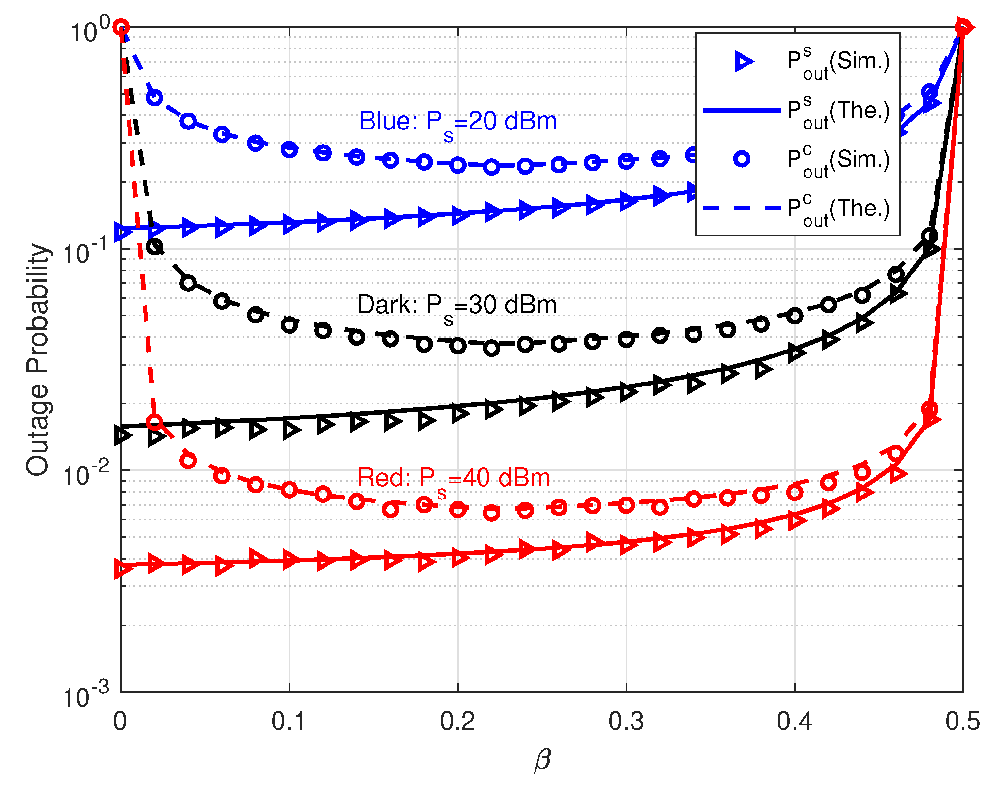
3.3.2. Effects of
3.3.3. Effects of
4. Simulation
5. Conclusions
Author Contributions
Funding
Acknowledgments
Conflicts of Interest
Appendix A. Proof of Theorem 1
Appendix B. Proof of Theorem 2
Appendix C. Proof of Theorem 3
References
- Huynh, N.V.; Hoang, D.T.; Lu, X.; Niyato, D.; Wang, P.; Kim, D.I. Ambient backscatter communications: A contemporary survey. IEEE Commun. Surv. Tutorials 2018, 20, 2889–2922. [Google Scholar] [CrossRef]
- Clerckx, B.; Zhang, R.; Schober, R.; Ng, D.W.K.; Kim, D.I.; Poor, H.V. Fundamentals of wireless information and power transfer: From RF energy harvester models to signal and system designs. IEEE J. Sel. Areas Commun. 2019, 37, 4–33. [Google Scholar] [CrossRef]
- Bletsas, A.; Alevizos, P.N.; Vougioukas, G. The Art of Signal Processing in Backscatter Radio for μW (or Less) Internet of Things: Intelligent Signal Processing and Backscatter Radio Enabling Batteryless Connectivity. IEEE Signal Process. Mag. 2018, 35, 28–40. [Google Scholar] [CrossRef]
- Xu, C.; Yang, L.; Zhang, P. Practical Backscatter Communication Systems for Battery-Free Internet of Things: A Tutorial and Survey of Recent Research. IEEE Signal Process. Mag. 2018, 35, 16–27. [Google Scholar] [CrossRef]
- Mishra, D.; Larsson, E.G. Sum Throughput Maximization in Multi-Tag Backscattering to Multiantenna Reader. IEEE Trans. Commun. 2019, 67, 5689–5705. [Google Scholar] [CrossRef]
- Xu, K.; Qu, Y.; Yang, K. A tutorial on the internet of things: from a heterogeneous network integration perspective. IEEE Netw. 2016, 30, 102–108. [Google Scholar] [CrossRef]
- Zhao, W.; Wang, G.; Fan, R.; Fan, L.S.; Atapattu, S. Ambient Backscatter Communication Systems: Capacity and Outage Performance Analysis. IEEE Access 2018, 6, 22695–22704. [Google Scholar] [CrossRef]
- Yang, G.; Zhang, Q.; Liang, Y.C. Cooperative Ambient Backscatter Communications for Green Internet-of-Things. IEEE Internet Things J. 2018, 5, 1116–1130. [Google Scholar] [CrossRef]
- Qian, J.; Parks, A.N.; Smith, J.R.; Gao, F.; Jin, S. IoT Communications with M -PSK Modulated Ambient Backscatter: Algorithm, Analysis, and Implementation. IEEE Internet Things J. 2019, 6, 844–855. [Google Scholar] [CrossRef]
- Qian, J.; Gao, F.; Wang, G. Signal detection of ambient backscatter system with differential modulation. In Proceedings of the 2016 IEEE International Conference on Acoustics, Speech and Signal Processing (ICASSP), Shanghai, China, 20–25 March 2016; pp. 3831–3835. [Google Scholar]
- Correia, R.; Carvalho, N.B. Dual-band high order modulation ambient backscatter. In Proceedings of the 2018 IEEE/MTT-S International Microwave Symposium - IMS, Philadelphia, PA, USA, 10–15 June 2018; pp. 270–273. [Google Scholar]
- Tao, Q.; Zhong, C.; Huang, K.; Chen, X.; Zhang, Z. Ambient Backscatter Communication Systems with MFSK Modulation. IEEE Trans. Wirel. Commun. 2019, 18, 2553–2564. [Google Scholar] [CrossRef]
- Vougioukas, G.; Bletsas, A. Switching frequency techniques for universal ambient backscatter networking. IEEE J. Sel. Areas Commun. 2019, 37, 464–477. [Google Scholar] [CrossRef]
- Yang, G.; Liang, Y.C.; Zhang, R.; Pei, Y. Modulation in the air: Backscatter communication over ambient OFDM carrier. IEEE Trans. Commun. 2018, 66, 1219–1233. [Google Scholar] [CrossRef]
- ElMossallamy, M.A.; Pan, M.; Jantti, R.; Seddik, K.G.; Li, G.Y.; Han, Z. Noncoherent backscatter communications over ambient OFDM signals. IEEE Trans. Commun. 2019, 67, 3597–3611. [Google Scholar] [CrossRef]
- Tao, Q.; Zhong, C.; Lin, H.; Zhang, Z. Symbol Detection of Ambient Backscatter Systems with Manchester Coding. IEEE Trans. Wirel. Commun. 2018, 17, 4028–4038. [Google Scholar] [CrossRef]
- Guo, H.; Liang, Y.-C.; Long, R.; Zhang, Q. Cooperative Ambient Backscatter System: A Symbiotic Radio Paradigm for Passive IoT. IEEE Wirel. Commun. Lett. 2019, 8, 1191–1194. [Google Scholar] [CrossRef]
- Chen, C.; Wang, G.; He, R.; Gao, F.; Li, Z. Semi-blind detection of ambient backscatter signals from multiple-antenna tags. In Proceedings of the 2018 24th Asia-Pacific Conference on Communications (APCC), Ningbo, China, 12–14 November 2018; pp. 570–575. [Google Scholar]
- Zhang, Y.; Gao, F.; Fan, L.; Lei, X.; Karagiannidis, G.K. Backscatter communications over correlated nakagami-m fading channels. IEEE Trans. Commun. 2019, 67, 1693–1704. [Google Scholar] [CrossRef]
- Guo, H.; Zhang, Q.; Xiao, S.; Liang, Y.C. Exploiting Multiple Antennas for Cognitive Ambient Backscatter Communication. IEEE Internet Things J. 2019, 6, 765–775. [Google Scholar] [CrossRef]
- Duan, R.; Jantti, R.; ElMossallamy, M.; Han, Z.; Pan, M. Multi-antenna receiver for ambient backscatter communication systems. In Proceedings of the 2018 IEEE 19th International Workshop on Signal Processing Advances in Wireless Communications (SPAWC), Kalamata, Greece, 25–28 June 2018; pp. 1–5. [Google Scholar]
- Chen, C.; Wang, G.; Fan, L.; Verde, F.; Guan, H. Detection of ambient backscatter signals from multiple-antenna tags. In Proceedings of the 2018 IEEE 19th International Workshop on Signal Processing Advances in Wireless Communications (SPAWC), Kalamata, Greece, 25–28 June 2018; pp. 1–5. [Google Scholar]
- Tao, Q.; Zhong, C.; Chen, X.; Wu, Q.; Zhang, Z. Ambient backscatter communication systems with multi-antenna reader. In Proceedings of the 2018 24th Asia-Pacific Conference on Communications (APCC), Ningbo, China, 12–14 November 2018; pp. 245–250. [Google Scholar]
- Zhu, G.; Ko, S.W.; Huang, K. Inference from Randomized Transmissions by Many Backscatter Sensors. IEEE Trans. Wirel. Commun. 2018, 17, 3111–3127. [Google Scholar] [CrossRef]
- Zawawi, Z.B.; Huang, Y.; Clerckx, B. Multiuser Wirelessly Powered Backscatter Communications: Nonlinearity, Waveform Design, and SINR-Energy Tradeoff. IEEE Trans. Wirel. Commun. 2019, 18, 241–253. [Google Scholar] [CrossRef]
- Zhang, Y.; Gao, F.; Fan, L.; Lei, X.; Karagiannidis, G.K. Secure Communications for Multi-tag Backscatter Systems. IEEE Wirel. Commun. Lett. 2019, 8, 1146–1149. [Google Scholar] [CrossRef]
- Kang, X.; Liang, Y.C.; Yang, J. Riding on the Primary: A New Spectrum Sharing Paradigm for Wireless-Powered IoT Devices. IEEE Trans. Wirel. Commun. 2018, 17, 6335–6347. [Google Scholar] [CrossRef]
- Lyu, B.; Guo, H.; Yang, Z.; Gui, G. Throughput Maximization for Hybrid Backscatter Assisted Cognitive Wireless Powered Radio Networks. IEEE Internet Things J. 2018, 5, 2015–2024. [Google Scholar] [CrossRef]
- Darsena, D.; Gelli, G.; Verde, F. Cloud-Aided Cognitive Ambient Backscatter Wireless Sensor Networks. IEEE Access 2019, 7, 57399–57414. [Google Scholar] [CrossRef]
- Kishore, R.; Gurugopinath, S.; Sofotasios, P.C.; Muhaidat, S.; Al-Dhahir, N. Opportunistic Ambient Backscatter Communication in RF-Powered Cognitive Radio Networks. IEEE Trans. Cogn. Commun. Netw. 2019, 5, 413–426. [Google Scholar] [CrossRef]
- Yang, G.; Yuan, D.; Liang, Y.; Zhang, R.; Leung, V.C. Optimal resource allocation in full-duplex ambient backscatter communication networks for wireless-powered iot. IEEE Internet of Things J. 2019, 6, 2612–2625. [Google Scholar] [CrossRef]
- Xiao, S.; Guo, H.; Liang, Y. Resource allocation for full-duplex-enabled cognitive backscatter networks. IEEE Trans. Wirel. Commun. 2019, 18, 3222–3235. [Google Scholar] [CrossRef]
- Guo, J.; Zhou, X.; Durrani, S.; Yanikomeroglu, H. Design of non-orthogonal multiple access enhanced backscatter communication. IEEE Trans. Wirel. Commun. 2018, 17, 6837–6852. [Google Scholar] [CrossRef]
- Gong, S.; Huang, X.; Xu, J.; Liu, W.; Wang, P.; Niyato, D. Backscatter Relay Communications Powered by Wireless Energy Beamforming. IEEE Trans. Commun. 2018, 66, 3187–3200. [Google Scholar] [CrossRef]
- Jia, X.; Zhou, X. Performance Characterisation of Relaying Using Backscatter Devices. CoRR 2019. Available online: http://arxiv.org/abs/1904.01323 (accessed on 25 February 2020).
- Yan, W.; Li, L.; He, G.; Li, X.; Gao, A.; Zhang, H.; Han, Z. Performance analysis of two-way relay system based on ambient backscatter. In Proceedings of the 2018 13th IEEE Conference on Industrial Electronics and Applications (ICIEA), Wuhan, China, 31 May–2 June 2018; pp. 1853–1858. [Google Scholar]
- Lyu, B.; Yang, Z.; Guo, H.; Tian, F.; Gui, G. Relay cooperation enhanced backscatter communication for internet-of-things. IEEE Internet Things J. 2019, 6, 2860–2871. [Google Scholar] [CrossRef]
- Shah, S.T.; Choi, K.W.; Lee, T.; Chung, M.Y. Outage probability and throughput analysis of swipt enabled cognitive relay network with ambient backscatter. IEEE Internet Things J. 2018, 5, 3198–3208. [Google Scholar] [CrossRef]
- Ruttik, K.; Duan, R.; Jäntti, R.; Han, Z. Does ambient backscatter communication need additional regulations? In Proceedings of the 2018 IEEE International Symposium on Dynamic Spectrum Access Networks (DySPAN), Seoul, Korea, 22–25 October 2018; pp. 1–6. [Google Scholar]
- Guo, H.; Liang, Y.C.; Long, R.; Xiao, S.; Zhang, Q. Resource Allocation for Symbiotic Radio System with Fading Channels. IEEE Access 2019, 7, 34333–34347. [Google Scholar] [CrossRef]
- Long, R.; Guo, H.; Zhang, L.; Liang, Y.C. Full-Duplex Backscatter Communications in Symbiotic Radio Systems. IEEE Access 2019, 7, 21597–21608. [Google Scholar] [CrossRef]
- Zhang, Q.; Zhang, L.; Liang, Y.C.; Kam, P.Y. Backscatter-NOMA: A Symbiotic System of Cellular and Internet-of-Things Networks. IEEE Access 2019, 7, 20000–20013. [Google Scholar] [CrossRef]
- Li, Y.; Jiang, M.; Zhang, Q.; Qin, J. Secure Beamforming in MISO NOMA Backscatter Device Aided Symbiotic Radio Networks. CoRR 2019, 1–4. Available online: http://arxiv.org/abs/1906.03410 (accessed on 25 February 2020).
- Ye, Y.; Li, Y.; Wang, D.; Zhou, F.; Hu, R.Q.; Zhang, H. Optimal Transmission Schemes for DF Relaying Networks Using SWIPT. IEEE Trans. Veh. Technol. 2018, 67, 7062–7072. [Google Scholar] [CrossRef]
- Lyu, B.; Hoang, D.T.; Yang, Z. User Cooperation in Wireless-Powered Backscatter Communication Networks. IEEE Wirel. Commun. Lett. 2019, 8, 632–635. [Google Scholar] [CrossRef]
- Alevizos, P.N.; Bletsas, A. Sensitive and Nonlinear Far-Field RF Energy Harvesting in Wireless Communications. IEEE Trans. Wirel. Commun. 2018, 17, 3670–3685. [Google Scholar] [CrossRef]
- Hoang, D.T.; Niyato, D.; Wang, P.; Kim, D.I.; Han, Z. Ambient Backscatter: A New Approach to Improve Network Performance for RF-Powered Cognitive Radio Networks. IEEE Trans. Commun. 2017, 65, 3659–3674. [Google Scholar] [CrossRef]
- Li, D.; Peng, W.; Liang, Y.C. Hybrid Ambient Backscatter Communication Systems With Harvest-Then-Transmit Protocols. IEEE Access 2018, 6, 45288–45298. [Google Scholar] [CrossRef]
- Kim, S.H.; Kim, D.I. Hybrid Backscatter Communication for Wireless-Powered Heterogeneous Networks. IEEE Trans. Wirel. Commun. 2017, 16, 6557–6570. [Google Scholar] [CrossRef]
- Ma, Z.H.E.; He, C.; Rao, Y.; Jiang, J.; Ma, S.; Gao, F.; Xing, L. Time- and Power-Splitting Strategies for Ambient Backscatter System. IEEE Access 2019, 7, 40068–40077. [Google Scholar] [CrossRef]
- Kong, H.; Flint, I.; Wang, P.; Niyato, D.; Privault, N. Exact performance analysis of ambient RF energy harvesting wireless sensor networks with Ginibre point process. IEEE J. Sel. Areas Commun. 2016, 34, 3769–3784. [Google Scholar] [CrossRef]
- Olver, F.W.J.; Olde Daalhuis, A.B.; Lozier, D.W.; Schneider, B.I.; Boisvert, R.F.; Clark, C.W.; Miller, B.R.; Saunders, B.V. NIST Digital Library of Mathematical Functions. Release 1.0.23 of 2019-06-15. Ann. Math. Artif. Intell. 2003, 38. Available online: http://dlmf.nist.gov/ (accessed on 25 February 2020).
- Gradshteyn, I.S.; Ryzhik, I.M. Table of Integrals, Series, and Products, 7th ed.; Elsevier/Academic Press: Amsterdam, The Netherlands, 2007. [Google Scholar]







| Symbol | Definition | Default Value |
|---|---|---|
| PS transmit power | 30 dBm | |
| Distance from PS to R | 10 m | |
| Distance from PS to TS | 12 m | |
| Distance from TS to R | 5 m | |
| Distance from R to PD | 10 m | |
| Distance from R to TD | 10 m | |
| RF-DC power conversion efficiency | 1 | |
| Power splitting coefficient | 0.9 | |
| Power allocation coefficient | 0.4 | |
| Reflection coefficient | 0.6 | |
| Circuit dissipation power | 15.8 W [51] | |
| Path-loss exponential | 3 | |
| Information rate of PS | 1 bit/s/Hz | |
| Information rate of TS | 0.5 bit/s/Hz | |
| T | Transmission block length | 1 s |
| Receiver noise power | −65 dBm |
© 2020 by the authors. Licensee MDPI, Basel, Switzerland. This article is an open access article distributed under the terms and conditions of the Creative Commons Attribution (CC BY) license (http://creativecommons.org/licenses/by/4.0/).
Share and Cite
Tuo, Y.; Zhang, C. Outage Analysis of Parasitic Ambient Backscatter Communication in Decode-and-Forward Relay Networks with SWIPT. Sensors 2020, 20, 1273. https://doi.org/10.3390/s20051273
Tuo Y, Zhang C. Outage Analysis of Parasitic Ambient Backscatter Communication in Decode-and-Forward Relay Networks with SWIPT. Sensors. 2020; 20(5):1273. https://doi.org/10.3390/s20051273
Chicago/Turabian StyleTuo, Yanhong, and Chao Zhang. 2020. "Outage Analysis of Parasitic Ambient Backscatter Communication in Decode-and-Forward Relay Networks with SWIPT" Sensors 20, no. 5: 1273. https://doi.org/10.3390/s20051273
APA StyleTuo, Y., & Zhang, C. (2020). Outage Analysis of Parasitic Ambient Backscatter Communication in Decode-and-Forward Relay Networks with SWIPT. Sensors, 20(5), 1273. https://doi.org/10.3390/s20051273

