Abstract
The safety and consistency of platoon-based driving are guaranteed via reliable communication between vehicles in a platoon. In this paper, we propose to exploit a full-duplex (FD) relay vehicle for millimeter-wave vehicular communications in platoon-based driving. Considering that a lead vehicle broadcasts information to all vehicles in a platoon, we consider two power allocation problems—maximizing broadcast information rates with a power constraint and minimizing power consumption with a quality-of-service constraint. In particular, for a four-vehicle platoon communication, we derive closed-form solutions for optimal power allocation and present numerical results to verify the performance of the proposed FD relay vehicles.
1. Introduction
Autonomous vehicular platoon systems are a promising service for intelligent transport systems owing to their strong potential to significantly improve road capacity and energy efficiency [1,2,3,4]. In platoon-based driving, a group of vehicles operate cooperatively and coordinate their speed and distance. Each vehicle in a platoon follows its preceding vehicle, maintaining an almost constant and small distance. As the distance between the vehicles in a platoon can be maintained to be small, the road capacity can be enhanced and traffic congestion can be reduced. Furthermore, energy consumption is expected to be reduced because the air drag can be minimized in a series of succeeding vehicles.
Cooperative adaptive cruise control (CACC) and vehicle-to-vehicle (V2V) communication are the enabling technologies for autonomous vehicular platoon systems [3]. The objective of CACC is to control the distances between vehicles using information collected by sensors and V2V communication links. Through V2V communication, vehicles in a platoon share both safety-related information, such as speed, position, and acceleration, and non-safety-related information, such as weather conditions and media access for the stabilization of platoon [5,6]. As the performance of V2V communication is critical for the stability of autonomous vehicular platoon systems, there have been extensive research efforts on the interference management, security, and latency of V2V communication links [7,8,9].
As massive automotive sensors and radars in a vehicle collect lots of data, the amount of information shared between vehicles increases extensively [10]. As in the fifth generation (5G) of wireless systems, millimeter wave (mmWave) communication has been a promising technique in vehicular communications to meet the communication demand for sharing lots of sensing data between vehicles [11,12,13,14,15]. The large bandwidth of mmWave signals can be exploited to facilitate high speed communication between vehicles. Further, the small wavelength of mmWave signals allows vehicles to place a large number of antennas in a small area to achieve high antenna array gains.
In this study, we consider that a lead vehicle, which is the first vehicle of a platoon, broadcasts the information to all vehicles in that platoon using mmWave signals. The vehicle immediately behind the lead vehicle can have a line-of-sight (LOS) link from the lead vehicle, whereas the LOS link is not guaranteed for other vehicles due to the blockage caused by their preceding vehicles. Since the blockage of the LOS link causes severe propagation loss in mmWave frequencies [16,17], we assume that some vehicles in a platoon operate as a relay vehicle for reliable platoon communications. It is noteworthy that exploiting an unmanned aerial vehicle (UAV) is also an attractive solution because the LOS link between the UAV and each vehicle in the platoon can be guaranteed when the UAV is well located [18].
Furthermore, let us assume that a transmit antenna is placed on the rear of the vehicle, whereas a receive antenna is located in front of the vehicle. Subsequently, we can obtain good isolation between the transmitting and receiving antennas in a vehicle [19,20]. Moreover, the directional properties and poor scattering characteristics of mmWave frequencies make it impossible for a vehicle to receive its own transmitting radio signals. Based on these observations, we suggest that relay vehicles in a platoon perform full-duplex (FD) operation to receive the radio signals transmitted by the preceding vehicles and simultaneously forward them to the following vehicles at the same frequency.
Conventional half-duplex (HD) relaying techniques have been extensively studied in V2V communications [21,22,23], whereas research on the use of FD relaying techniques is limited [24,25,26]. In particular [25], analyzed the outage probabilities and throughput of the V2V communication link assisted by the FD relay vehicle in dense multi-lane highway environments. In [26], FD relay vehicles were utilized in vehicular platoon communications, and FD relay vehicles were shown to provide enhanced packet delivery ratios and reduced physical layer latency compared with conventional HD relay vehicles. However, there were no considerations for transmit power optimization and relay vehicle selection.
In this study, we investigate power allocation problems from the viewpoint of safety and consistency for exploiting FD relay vehicles in vehicular platoon communications. The safety of platoon-based driving is guaranteed when the safety-related information is broadcast without errors through reliable communication links. As the broadcast information rate increases, the communication links become more reliable. Herein, we consider a power allocation problem to maximize broadcast information rates with a power constraint. On the contrary, sustainable vehicular communication guarantees the consistency of platoon-based driving. To improve the sustainability of vehicular platoon communications, the power consumption for vehicular communications should be minimized. Therefore, we investigate a power allocation problem to minimize power consumption with a quality-of-service (QoS) constraint.
We present that the optimal power allocation to maximize broadcast rates with a power constraint can be obtained via linear programming. Further, the power allocation problem to minimize power consumption with a QoS constraint is shown to be a quadratically constrained linear programming problem. Subsequently, we focus on platoon communication with four vehicles and derive closed-form solutions for optimal power allocation. Using the closed-form solutions, we also suggest a relay-vehicle selection approach. Numerical results are presented to demonstrate that the FD operation in vehicular platoon communications provides a significant performance improvement over the conventional HD operation. The key notations used in this study are summarized in Table 1.
Table 1.
List of key notations
2. System Model and Problem Formulation
A vehicular platoon communication model is considered, as shown in Figure 1, where the lead vehicle sends broadcast information to all vehicles in a platoon [6]. Relay vehicles in a platoon assist the lead vehicle by receiving the information from the preceding vehicle and forwarding it to the following vehicles. The vehicle located at the end of the platoon is the tail vehicle. The other vehicles are referred to as member vehicles.
Figure 1.
Vehicle platoon communication model (, , , and ).
Let us consider a platoon with vehicles. The first vehicle plays the lead vehicle, whereas the last vehicle is a tail vehicle. Each vehicle located in the middle of the platoon can be a relay vehicle or a member vehicle. Let us assume that vehicles are chosen as FD relay vehicles. The relay vehicles are indexed using k with . The lead and tail vehicles are indexed by 0 and K, respectively. The received signal at the kth relay vehicle can be given as
where is the channel coefficient between the qth relay vehicle and the kth relay vehicle. The noise is assumed to be a complex additive white Gaussian with zero mean and variance , and denotes the transmit power of the kth relay vehicle. denotes the transmit power of the lead vehicle. The received signal at the tail vehicle can be given as Equation (1) with .
In Equation (1), denotes the information symbol transmitted by the qth relay vehicle. Let be the information symbol transmitted by the lead vehicle. As the relay vehicle also has to hear the message from the lead vehicle, it decodes the signal and forwards it to those following it, indicating the decode-and-forward operation [27]. When the qth FD relay operates in the decode-and-forward mode, becomes the delayed version of induced by the decoding process and propagation delay. Therefore, the first term on the right-hand side of Equation (1) is the desired signal for the kth relay vehicle while the second term denotes the signals from the lead vehicle and the first relay vehicles, which can be considered inter-symbol interference. We, herein, assume that the self-interference induced by the FD operation is negligible, as mentioned in Section 1.
2.1. Vehicle Clustering
As shown in Figure 1, each relay vehicle and the tail vehicle form their own cluster. Each member vehicle belongs to a cluster formed by the nearest relay vehicle behind it. The member vehicle that has no relay vehicle behind it belongs to the cluster of the tail vehicle. Subsequently, we have K clusters in the platoon and the received signal at the nth member vehicle in the kth cluster can be expressed similar to Equation (1) given as
where is the channel coefficient between the qth relay vehicle and the nth member vehicle in the kth cluster, and is also assumed to follow a complex Gaussian distribution with zero mean and variance . Moreover, denotes the number of member vehicles in the kth cluster with , and the total number of vehicles in the platoon can be given as .
2.2. Power Allocation Problems
From Equations (1) and (2), we can compute the information rates at the kth relay vehicle and the nth member vehicle in the kth cluster given as
respectively, where we define and . As all vehicles in a platoon should correctly decode the message from the lead vehicle, the broadcast information rate should be determined by
In this study, we consider two power allocation problems to determine with . The first one maximizes the broadcast rate with a power constraint, indicating that the overall power consumption is limited to as follows:
On introducing an auxiliary variable , Equation (5) can be equivalently rewritten as
which is a quadratically constrained linear programming problem. The other minimizes the power consumption with a QoS constraint, indicating that the broadcast rate should exceed the given threshold as follows:
where . The broadcast information rate threshold indicates the rate at which all vehicles in the platoon are guaranteed to decode the information sent by the lead vehicle without errors. can be determined according to how much information should be sent by the lead vehicle and how fast the information should be transferred. Note that Equation (7) is a linear programming problem.
In the next section, we show that closed-form solutions for optimal power allocation can be derived in four-vehicle platoon communications with , as well as suggest a relay vehicle selection approach. Deriving closed-form solutions for optimal power allocation with would be an interesting future research topic.
3. Power Allocation for 4-Vehicle Platoon Communication
In a platoon with four vehicles, the first and the last vehicles become the lead and tail vehicles, respectively. Two vehicles located in the middle of the platoon can be relay vehicles or member vehicles. Let the case where these two vehicles are selected as relay vehicles be Case 1 with the notation of L-R-R-T. When only one of the two vehicles is a relay vehicle, we have Case 2 with L-R-M-T and Case 3 with L-M-R-T. In Case 4 with L-M-M-T, the two vehicles are member vehicles.
The lead vehicle can gather the channel state information between the vehicles and perform the following power allocation and relay vehicle selection process. After the relay vehicles are chosen, the clusters are formed as described in Section 2.1, and the lead vehicle informs the power allocation result to the relay vehicles.
3.1. Maximize Broadcast Rate with Power Constraint
3.1.1. Case 1 (L-R-R-T)
In this case, Equation (6) can be written as
There is no member vehicle in this case. It is obvious that (C1) in Equation (8) yields
Considering (C2) in Equations (8) and (9), we have
Similarly, we use (C3) in Equations (8)–(10) to obtain
Substituting Equations (9)–(11) into (C4) in Equation (8), we have
For , the right-hand side of Equation (12) increases with an increase in . As our objective is to maximize , we find to satisfy Equation (12) with equality, which yields
where
It is guaranteed that Equation (13) has one real positive root, denoted as . Then, we determine
3.1.2. Case 2 (L-R-M-T)
In this case, the member vehicle belongrespectively. For the non-LOS (NLOS Subsequently, we have
(C1) in Equation (16) yields
From Equation (17), (C2), and (C3) in Equation (16), we have
Substituting Equations (17) and (18) into (C4) in Equation (16), we obtain
As the right-hand side of Equation (19) increases with an increase in for , we also observe that satisfies Equation (19) with equality. First, we compute the real positive root of
and confirm that the root satisfies
If Equation (21) is confirmed, we can determine
Next, we compute the real positive root of
When the root satisfies
we can determine
3.1.3. Case 3 (L-M-R-T)
In this case, the member vehicle belongs to the cluster of the relay vehicle and is indexed as 1:1. The power allocation problem is given as
From (C1) and (C2) in Equation (26), we have
where . Using Equation (27) and (C3) in Equation (26), we obtain
Substituting Equations (27) and (28) into (C4) in Equation (26), we follow the same approach described above to obtain
After computing the real positive root of Equation (29), we can determine and .
3.1.4. Case 4 (L-M-M-T)
In this case, only the lead vehicle consumes .
3.2. Minimizing Power Consumption with QoS constraint
3.2.1. Case 1 (L-R-R-T)
The problem in Equation (7) for this case is given as
Let us express Equation (30) in the matrix form, given as
where , , ,
and denotes a vector with all entries equal to 1. As Equation (31) is a linear programming problem, we can obtain its dual problem given as
where .
According to the duality of linear programming [28], the optimal solutions of Equations (31) and (33), which are denoted as and , respectively, should satisfy
In Equation (34), each entry of is assumed to be greater than zero in this case, and should satisfy (C1) in Equation (33). Subsequently, we have to determine by . Each entry of is greater than zero. Considering (C1) in Equation (31), we can observe that should satisfy in Equation (35), which yields
The above approach can also be exploited in the case where the number of vehicles in a platoon is greater than four, and all vehicles located in the middle of the platoon are selected to be relay vehicles.
3.2.2. Case 2 (L-R-M-T)
In this case, we have the following problem:
From (C1) in Equation (37), we determine
Using (C2) and (C3) in Equations (37) and (38), we have
3.2.3. Case 3 (L-M-R-T)
In this case, Equation (7) can be written as
From (C1) and (C2) in Equation (40), we can obtain
Using (C3) in Equations (40) and (41), we have
3.2.4. Case 4 (L-M-M-T)
In this case, the index of the tail vehicle is 1, and the two member vehicles are indexed as 1:1 and 1:2, respectively. Subsequently, we determine .
3.3. Relay Vehicle Selection
In Section 3.1, the optimal power allocation to maximize the broadcast rate is obtained for each case. Subsequently, we compute the information rates at the vehicles as in Equation (3) to determine the broadcast rate as in Equation (4) for each case. A case to provide the maximum broadcast rate can be chosen. Similarly, we obtain the optimal power allocation to minimize the power consumption in each case in Section 3.2. We can also select the case to provide the minimum power consumption.
4. Numerical Evaluation
In this section, we present numerical results to validate the performance of the proposed scheme in four-vehicle platoon communications. It is assumed that four vehicles in a platoon are located in a line, as shown in Figure 1. In our simulation, we follow the path loss model for inter-vehicle mmWave channels in [16] given as
where is the distance in meters, A is the path loss exponent, and C is a constant. For the LOS cases, A and C are given as 1.77 and 70, respectively. For the non-LOS (NLOS) cases, we set and when a single vehicle is located midway between the transmit and receive vehicles, whereas and are provided when two vehicles block the LOS path between the transmit and receive vehicles. Using Equation (43), the channel coefficient between vehicles is evaluated by , where g follows a complex Gaussian distribution with zero mean and unit variance. The noise power is . For simplicity, the distances between adjacent vehicles are assumed to be the same as d.
The proposed power allocation scheme described in Section 3 is based on the assumption that self-interference at the FD relay vehicle is negligible because the transmit and receive antennas in a vehicle are well separated and the mmWave frequencies have directional properties and poor scattering characteristics. The following numerical results were also evaluated based on this assumption. When the antenna separation is not sufficient, the performance of our proposed scheme may be degraded owing to self-interference.
For comparison, we also evaluated the performance of HD relay vehicles. In Appendix A, we formulated the power allocation problems for HD relay vehicles and demonstrated that the optimal power allocation can be obtained via linear programming. For four-vehicle platoon communications with HD relay vehicles, we considered four cases, as mentioned in Section 3. We obtained the optimal power allocation for each case following the process described in Appendix A and chose the case to provide the best performance.
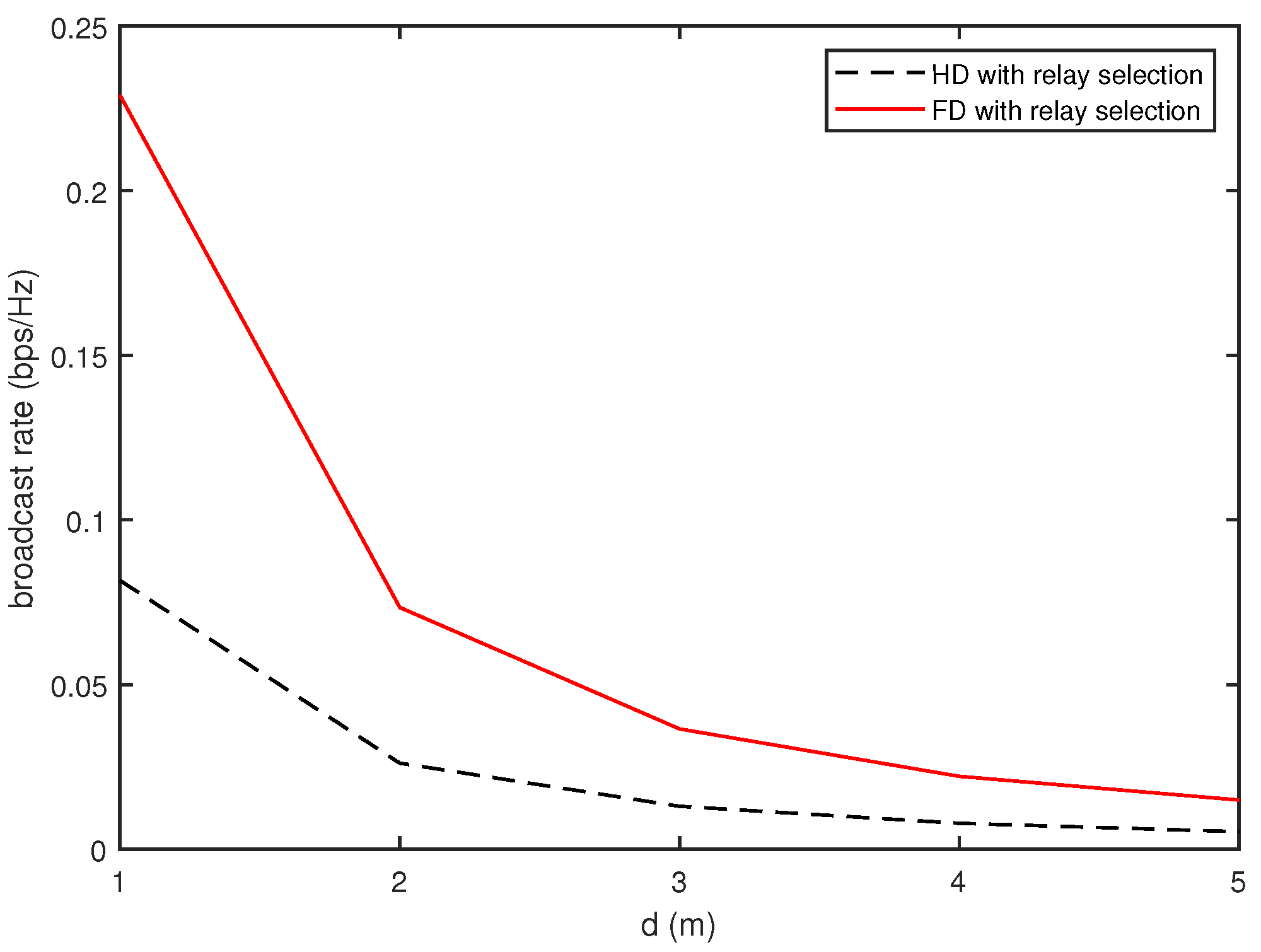
Figure 2 and Figure 3 present the broadcast rates achieved by the proposed FD relay vehicles with the power constraint investigated in Section 3.1. Figure 2 compares the broadcast rate of the FD relay vehicles with that of the conventional HD vehicles for different values of d when . As the distance between the adjacent vehicles increases, the broadcast rate decreases exponentially. The FD vehicles provide better broadcast rates than the HD relay vehicles in all ranges of d. Figure 3 shows that the broadcast rate increases almost linearly with an increase of for both the FD and HD relay vehicles. The FD relay vehicles also outperform the HD relay vehicles in all ranges of and the increasing rate of the FD relay vehicles is more rapid than that of the HD relay vehicles.
Figure 2.
Comparison of broadcast rates as a function of d ().
Figure 3.
Comparison of broadcast rates as a function of ().
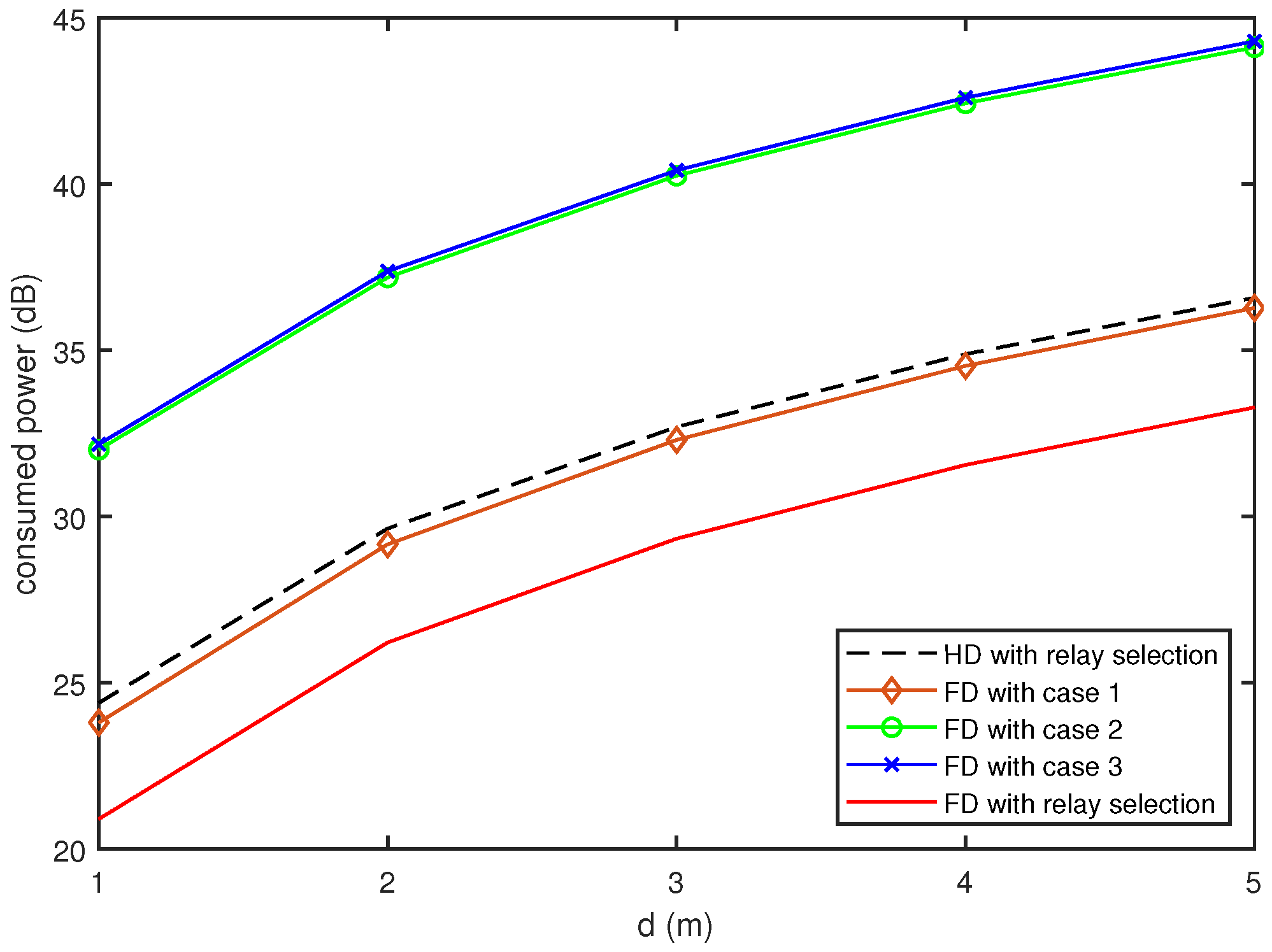
In Figure 4 and Figure 5, we present the power consumption for the proposed FD relay vehicles with the QoS constraint , compared with that for the conventional HD relay vehicles. To investigate the effect of the relay selection described in Section 3.3, we also evaluated the power consumption of the proposed FD relay vehicles with fixed relay selection, indicating that only one of the cases described in Section 3.2 is considered for different channel realizations. Figure 4 compares the consumed powers for the FD and HD relay vehicles for different values of d when . As expected, the increase in d results in an increase in power consumption. When we fix the relay selection to Case 1 or Case 2, the proposed FD relay vehicles consume more power than the HD relay vehicles with the relay selection. Furthermore, the FD relay vehicle with Case 3 has marginal gain against the HD relay vehicles. However, the FD relay vehicles with the relay selection consume 3.3∼3.5 dB less power than the HD relay vehicles with the relay selection.
Figure 4.
Comparison of power consumption as a function of d ().
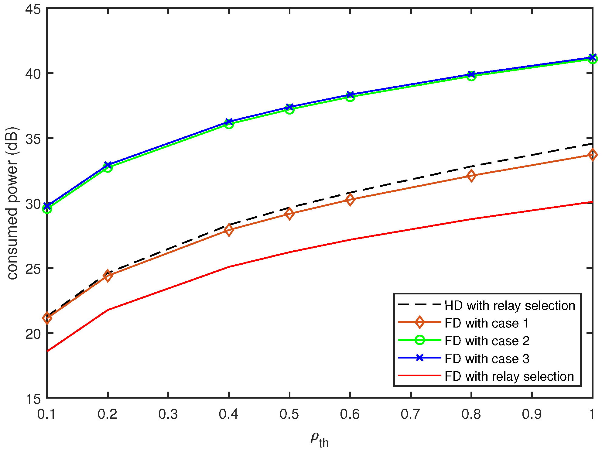
Figure 5.
Comparison of power consumption as a function of ().
Figure 5 compares the power consumption as a function of . For different values of , the FD relay vehicles with Case 1 or Case 2 consume more power than the HD relay vehicles with the relay selection, whereas the FD relay vehicles with Case 3 consume slightly less power. As increases from 0.1 to 1, the power gain of the FD relay vehicle with the relay selection against the HD relay vehicles increases from 2.7 to 4.5 dB.
5. Conclusions
In this study, we considered mmWave vehicular platoon communications where the lead vehicle broadcasts information to all vehicles in a platoon. Considering the good isolation between transmitting and receiving antennas in a vehicle and the directional properties and poor scattering characteristics of mmWave frequencies, we suggested exploiting the FD operation at the relay vehicles. In vehicular platoon communication scenarios with relay vehicles, two power allocation problems were investigated, namely maximizing broadcast rates with a power constraint and minimizing power consumption with a QoS constraint. The closed-form solutions for optimal power allocation were derived for four-vehicle platoon communications with FD relay vehicles, and the relay vehicle selection approach was suggested. Numerical results verified that our proposed FD relay vehicles outperform conventional HD relay vehicles.
Author Contributions
Conceptualization, J.-H.L. and J.S.; methodology, J.-H.L. and J.S.; software, J.-H.L.; validation, J.-H.L. and J.S.; writing–original draft preparation, J.-H.L.; writing–review and editing, J.S. All authors have read and agreed to the published version of the manuscript.
Funding
This study was supported in part by the National Research Foundation of Korea (NRF) grant funded by the Korea government (MSIT) (No. 2019R1F1A1048227) and in part by the Institute of Information & Communications Technology Planning & Evaluation (IITP) grant funded by the Korean government (MSIT) (No. 2017-0-00724, Development of Beyond 5G Mobile Communication Technologies (Ultra-Reliable, Low-Latency and Massive Connectivity) and Combined Access Technologies for Cellular-based Industrial Automation Systems).
Conflicts of Interest
The authors declare no conflict of interest.
Appendix A
We consider that each relay vehicle in Figure 1 operates in the HD mode. In the kth time slot, the kth relay vehicle sends information s to the following vehicles with , where K time slots are required. In the qth time slot, the received signals at the kth relay vehicle and the nth member vehicle in the kth cluster can be given as
where . Assuming that the vehicles perform maximal ratio combining with their received signals, we compute the information rates given as
The power allocation problem to maximize the broadcast rate with a power constraint is expressed as
which is equivalently rewritten as
The power allocation problem to minimize the power consumption with a QoS constraint is also given as
where . Both Equations (A6) and (A7) are linear programming problems. Platoon communication with three vehicles can be considered as a two-hop decode-and-forward relay network investigated in [29,30].
References
- Jia, D.; Lu, K.; Wang, J.; Zhang, X.; Shen, X. A survey on platoon-based vehicular cyber-physical systems. IEEE Commun. Surveys Tuts. 2016, 18, 263–284. [Google Scholar] [CrossRef]
- Hu, H.; Lu, R.; Zhang, Z.; Shao, J. Replace: A reliable trust-based platoon service recommendation scheme in VANET. IEEE Trans. Veh. Technol. 2017, 66, 1786–1797. [Google Scholar] [CrossRef]
- Zeng, T.; Semiari, O.; Saad, W.; Bennis, M. Joint communication and control for wireless autonomous vehicular platoon systems. IEEE Trans. Commun. 2019, 67, 7907–7922. [Google Scholar] [CrossRef]
- Li, Y.; Chen, W.; Peeta, S.; Wang, Y. Platoon control of connected multi-vehicle systems under V2X communications: Design and experiments. IEEE Trans. Intell. Transport. Syst. 2020, 21, 1891–1902. [Google Scholar] [CrossRef]
- Li, S.E.; Zheng, Y.; Li, K.; Wang, J. An overview of vehicular platoon control under the four-component framework. In Proceedings of the IEEE Intelligent Vehicles Symposium, Seoul, Korea, 28 June–1 July 2015; pp. 286–291. [Google Scholar]
- Yu, C.; Si, S.; Guo, H.; Zhao, H. Modeling and performance of the IEEE 802.11p broadcasting for intra-platoon communication. Sensors 2018, 18, 2971. [Google Scholar] [CrossRef]
- Han, D.; Bai, B.; Chen, W. Secure V2V communications via relays: Resource allocation and performance analysis. IEEE Wireless Commun. Lett. 2017, 6, 342–345. [Google Scholar] [CrossRef]
- Ge, X. Ultra-reliable low-latency communications in autonomous vehicular networks. IEEE Trans. Veh. Technol. 2019, 68, 5005–5016. [Google Scholar] [CrossRef]
- Wang, P.; Di, B.; Zhang, H.; Bian, K.; Song, L. Joint platoon formation and resource allocation for connected vehicles by cellular V2X communication. In Proceedings of the IEEE International Conference on Communications (ICC), Shanghai, China, 20–24 May 2019. [Google Scholar]
- Choi, J.; Gonzalez-Prelcic, N.; Daniels, R.; Bhat, C.R.; Heath, R.W. Millimeter-wave vehicular communication to support massive automotive sensing. IEEE Commun. Mag. 2016, 54, 160–167. [Google Scholar] [CrossRef]
- Perfecto, C.; Ser, J.D.; Bennis, M. Millimeter-wave V2V communications: Distributed association and beam alignment. IEEE J. Sel. Areas Commun. 2017, 35, 2148–2162. [Google Scholar] [CrossRef]
- Eltayeb, M.E.; Choi, J.; Al-Naffouri, T.Y.; Heath, R.W. Enhancing secrecy with multiantenna transmission in millimeter wave vehicular communication systems. IEEE Trans. Veh. Technol. 2017, 66, 8139–8151. [Google Scholar] [CrossRef]
- Liang, L.; Peng, H.; Li, G.Y.; Shen, X. Vehicular communications: A physical layer perspective. IEEE Trans. Veh. Technol. 2017, 66, 10647–10659. [Google Scholar] [CrossRef]
- Yi, W.; Liu, Y.; Deng, Y.; Nallanathan, A.; Heath, R.W. Modeling and analysis of mmWave V2X networks with vehicular platoon systems. IEEE J. Sel. Areas Commun. 2019, 37, 2851–2866. [Google Scholar] [CrossRef]
- He, R.; Ai, B.; Wang, G.; Zhong, Z.; Schneider, C.; Dupleich, D.A.; Thoma, R.S.; Boban, M.; Luo, J.; Zhang, Y. Propagation channels of 5G millimeter-wave vehicle-to-vehicle communications. IEEE Veh. Technol. Mag. 2020, 15, 16–26. [Google Scholar] [CrossRef]
- Yamamoto, A.; Ogawa, K.; Horimatsu, T.; Kato, A.; Fujise, M. Path-loss prediction models for intervehicle communication at 60GHz. IEEE Trans. Veh. Technol. 2008, 57, 65–78. [Google Scholar] [CrossRef]
- Boban, M.; Gong, X.; Xu, W. Modeling the evolution of line-of-sight blockage for V2V channels. In Proceedings of the IEEE 84th Vehicular Technology Conference, Montreal, QC, Canada, 18–21 September 2016. [Google Scholar]
- Zhu, L.; Zhang, J.; Xiao, Z.; Cao, X.; Xia, X.-G.; Schober, R. Millimeter-wave full-duplex UAV relay: Joint positioning, beamforming, and power control. IEEE J. Sel. Areas Commun. 2020, 38, 2057–2073. [Google Scholar] [CrossRef]
- Campolo, C.; Molinaro, A.; Berthet, A.O.; Vinel, A. Full-duplex radios for vehicular communications. IEEE Commun. Mag. 2017, 55, 182–189. [Google Scholar] [CrossRef]
- Mao, C.-X.; Gao, S.; Wang, Y. Dual-band full-duplex Tx/Rx antennas for vehicular communications. IEEE Trans. Veh. Technol. 2018, 67, 4059–4070. [Google Scholar] [CrossRef]
- Ilhan, H.; Uysal, M.; Altunbas, I. Cooperative diversity for intervehicular communication: Performance analysis and optimization. IEEE Trans. Veh. Technol. 2009, 58, 3301–3310. [Google Scholar] [CrossRef]
- Alghorani, Y.; Kaddoum, G.; Muhaidat, S.; Pierre, S.; Al-Dhahir, N. On the performance of multihop-intervehicular communications systems over n*Rayleigh fading channels. IEEE Wireless Commun. Lett. 2016, 5, 116–119. [Google Scholar] [CrossRef]
- Alghorani, Y.; Seyfi, M. On the performance of reduced-complexity transmit/receive-diversity systems over MIMO-V2V channel model. IEEE Wireless Commun. Lett. 2017, 6, 214–217. [Google Scholar] [CrossRef]
- Bazzi, A.; Zanella, A.; Masini, B.M. Performance analysis of V2V beaconing using LTE in direct mode with full duplex radios. IEEE Wireless Commun. Lett. 2015, 4, 685–688. [Google Scholar] [CrossRef]
- Eshteiwi, K.; Kaddoum, G.; Fredj, K.B.; Soujeri, E.; Gagnon, F. Performance analysis of full-duplex vehicle relay-based selection in dense multi-lane highways. IEEE Access 2019, 7, 61581–61595. [Google Scholar] [CrossRef]
- Amjad, M.S.; Hardes, T.; Schettler, M.; Sommer, C.; Dressler, F. Using full duplex relaying to reduce physical layer latency in platooning. In Proceedings of the IEEE Vehicular Networking Conference, Los Angeles, CA, USA, 4–6 December 2019. [Google Scholar]
- Wang, T.; Cano, A.; Giannakis, G.B.; Laneman, J.N. High-performance cooperative demodulation with decode-and-forward relays. IEEE Trans. Commun. 2007, 55, 1427–1438. [Google Scholar] [CrossRef]
- Boyd, S.; Vandenberghe, L. Convex Optimization; Cambridge University Press: Cambridge, UK, 2004. [Google Scholar]
- Hong, Y.-W.; Huang, W.-J.; Chiu, F.-H.; Kuo, C.-C.J. Cooperative communications in resource-constrained wireless networks. IEEE Signal Process. Mag. 2007, 24, 47–57. [Google Scholar] [CrossRef]
- Ahmed, F.; Davidson, T.N. Optimal power allocation for orthogonal relay systems with quality-of-service constraints. In Proceedings of the 43rd Asilomar Conference on Signals, Systems, and Computers, Pacific Grove, CA, USA, 1–4 November 2009; pp. 1061–1065. [Google Scholar]
Publisher’s Note: MDPI stays neutral with regard to jurisdictional claims in published maps and institutional affiliations. |
© 2020 by the authors. Licensee MDPI, Basel, Switzerland. This article is an open access article distributed under the terms and conditions of the Creative Commons Attribution (CC BY) license (http://creativecommons.org/licenses/by/4.0/).




