Utilization of an OLED-Based VLC System in Office, Corridor, and Semi-Open Corridor Environments
Abstract
1. Introduction
2. Simulation
2.1. Simulation Features
2.2. Scenarios
3. Results
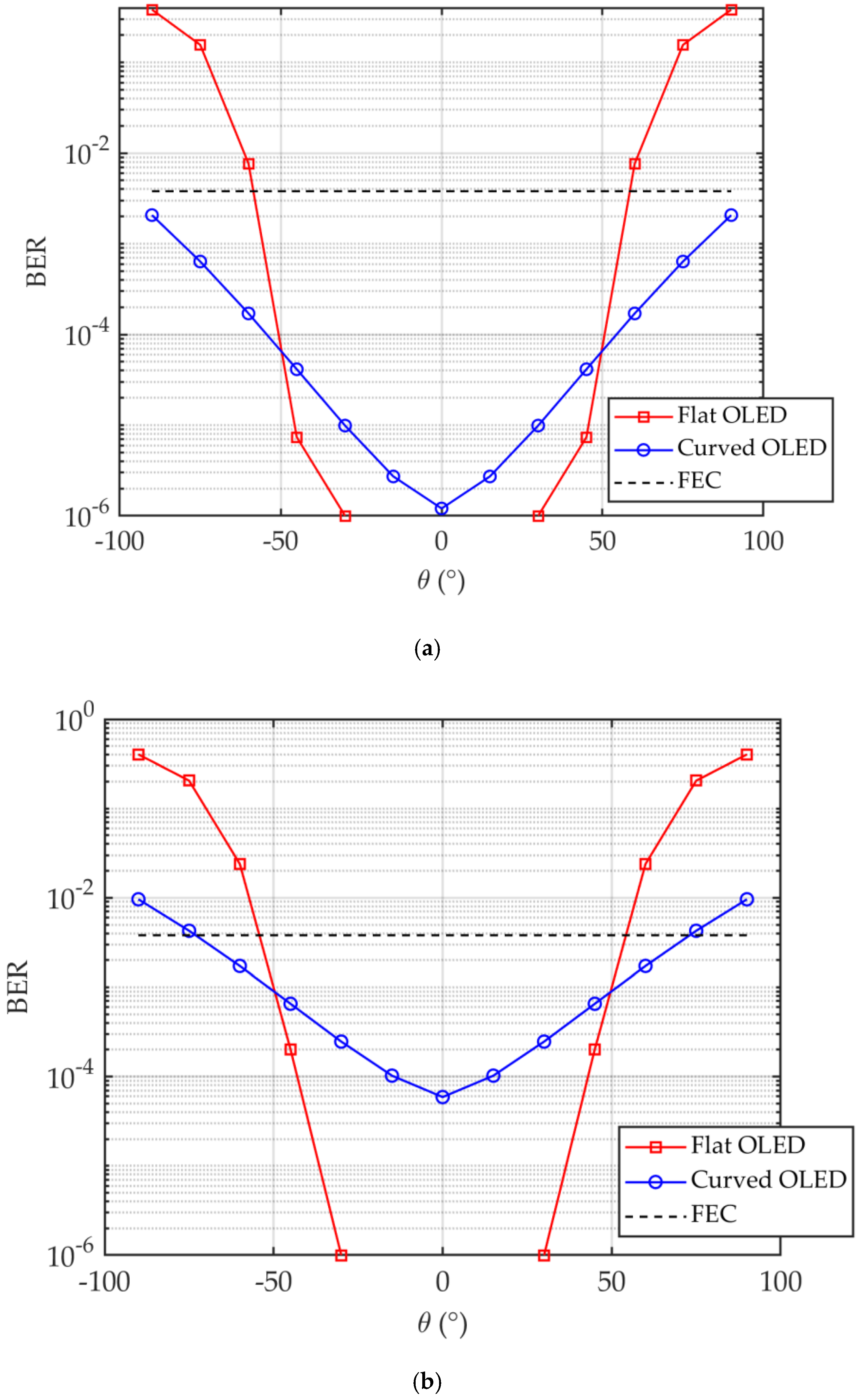
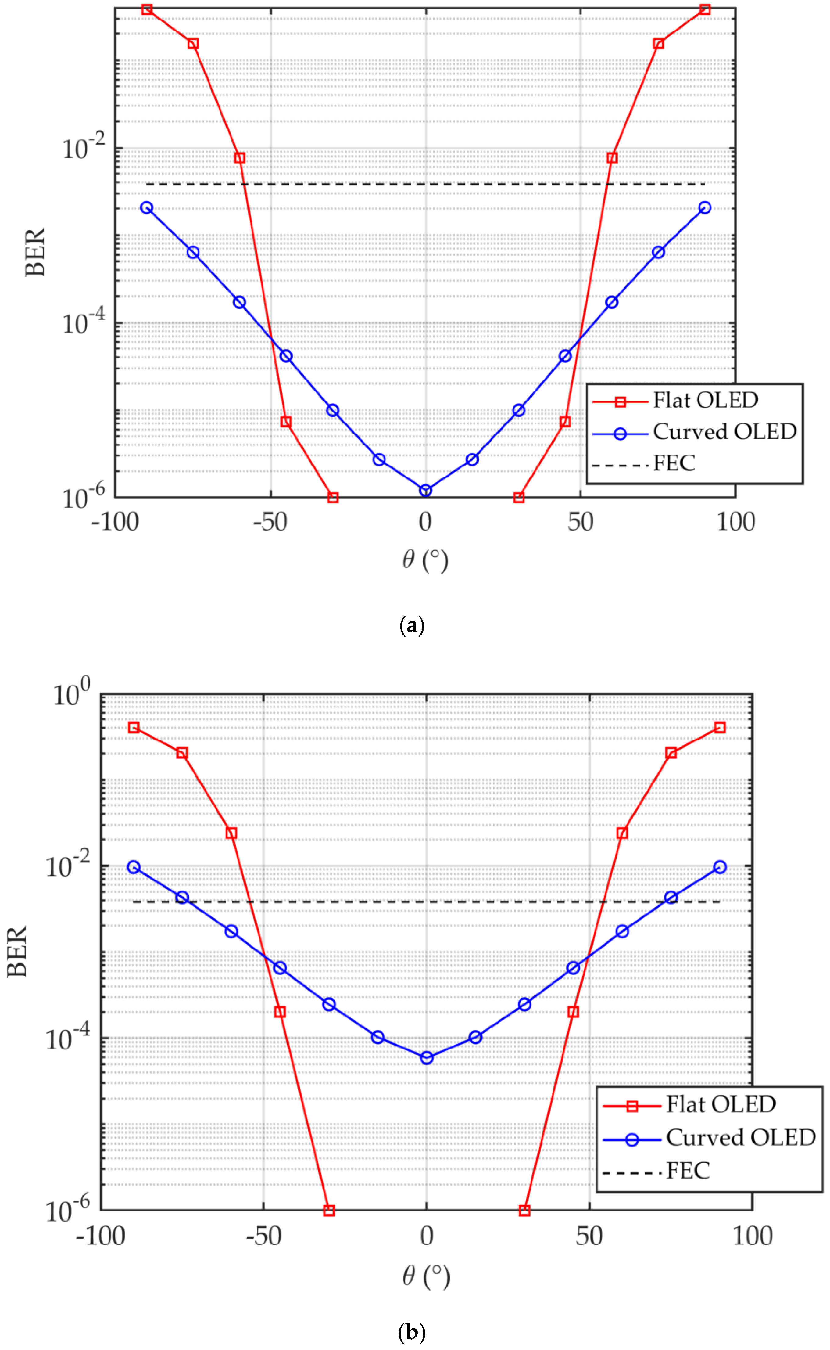
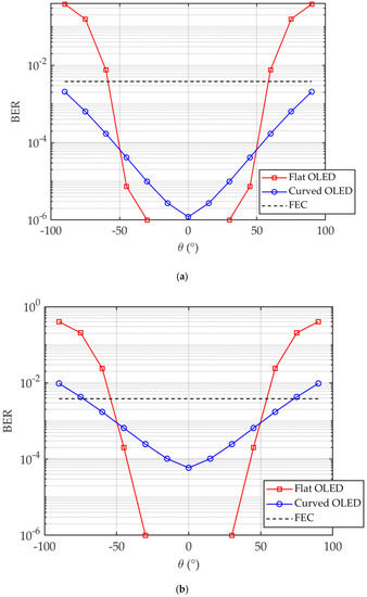
3.1. Comparison of Flat and Curved OLED Based System Performance
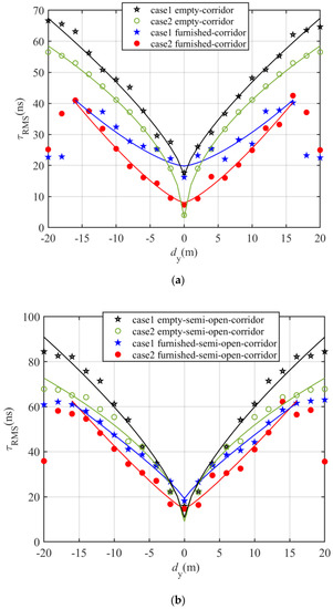
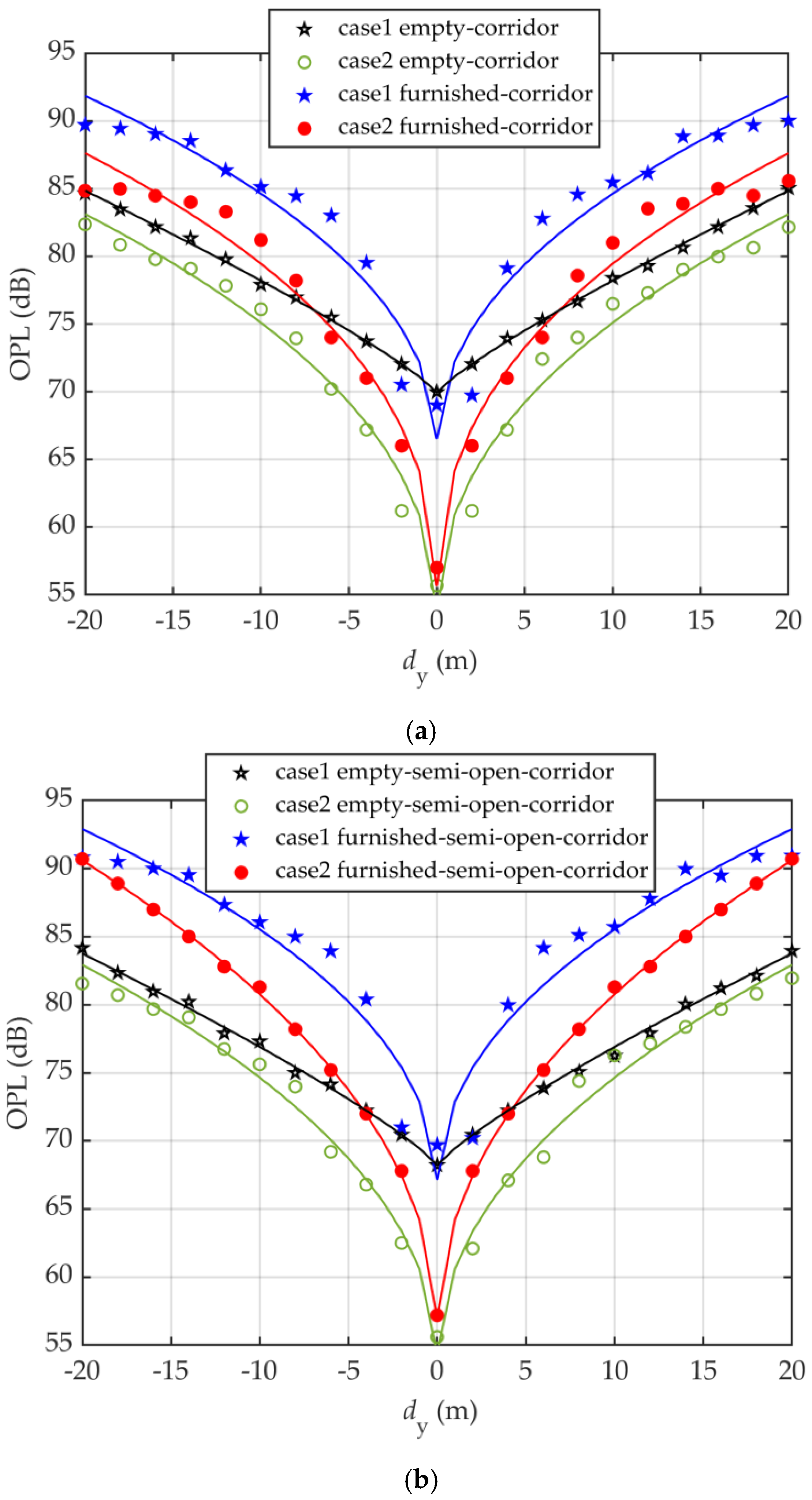
3.2. Channel Charactristics
4. Conclusions
Author Contributions
Funding
Conflicts of Interest
References
- Ghassemlooy, Z.; Alves, L.N.; Zvanovec, S.; Khalighi, M.A. Visible Light Communications: Theory and Applications; CRC Press: Boca Raton, FL, USA, 2017. [Google Scholar]
- Karunatilaka, D.; Zafar, F.; Kalavally, V.; Parthiban, R. LED based indoor visible light communications: State of the art. IEEE Commun. Surv. Tutor. 2015, 17, 1649–1678. [Google Scholar] [CrossRef]
- Wu, S.; Wang, H.; Youn, C.H. Visible light communications for 5G wireless networking systems: From fixed to mobile communications. IEEE Netw. 2014, 28, 41–45. [Google Scholar] [CrossRef]
- Aguiar, L.; de Saa, P.; Guerra, V.; Perez-Jimenez, R. Survey of VLC and OCC Applications on Tourism Industry: Potentials & Challenges. In Proceedings of the 2020 South American Colloquium on Visible Light Communications (SACVC), Santiago, Chile, 1–6 June 2020. [Google Scholar]
- Ji, R.; Wang, S.; Liu, Q.; Lu, W. High-speed visible light communications: Enabling technologies and state of the art. Appl. Sci. 2018, 8, 589. [Google Scholar] [CrossRef]
- Pathak, P.H.; Feng, X.; Hu, P.; Mohapatra, P. Visible light communication, networking, and sensing: A survey, potential and challenges. IEEE Commun. Surv. Tutor. 2015, 17, 2047–2077. [Google Scholar] [CrossRef]
- Karbalayghareh, M.; Miramirkhani, F.; Eldeeb, H.B.; Kizilirmak, R.C.; Sait, S.M.; Uysal, M. Channel Modelling and Performance Limits of Vehicular Visible Light Communication Systems. IEEE Trans. Veh. Technol. 2020, 69, 6891–6901. [Google Scholar] [CrossRef]
- Cheong, Y.K.; Ng, X.W.; Chung, W.Y. Hazardless biomedical sensing data transmission using VLC. IEEE Sens. J. 2013, 13, 3347–3348. [Google Scholar] [CrossRef]
- Quintana, C.; Guerra, V.; Rufo, J.; Rabadan, J.; Perez-Jimenez, R. Reading lamp-based visible light communication system for in-flight entertainment. IEEE Trans. Consum. Electron. 2013, 59, 31–37. [Google Scholar] [CrossRef]
- Zhuang, Y.; Hua, L.; Qi, L.; Yang, J.; Cao, P.; Cao, Y.; Wu, Y.; Thompson, J.; Haas, H. A survey of positioning systems using visible LED lights. IEEE Commun. Surv. Tutor. 2018, 20, 1963–1988. [Google Scholar] [CrossRef]
- Nuwanpriya, A.; Ho, S.W.; Chen, C.S. Indoor MIMO visible light communications: Novel angle diversity receivers for mobile users. IEEE J. Sel. Areas Commun. 2015, 33, 1780–1792. [Google Scholar] [CrossRef]
- Eldeeb, H.B.; Selmy, H.A.; Elsayed, H.M.; Badr, R.I. Interference mitigation and capacity enhancement using constraint field of view ADR in downlink VLC channel. IET Commun. 2018, 12, 1968–1978. [Google Scholar] [CrossRef]
- Chen, C.; Zhong, W.D.; Yang, H.; Zhang, S.; Du, P. Reduction of SINR fluctuation in indoor multi-cell VLC systems using optimized angle diversity receiver. J. Lightw. Technol. 2018, 36, 3603–3610. [Google Scholar] [CrossRef]
- Hassan, N.B.; Ghassemlooy, Z.; Zvanovec, S.; Biagi, M.; Vegni, A.M.; Zhang, M.; Luo, P. Non-line-of-sight mimo space-time division multiplexing visible light optical camera communications. J. Lightw. Technol. 2019, 37, 2409–2417. [Google Scholar] [CrossRef]
- Teli, S.R.; Matus, V.; Zvanovec, S.; Perez-Jimenez, R.; Vitek, S.; Ghassemlooy, Z. Optical Camera Communications for IoT–Rolling-Shutter Based MIMO Scheme with Grouped LED Array Transmitter. Sensors 2020, 20, 3361. [Google Scholar]
- Strobel, N.; Droseros, N.; Köntges, W.; Seiberlich, M.; Pietsch, M.; Schlisske, S.; Lindheimer, F.; Schröder, R.R.; Lemmer, U.; Pfannmöller, M.; et al. Color-Selective Printed Organic Photodiodes for Filterless Multichannel Visible Light Communication. Adv. Mater. 2020, 32, 1908258. [Google Scholar] [CrossRef] [PubMed]
- Ghassemlooy, Z.; Arnon, S.; Uysal, M.; Xu, Z.; Cheng, J. Emerging optical wireless communications-advances and challenges. IEEE J. Sel. Areas Commun. 2015, 33, 1738–1749. [Google Scholar] [CrossRef]
- Ghassemlooy, Z.; Popoola, W.; Rajbhandari, S. Optical Wireless Communications: System and Channel Modelling with Matlab®; CRC Press: Boca Raton, FL, USA, 2019. [Google Scholar]
- Kalinowski, J. Organic Light-Emitting Diodes: Principles, Characteristics & Processes; CRC Press: Boca Raton, FL, USA, 2018. [Google Scholar]
- Kafafi, Z.H. Organic Electroluminescence; CRC Press: Boca Raton, FL, USA, 2018. [Google Scholar]
- Ghassemlooy, Z.; Khalighi, M.-A.; Dehao, W. Channel Modeling. In Visible Light Communications: Theory and Applications; CRC Press: Boca Raton, FL, USA, 2017; pp. 71–92. [Google Scholar]
- Chun, H.; Chiang, C.-J.; O’Brien, D.C. Visible light communication using OLEDs: Illumination and channel modeling. In Proceedings of the 2012 International Workshop on Optical Wireless Communications (IWOW), Pisa, Italy, 22 October 2012; pp. 1–3. [Google Scholar]
- Lee, K.; Park, H.; Barry, J.R. Indoor channel characteristics for visible light communications. IEEE Commun. Lett. 2011, 15, 217–219. [Google Scholar] [CrossRef]
- Ramirez-Aguilera, A.; Luna-Rivera, J.; Guerra, V.; Rabadán, J.; Perez-Jimenez, R.; Lopez-Hernandez, F.J. A generalized multi-wavelength propagation model for VLC indoor channels using Monte Carlo simulation. Trans. Emerg. Telecommun. Technol. 2019, 30, e3490. [Google Scholar] [CrossRef]
- Rodríguez, S.P.; Jiménez, R.P.; Mendoza, B.R.; Hernández, F.J.L.; Alfonso, A.J.A. Simulation of impulse response for indoor visible light communications using 3D CAD models. EURASIP J. Wirel. Commun. Netw. 2013, 2013, 7. [Google Scholar] [CrossRef]
- Zemax OpticStudio 18.9. Available online: http://www.zemax.com/products/opticstudio (accessed on 10 October 2020).
- Miramirkhani, F.; Uysal, M. Channel modeling and characterization for visible light communications. IEEE Photonics J. 2015, 7, 1–16. [Google Scholar] [CrossRef]
- Uysal, M.; Miramirkhani, F.; Narmanlioglu, O.; Baykas, T.; Panayirci, E. IEEE 802.15. 7r1 reference channel models for visible light communications. IEEE Commun. Mag. 2017, 55, 212–217. [Google Scholar] [CrossRef]
- Eldeeb, H.B.; Uysal, M.; Mana, S.M.; Hellwig, P.; Hilt, J.; Jungnickel, V. Channel modelling for light communications: Validation of ray tracing by measurements. In Proceedings of the 12th IEEE/IET International Symposium on Communication Systems, Networks and Digital Signal Processing (CSNDSP), Porto, Portugal, 20–22 July 2020. [Google Scholar]
- Chen, H.; Xu, Z. OLED panel radiation pattern and its impact on VLC channel characteristics. IEEE Photonics J. 2017, 10, 1–10. [Google Scholar] [CrossRef]
- Chaleshtori, Z.N.; Zvanovec, S.; Ghassemlooy, Z.; Eldeeb, H.B.; Uysal, M. A Flexible OLED VLC System for an Office Environment. In Proceedings of the 12th IEEE/IET International Symposium on Communication Systems, Networks and Digital Signal Processing (CSNDSP), Porto, Portugal, 20–22 July 2020. [Google Scholar]
- Chaleshtori, Z.N.; Zvanovec, S.; Ghassemlooy, Z.; Eldeeb, H.B.; Uysal, M. Coverage of a shopping mall with flexible OLED-based visible light communications. Opt. Express 2020, 28, 10015–10026. [Google Scholar] [CrossRef] [PubMed]
- Pinho, P. Optical Communication Technology; IntechOpen: London, UK, 2017. [Google Scholar]
- Proakis, J.G.; Salehi, M. Digital Communications; McGraw-Hill: New York, NY, USA, 2001. [Google Scholar]










| Item | Parameter | Value | ||
|---|---|---|---|---|
| Surface material refractivity in % (RGB) | Chair, sofa (leather) | 24 | 18.8 | 16.3 |
| Coffee cup (ceramics) | 97.1 | 96.2 | 92.3 | |
| Human clothes (cotton) | 67 | 58 | 45.6 | |
| Plant (leaf) | 14 | 5.9 | 8.2 | |
| Desk, book shelf, book (pine wood) | 70 | 51 | 33.1 | |
| Laptop, PC, printer, and telephone (black gloss paint) | 3.4 | 3.2 | 3.2 | |
| Transmission coefficient in % (RGB) | Glass windows | 88 | 90 | 87 |
| Room size | Office | 3 m3 | ||
| Corridor | 3 m3 | |||
| Semi-open corridor | 3 m3 | |||
| Tx | Dimension | 1 × 0.5 m2 | ||
| Type | Flexible | |||
| Bandwidth | 50 kHz | |||
| Power of lighting | 10 W | |||
| Number of OLED panels | 19 | |||
| Number of chip/LED panel | 64 | |||
| Power of each chip | 8.2 mW | |||
| Curvature radius | 32 cm | |||
| Location in office | (4, 0.33, 1.5) m | |||
| Location in corridor and semi-open corridor | case1: (0.1, 20, 1.5) m case2: (4.9, 20, 1.5) m | |||
| Channel | Time resolution | 0.2 ns | ||
| Rx | Active area of PD | 1 cm2 | ||
| Responsivity | 0.4 A/W | |||
| FOV | 90° | |||
| Incident angle | 0° | |||
| One sided noise power spectral density No | 10−19 W/Hz | |||
| OLED Type | p1 | p2 | p3 |
|---|---|---|---|
| Curved | 8.707 × 10−10 | 4.589 | 4.172 |
| Flat | 1.765 × 10−5 | 2.875 | 3.312 |
| OLED Type | a1 | a2 | a3 |
|---|---|---|---|
| Curved | 0.2964 × 10−2 | 1.465 | 58.26 |
| Flat | 9.315 × 10−5 | 2.646 | 56.42 |
| Environment | r1 | r2 | r3 |
|---|---|---|---|
| case1 empty-corridor | 5.32 | 0.7519 | 16.83 |
| case2 empty-corridor | 11.26 | 0.5358 | 2.446 |
| case1 furnished-corridor | 0.409 | 1.424 | 19.79 |
| case2 furnished-corridor | 0.890 | 1.296 | 7.947 |
| case1 empty-semi-open corridor | 9.777 | 0.7035 | 10.5 |
| case2 empty-semi-open corridor | 11.9 | 0.5637 | 8.267 |
| case1 furnished-semi-open corridor | 3.860 | 0.864 | 19.214 |
| case2 furnished-semi-open corridor | 2.020 | 1.143 | 14.513 |
| Environment | l1 | l2 | l3 |
|---|---|---|---|
| case1 empty-corridor | 1.160 | 0.852 | 69.95 |
| case2 empty-corridor | 7.893 | 0.446 | 53.01 |
| case1 furnished-corridor | 6.379 | 0.469 | 65.823 |
| case2 furnished-corridor | 10.010 | 0.403 | 54.130 |
| case1 empty-semi-open corridor | 1.265 | 0.838 | 68.190 |
| case2 empty-semi-open corridor | 6.946 | 0.480 | 53.670 |
| case1 furnished-semi-open corridor | 6.453 | 0.470 | 66.451 |
| case2 furnished-semi-open corridor | 8.039 | 0.485 | 56.180 |
Publisher’s Note: MDPI stays neutral with regard to jurisdictional claims in published maps and institutional affiliations. |
© 2020 by the authors. Licensee MDPI, Basel, Switzerland. This article is an open access article distributed under the terms and conditions of the Creative Commons Attribution (CC BY) license (http://creativecommons.org/licenses/by/4.0/).
Share and Cite
Nazari Chaleshtori, Z.; Ghassemlooy, Z.; Eldeeb, H.B.; Uysal, M.; Zvanovec, S. Utilization of an OLED-Based VLC System in Office, Corridor, and Semi-Open Corridor Environments. Sensors 2020, 20, 6869. https://doi.org/10.3390/s20236869
Nazari Chaleshtori Z, Ghassemlooy Z, Eldeeb HB, Uysal M, Zvanovec S. Utilization of an OLED-Based VLC System in Office, Corridor, and Semi-Open Corridor Environments. Sensors. 2020; 20(23):6869. https://doi.org/10.3390/s20236869
Chicago/Turabian StyleNazari Chaleshtori, Zahra, Zabih Ghassemlooy, Hossien B. Eldeeb, Murat Uysal, and Stanislav Zvanovec. 2020. "Utilization of an OLED-Based VLC System in Office, Corridor, and Semi-Open Corridor Environments" Sensors 20, no. 23: 6869. https://doi.org/10.3390/s20236869
APA StyleNazari Chaleshtori, Z., Ghassemlooy, Z., Eldeeb, H. B., Uysal, M., & Zvanovec, S. (2020). Utilization of an OLED-Based VLC System in Office, Corridor, and Semi-Open Corridor Environments. Sensors, 20(23), 6869. https://doi.org/10.3390/s20236869

