Modelling of Phase Contrast Imaging with X-ray Wavefront Sensor and Partial Coherence Beams
Abstract
1. Introduction
2. Materials and Methods
2.1. Fresnel Propagator
2.2. Propagator Validation
2.3. Source Coherence
2.4. Computational Details
3. Results and Discussion
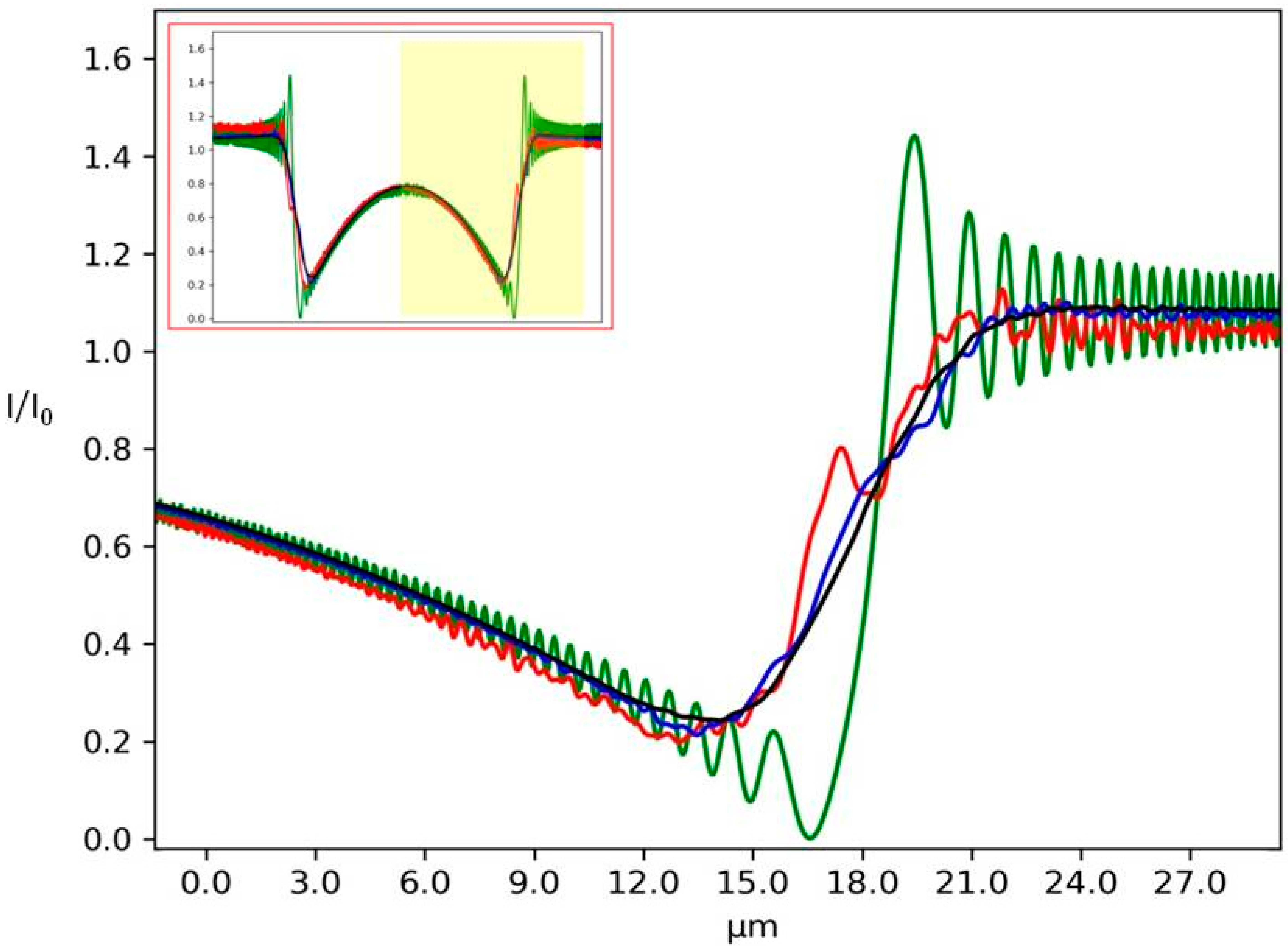
3.1. Diffraction from a Test Object
3.2. Imaging with Very Compact Hartmann Sensor
3.3. Imaging with Standard Hard X-ray Hartmann Sensors
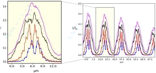
3.4. Talbot Effect
4. Conclusions
Author Contributions
Funding
Conflicts of Interest
References
- Fratini, M.; Bukreeva, I.N.; Campi, G.; Brun, F.; Tromba, G.; Modregger, P.; Bucci, D.; Battaglia, G.; Spanò, R.; Mastrogiacomo, M.; et al. Simultaneous submicrometric 3D imaging of the micro-vascular network and the neuronal system in a mouse spinal cord. Sci. Rep. 2015, 5, 8514. [Google Scholar] [CrossRef]
- Olivo, A.; Bohndiek, S.E.; Griffiths, J.A.; Konstantinidis, A.; Speller, R.D. A non-free-space propagation x-ray phase contrast imaging method sensitive to phase effects in two directions simultaneously. Appl. Phys. Lett. 2009, 94, 044108. [Google Scholar] [CrossRef]
- Flenner, S.; Storm, M.; Kubec, A.; Longo, E.; Döring, F.; Pelt, D.M.; David, C.; Müller, M.; Greving, I. Pushing the temporal resolution in absorption and Zernike phase contrast nanotomography: Enabling fast in situ experiments. J. Synchrotron Radiat. 2020, 27, 1339–1346. [Google Scholar] [CrossRef] [PubMed]
- Sólyom, J. Fundamentals of the Physics of Solids: Volume 3—Normal, Broken-Symmetry, and Correlated Systems. Springer: Berlin/Heidelberg, Germany, 2010; Volume 3. [Google Scholar]
- Bravin, A.; Coan, P.; Suortti, P. X-ray phase-contrast imaging: From pre-clinical applications towards clinics. Phys. Med. Biol. 2013, 58, R1–R35. [Google Scholar] [CrossRef] [PubMed]
- Krol, A. In-line Hard X-ray Holography for Biomedical Imaging. Hologr. Res. Technol. 2011. [Google Scholar] [CrossRef][Green Version]
- Bukreeva, I.; Campi, G.; Fratini, M.; Spanò, R.; Bucci, D.; Battaglia, G.; Giove, F.; Bravin, A.; Uccelli, A.; Venturi, C.; et al. Quantitative 3D investigation of Neuronal network in mouse spinal cord model. Sci. Rep. 2017, 7, 41054. [Google Scholar] [CrossRef]
- Pfeiffer, F.; Weitkamp, T.; Bunk, O.; David, C. Phase retrieval and differential phase-contrast imaging with low-brilliance X-ray sources. Nat. Phys. 2006, 2, 258–261. [Google Scholar] [CrossRef]
- Cloetens, P.; Guigay, J.P.; De Martino, C.; Baruchel, J.; Schlenker, M. Fractional Talbot imaging of phase gratings with hard x rays. Opt. Lett. 1997, 22, 1059–1061. [Google Scholar] [CrossRef]
- Momose, A.; Takano, H.; Wu, Y.; Hashimoto, K.; Samoto, T.; Hoshino, M.; Seki, Y.; Shinohara, T. Recent Progress in X-ray and Neutron Phase Imaging with Gratings. Quantum Beam Sci. 2020, 4, 9. [Google Scholar] [CrossRef]
- De La Rochefoucauld, O.; Bucourt, S.; Cocco, D.; Dovillaire, G.; Harms, F.; Idir, M.; Korn, D.; Levecq, X.; Piponnier, M.; Rungsawang, R.; et al. Hartmann wavefront sensor in the EUV and hard X-ray range for source metrology and beamline optimization (Conference Presentation). In Relativistic Plasma Waves and Particle Beams as Coherent and Incoherent Radiation Sources III; Proc. SPIE 11036, Relativistic Plasma Waves and Particle Beams as Coherent and Incoherent Radiation; Society of Photo-Optical Instrumentation Engineers (SPIE): Prague, Czech Republic, 2019; Volume 11036, p. 110360. [Google Scholar] [CrossRef]
- Mercère, P.; Zeitoun, P.; Idir, M.; Le Pape, S.; Douillet, D.; Levecq, X.; Dovillaire, G.; Bucourt, S.; Goldberg, K.A.; Naulleau, P.P.; et al. Hartmann wave-front measurement at 134 nm with λ_EUV/120 accuracy. Opt. Lett. 2003, 28, 1534–1536. [Google Scholar] [CrossRef]
- Zernike, F. The concept of degree of coherence and its application to optical problems. Physica 1938, 5, 785–795. [Google Scholar] [CrossRef]
- Beran, M.J. Theory of Partial Coherence. Am. J. Phys. 1965, 33, 665. [Google Scholar] [CrossRef]
- Vahimaa, P.; Turunen, J. Finite-elementary-source model for partially coherent radiation. Opt. Express 2006, 14, 1376–1381. [Google Scholar] [CrossRef]
- Gbur, G.; Visser, T.D. The Structure of Partially Coherent Fields. Progress Opt. 2010, 285–341. [Google Scholar] [CrossRef]
- Shi, X.; Reininger, R.; Del Rio, M.S.; Assoufid, L. A hybrid method for X-ray optics simulation: Combining geometric ray-tracing and wavefront propagation. J. Synchrotron Radiat. 2014, 21, 669–678. [Google Scholar] [CrossRef]
- Starikov, A.; Wolf, E. Coherent-mode representation of Gaussian Schell-model sources and of their radiation fields. J. Opt. Soc. Am. 1982, 72, 923. [Google Scholar] [CrossRef]
- Simon, R.; Mukunda, N. Twisted Gaussian Schell-model beams. J. Opt. Soc. Am. A 1993, 10, 95–109. [Google Scholar] [CrossRef]
- Cai, Y.; Chen, Y.; Wang, F. Generation and propagation of partially coherent beams with nonconventional correlation functions: A review [Invited]. J. Opt. Soc. Am. A 2014, 31, 2083–2096. [Google Scholar] [CrossRef]
- Idir, M.; Cywiak, M.; Morales, A.; Modi, M.H. X-ray optics simulation using Gaussian superposition technique. Opt. Express 2011, 19, 19050–19060. [Google Scholar] [CrossRef]
- Goodman, J.W.H. Introduction to Fourier Optics, 2nd ed.; McGraw-Hill Series in Electrical and Computer Engineering; Electromagnetics; McGraw-Hill: New York, NY, USA, 1996; ISBN 0070242542. [Google Scholar]
- Smith, R.F.; Dunn, J.; Hunter, J.R.; Nilsen, J.; Hubert, S.; Jacquemot, S.; Remond, C.; Marmoret, R.; Fajardo, M.; Zeitoun, P.; et al. Longitudinal coherence measurements of a transient collisional x-ray laser. Opt. Lett. 2003, 28, 2261–2263. [Google Scholar] [CrossRef]
- Valasek, J.; Ellickson, R.T. Introduction to Theoretical and Experimental Optics. Am. J. Phys. 1950, 18, 230–231. [Google Scholar] [CrossRef]
- Southwell, W.H. Wave-front estimation from wave-front slope measurements. J. Opt. Soc. Am. 1980, 70, 998–1006. [Google Scholar] [CrossRef]
- Ruiz-Lopez, M.; Pikuz, T.; Ozaki, N.; Mitrofanov, A.; Albertazzi, B.; Hartley, N.J.; Tange, Y.; Yabuuchi, T.; Habara, T.; Inubushi, Y.; et al. Coherent X-ray beam metrology using 2D high-resolution Fresnel-diffraction analysis. J. Synchrotron Radiat. 2017, 24, 196–204. [Google Scholar] [CrossRef] [PubMed]
- Li, L.; Koliyadu, J.C.P.; Donnelly, H.; Alj, D.; Delmas, O.; Ruiz-Lopez, M.; De La Rochefoucauld, O.; Dovillaire, G.; Fajardo, M.; Zhou, C.; et al. High numerical aperture Hartmann wave front sensor for extreme ultraviolet spectral range. Opt. Lett. 2020, 45, 4248–4251. [Google Scholar] [CrossRef] [PubMed]
- Mercère, P.; Bucourt, S.; Cauchon, G.; Douillet, D.; Dovillaire, G.; Goldberg, K.A.; Idir, M.; Levecq, X.; Moreno, T.; Naulleau, P.P.; et al. X-ray beam metrology and x-ray optic alignment by Hartmann wavefront sensing. Opt. Photonics 2005, 5921, 592109. [Google Scholar] [CrossRef]











Publisher’s Note: MDPI stays neutral with regard to jurisdictional claims in published maps and institutional affiliations. |
© 2020 by the authors. Licensee MDPI, Basel, Switzerland. This article is an open access article distributed under the terms and conditions of the Creative Commons Attribution (CC BY) license (http://creativecommons.org/licenses/by/4.0/).
Share and Cite
Begani Provinciali, G.; Cedola, A.; Rochefoucauld, O.d.L.; Zeitoun, P. Modelling of Phase Contrast Imaging with X-ray Wavefront Sensor and Partial Coherence Beams. Sensors 2020, 20, 6469. https://doi.org/10.3390/s20226469
Begani Provinciali G, Cedola A, Rochefoucauld OdL, Zeitoun P. Modelling of Phase Contrast Imaging with X-ray Wavefront Sensor and Partial Coherence Beams. Sensors. 2020; 20(22):6469. https://doi.org/10.3390/s20226469
Chicago/Turabian StyleBegani Provinciali, Ginevra, Alessia Cedola, Ombeline de La Rochefoucauld, and Philippe Zeitoun. 2020. "Modelling of Phase Contrast Imaging with X-ray Wavefront Sensor and Partial Coherence Beams" Sensors 20, no. 22: 6469. https://doi.org/10.3390/s20226469
APA StyleBegani Provinciali, G., Cedola, A., Rochefoucauld, O. d. L., & Zeitoun, P. (2020). Modelling of Phase Contrast Imaging with X-ray Wavefront Sensor and Partial Coherence Beams. Sensors, 20(22), 6469. https://doi.org/10.3390/s20226469

