Full-Duplex Relay for Millimeter Wave Vehicular Platoon Communications
Abstract
1. Introduction
2. System Model and Problem Formulation
2.1. Vehicle Clustering
2.2. Power Allocation Problems
3. Power Allocation for 4-Vehicle Platoon Communication
3.1. Maximize Broadcast Rate with Power Constraint
3.1.1. Case 1 (L-R-R-T)
3.1.2. Case 2 (L-R-M-T)
3.1.3. Case 3 (L-M-R-T)
3.1.4. Case 4 (L-M-M-T)
3.2. Minimizing Power Consumption with QoS constraint
3.2.1. Case 1 (L-R-R-T)
3.2.2. Case 2 (L-R-M-T)
3.2.3. Case 3 (L-M-R-T)
3.2.4. Case 4 (L-M-M-T)
3.3. Relay Vehicle Selection
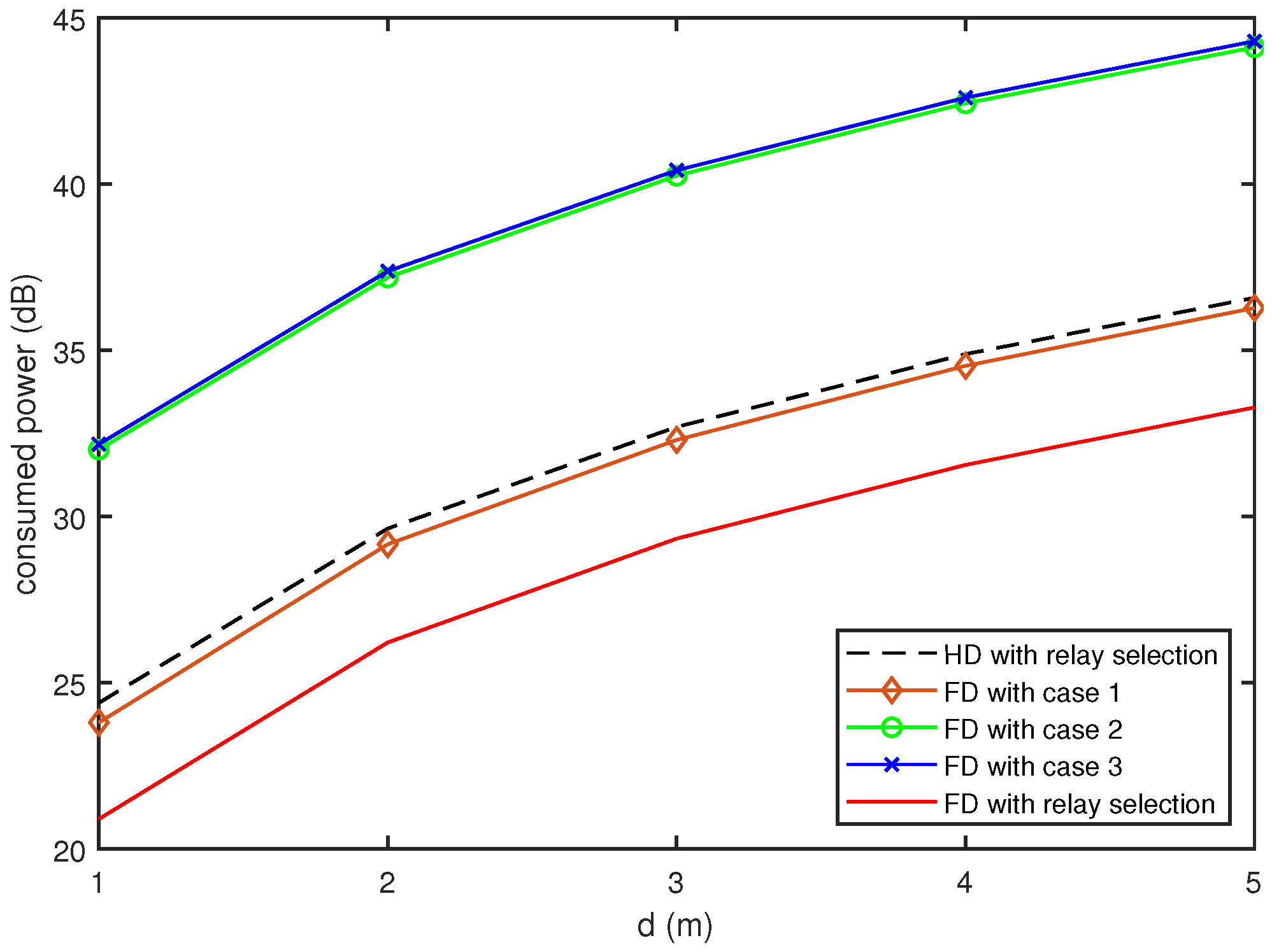
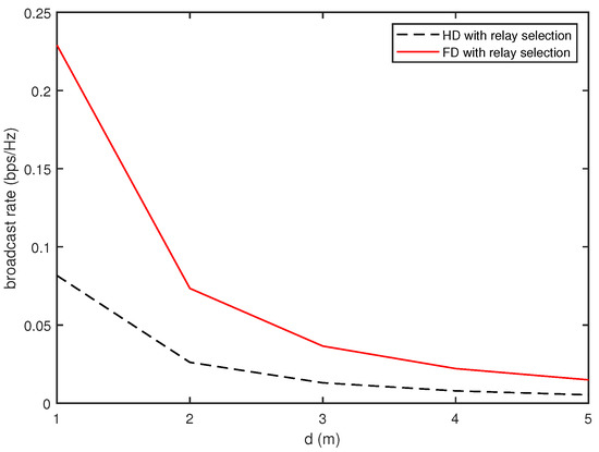
4. Numerical Evaluation
5. Conclusions
Author Contributions
Funding
Conflicts of Interest
Appendix A
References
- Jia, D.; Lu, K.; Wang, J.; Zhang, X.; Shen, X. A survey on platoon-based vehicular cyber-physical systems. IEEE Commun. Surveys Tuts. 2016, 18, 263–284. [Google Scholar] [CrossRef]
- Hu, H.; Lu, R.; Zhang, Z.; Shao, J. Replace: A reliable trust-based platoon service recommendation scheme in VANET. IEEE Trans. Veh. Technol. 2017, 66, 1786–1797. [Google Scholar] [CrossRef]
- Zeng, T.; Semiari, O.; Saad, W.; Bennis, M. Joint communication and control for wireless autonomous vehicular platoon systems. IEEE Trans. Commun. 2019, 67, 7907–7922. [Google Scholar] [CrossRef]
- Li, Y.; Chen, W.; Peeta, S.; Wang, Y. Platoon control of connected multi-vehicle systems under V2X communications: Design and experiments. IEEE Trans. Intell. Transport. Syst. 2020, 21, 1891–1902. [Google Scholar] [CrossRef]
- Li, S.E.; Zheng, Y.; Li, K.; Wang, J. An overview of vehicular platoon control under the four-component framework. In Proceedings of the IEEE Intelligent Vehicles Symposium, Seoul, Korea, 28 June–1 July 2015; pp. 286–291. [Google Scholar]
- Yu, C.; Si, S.; Guo, H.; Zhao, H. Modeling and performance of the IEEE 802.11p broadcasting for intra-platoon communication. Sensors 2018, 18, 2971. [Google Scholar] [CrossRef]
- Han, D.; Bai, B.; Chen, W. Secure V2V communications via relays: Resource allocation and performance analysis. IEEE Wireless Commun. Lett. 2017, 6, 342–345. [Google Scholar] [CrossRef]
- Ge, X. Ultra-reliable low-latency communications in autonomous vehicular networks. IEEE Trans. Veh. Technol. 2019, 68, 5005–5016. [Google Scholar] [CrossRef]
- Wang, P.; Di, B.; Zhang, H.; Bian, K.; Song, L. Joint platoon formation and resource allocation for connected vehicles by cellular V2X communication. In Proceedings of the IEEE International Conference on Communications (ICC), Shanghai, China, 20–24 May 2019. [Google Scholar]
- Choi, J.; Gonzalez-Prelcic, N.; Daniels, R.; Bhat, C.R.; Heath, R.W. Millimeter-wave vehicular communication to support massive automotive sensing. IEEE Commun. Mag. 2016, 54, 160–167. [Google Scholar] [CrossRef]
- Perfecto, C.; Ser, J.D.; Bennis, M. Millimeter-wave V2V communications: Distributed association and beam alignment. IEEE J. Sel. Areas Commun. 2017, 35, 2148–2162. [Google Scholar] [CrossRef]
- Eltayeb, M.E.; Choi, J.; Al-Naffouri, T.Y.; Heath, R.W. Enhancing secrecy with multiantenna transmission in millimeter wave vehicular communication systems. IEEE Trans. Veh. Technol. 2017, 66, 8139–8151. [Google Scholar] [CrossRef]
- Liang, L.; Peng, H.; Li, G.Y.; Shen, X. Vehicular communications: A physical layer perspective. IEEE Trans. Veh. Technol. 2017, 66, 10647–10659. [Google Scholar] [CrossRef]
- Yi, W.; Liu, Y.; Deng, Y.; Nallanathan, A.; Heath, R.W. Modeling and analysis of mmWave V2X networks with vehicular platoon systems. IEEE J. Sel. Areas Commun. 2019, 37, 2851–2866. [Google Scholar] [CrossRef]
- He, R.; Ai, B.; Wang, G.; Zhong, Z.; Schneider, C.; Dupleich, D.A.; Thoma, R.S.; Boban, M.; Luo, J.; Zhang, Y. Propagation channels of 5G millimeter-wave vehicle-to-vehicle communications. IEEE Veh. Technol. Mag. 2020, 15, 16–26. [Google Scholar] [CrossRef]
- Yamamoto, A.; Ogawa, K.; Horimatsu, T.; Kato, A.; Fujise, M. Path-loss prediction models for intervehicle communication at 60GHz. IEEE Trans. Veh. Technol. 2008, 57, 65–78. [Google Scholar] [CrossRef]
- Boban, M.; Gong, X.; Xu, W. Modeling the evolution of line-of-sight blockage for V2V channels. In Proceedings of the IEEE 84th Vehicular Technology Conference, Montreal, QC, Canada, 18–21 September 2016. [Google Scholar]
- Zhu, L.; Zhang, J.; Xiao, Z.; Cao, X.; Xia, X.-G.; Schober, R. Millimeter-wave full-duplex UAV relay: Joint positioning, beamforming, and power control. IEEE J. Sel. Areas Commun. 2020, 38, 2057–2073. [Google Scholar] [CrossRef]
- Campolo, C.; Molinaro, A.; Berthet, A.O.; Vinel, A. Full-duplex radios for vehicular communications. IEEE Commun. Mag. 2017, 55, 182–189. [Google Scholar] [CrossRef]
- Mao, C.-X.; Gao, S.; Wang, Y. Dual-band full-duplex Tx/Rx antennas for vehicular communications. IEEE Trans. Veh. Technol. 2018, 67, 4059–4070. [Google Scholar] [CrossRef]
- Ilhan, H.; Uysal, M.; Altunbas, I. Cooperative diversity for intervehicular communication: Performance analysis and optimization. IEEE Trans. Veh. Technol. 2009, 58, 3301–3310. [Google Scholar] [CrossRef]
- Alghorani, Y.; Kaddoum, G.; Muhaidat, S.; Pierre, S.; Al-Dhahir, N. On the performance of multihop-intervehicular communications systems over n*Rayleigh fading channels. IEEE Wireless Commun. Lett. 2016, 5, 116–119. [Google Scholar] [CrossRef]
- Alghorani, Y.; Seyfi, M. On the performance of reduced-complexity transmit/receive-diversity systems over MIMO-V2V channel model. IEEE Wireless Commun. Lett. 2017, 6, 214–217. [Google Scholar] [CrossRef]
- Bazzi, A.; Zanella, A.; Masini, B.M. Performance analysis of V2V beaconing using LTE in direct mode with full duplex radios. IEEE Wireless Commun. Lett. 2015, 4, 685–688. [Google Scholar] [CrossRef]
- Eshteiwi, K.; Kaddoum, G.; Fredj, K.B.; Soujeri, E.; Gagnon, F. Performance analysis of full-duplex vehicle relay-based selection in dense multi-lane highways. IEEE Access 2019, 7, 61581–61595. [Google Scholar] [CrossRef]
- Amjad, M.S.; Hardes, T.; Schettler, M.; Sommer, C.; Dressler, F. Using full duplex relaying to reduce physical layer latency in platooning. In Proceedings of the IEEE Vehicular Networking Conference, Los Angeles, CA, USA, 4–6 December 2019. [Google Scholar]
- Wang, T.; Cano, A.; Giannakis, G.B.; Laneman, J.N. High-performance cooperative demodulation with decode-and-forward relays. IEEE Trans. Commun. 2007, 55, 1427–1438. [Google Scholar] [CrossRef]
- Boyd, S.; Vandenberghe, L. Convex Optimization; Cambridge University Press: Cambridge, UK, 2004. [Google Scholar]
- Hong, Y.-W.; Huang, W.-J.; Chiu, F.-H.; Kuo, C.-C.J. Cooperative communications in resource-constrained wireless networks. IEEE Signal Process. Mag. 2007, 24, 47–57. [Google Scholar] [CrossRef]
- Ahmed, F.; Davidson, T.N. Optimal power allocation for orthogonal relay systems with quality-of-service constraints. In Proceedings of the 43rd Asilomar Conference on Signals, Systems, and Computers, Pacific Grove, CA, USA, 1–4 November 2009; pp. 1061–1065. [Google Scholar]





| Symbol | Description | 
|---|---|
| Number of vehicles in a platoon | |
| K | Number of clusters in a platoon | 
| Number of member vehicles in the kth cluster | |
| Received signal at the kth relay vehicle | |
| Received signal at the kth relay vehicle | |
| Channel coefficient between the qth relay vehicle and the kth relay vehicle | |
| Channel coefficient between the qth relay vehicle and the nth member vehicle in the kth cluster | |
| Transmit power of the lead vehicle | |
| Transmit power of the kth relay vehicle | |
| Information symbol transmitted by lead vehicle | |
| Information symbol transmitted by the kth vehicle | |
| Information rate at the kth relay vehicle | |
| Information rate at the nth member vehicle in the kth cluster | |
| R | Broadcast information rate | 
| Overall power consumption limit | |
| Broadcast information rate threshold | 
| Publisher’s Note: MDPI stays neutral with regard to jurisdictional claims in published maps and institutional affiliations. | 
© 2020 by the authors. Licensee MDPI, Basel, Switzerland. This article is an open access article distributed under the terms and conditions of the Creative Commons Attribution (CC BY) license (http://creativecommons.org/licenses/by/4.0/).
Share and Cite
Lee, J.-H.; Song, J. Full-Duplex Relay for Millimeter Wave Vehicular Platoon Communications. Sensors 2020, 20, 6072. https://doi.org/10.3390/s20216072
Lee J-H, Song J. Full-Duplex Relay for Millimeter Wave Vehicular Platoon Communications. Sensors. 2020; 20(21):6072. https://doi.org/10.3390/s20216072
Chicago/Turabian StyleLee, Jong-Ho, and Jiho Song. 2020. "Full-Duplex Relay for Millimeter Wave Vehicular Platoon Communications" Sensors 20, no. 21: 6072. https://doi.org/10.3390/s20216072
APA StyleLee, J.-H., & Song, J. (2020). Full-Duplex Relay for Millimeter Wave Vehicular Platoon Communications. Sensors, 20(21), 6072. https://doi.org/10.3390/s20216072
 
        

 
       