Deep Learning in Gait Parameter Prediction for OA and TKA Patients Wearing IMU Sensors
Abstract
1. Introduction
2. Materials and Methods
2.1. Gait Measurements of Osteoarthritic and Total Knee-Replacement Subjects
2.2. Gait Data Processing
2.3. Preliminary Neural Network Architecture Benchmarking and Selection
2.4. Assessing Optimal Sensor Combinations for Each Gait Characteristic
3. Results
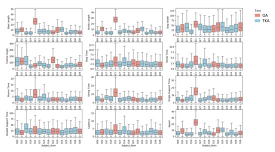
3.1. Spatial-Temporal Gait Parameters (STGPs) Statistical Analysis
3.2. Benchmarking Neural Network Architecture
3.3. Optimal Sensor Combinations for Gait Characteristics
4. Discussion
5. Conclusions
Author Contributions
Funding
Conflicts of Interest
Appendix A


| JS(Training||S19) | JS(Training||S21) | JS(Training||S27) | |
|---|---|---|---|
| Step Length | 0.18 | 4.67 | 0.38 |
| Stride Length | 0.17 | 7.01 | 0.59 |
| Step Width | 0.10 | 5.96 | 0.67 |
| Toe Out Angle | 0.11 | 0.02 | 0.63 |
| Step Time | 0.01 | 0.26 | 0.80 |
| Stride Time | 0.02 | 0.31 | 1.26 |
| Stance Time | 0.01 | 0.14 | 0.63 |
| Swing Time | 0.02 | 0.33 | 0.55 |
| Single Support Time | 0.03 | 0.83 | 0.45 |
| Double Support Time | 0.08 | 0.04 | 0.29 |
| Cadence | 0.21 | 0.37 | 0.52 |
| Speed | 0.07 | 0.50 | 0.29 |
| (a) OA | Subsets | ||||||
| Sensors | 1 | 2 | 3 | 4 | 5 | 6 | |
| T | 7.333 | ||||||
| F S | 7.620 | ||||||
| F T | 7.695 | 7.695 | |||||
| S | 7.776 | 7.776 | |||||
| F | 7.779 | 7.779 | |||||
| F P | 7.803 | ||||||
| F P T | 7.809 | ||||||
| F S T | 7.866 | ||||||
| F P S | 7.985 | 7.985 | |||||
| F P S T | 8.115 | ||||||
| P T | 8.144 | ||||||
| S T | 8.164 | ||||||
| P S | 8.445 | ||||||
| P S T | 8.590 | ||||||
| P | 8.876 | ||||||
| Test Statistic | . | 9.049 | 9.052 | 9.927 | 6.536 | . | |
| Adjusted Sig. (2-sided test) | . | 0.103 | 0.330 | 0.070 | 0.077 | . | |
| (b) TKA | Subset | ||||||
| Sensors | 1 | 2 | 3 | 4 | 5 | 6 | 7 |
| F T | 7.573 | ||||||
| F S | 7.723 | 7.723 | |||||
| F P T | 7.807 | 7.807 | |||||
| F P S T | 7.822 | 7.822 | |||||
| F S T | 7.854 | 7.854 | |||||
| S T | 7.872 | 7.872 | |||||
| S | 7.878 | 7.878 | 7.878 | ||||
| F | 7.890 | 7.890 | 7.890 | ||||
| F P S | 8.029 | 8.029 | 8.029 | ||||
| P | 8.133 | 8.133 | 8.133 | ||||
| F P | 8.144 | 8.144 | |||||
| P S T | 8.197 | 8.197 | |||||
| P S | 8.294 | 8.294 | |||||
| P T | 8.297 | ||||||
| T | 8.488 | ||||||
| Test Statistic | 5.659 | 5.695 | 8.917 | 9.540 | 8.562 | 8.379 | 9.928 |
| Adjusted Sig. (2-sided test) | 0.123 | 0.258 | 0.343 | 0.209 | 0.127 | 0.218 | 0.120 |
| (c) Slow | Subset | ||||||
| Sensors | 1 | 2 | 3 | 4 | 5 | ||
| F T | 7.361 | ||||||
| F P T | 7.755 | ||||||
| S | 7.774 | 7.774 | |||||
| F | 7.901 | 7.901 | |||||
| F S | 7.922 | 7.922 | |||||
| F P S T | 7.934 | 7.934 | |||||
| F P S | 7.939 | 7.939 | |||||
| F S T | 7.956 | 7.956 | |||||
| F P | 8.006 | 8.006 | |||||
| S T | 8.025 | 8.025 | |||||
| P | 8.074 | 8.074 | |||||
| P S | 8.294 | 8.294 | |||||
| P T | 8.304 | 8.304 | |||||
| T | 8.352 | ||||||
| P S T | 8.403 | ||||||
| Test Statistic | . | 16.124 | 12.904 | 6.791 | 4.860 | ||
| Adjusted Sig. (2-sided test) | . | 0.067 | 0.184 | 0.157 | 0.530 | ||
| (d) Normal | Subset | ||||||
| Sensors | 1 | 2 | 3 | 4 | 5 | 6 | |
| F S | 7.726 | ||||||
| F T | 7.737 | 7.737 | |||||
| F S T | 7.776 | 7.776 | |||||
| F P T | 7.778 | 7.778 | |||||
| F | 7.898 | 7.898 | |||||
| F P S T | 7.900 | 7.900 | |||||
| S T | 7.957 | 7.957 | |||||
| S | 7.976 | 7.976 | |||||
| F P S | 7.994 | 7.994 | |||||
| F P | 8.011 | ||||||
| T | 8.133 | ||||||
| P T | 8.143 | ||||||
| P S | 8.215 | ||||||
| P S T | 8.279 | ||||||
| P | 8.476 | ||||||
| Test Statistic | 3.552 | 9.311 | 4.664 | 10.546 | 3.401 | . | |
| Adjusted Sig. (2-sided test) | 0.757 | 0.092 | 0.690 | 0.093 | 0.782 | . | |
| (e) Fast | Subset | ||||||
| Sensors | 1 | 2 | 3 | 4 | 5 | ||
| F T | 7.503 | ||||||
| F S | 7.712 | 7.712 | |||||
| F P S T | 7.762 | 7.762 | |||||
| S | 7.772 | 7.772 | |||||
| S T | 7.834 | ||||||
| F S T | 7.846 | ||||||
| F P T | 7.908 | 7.908 | |||||
| F P S | 8.011 | 8.011 | 8.011 | ||||
| P S T | 8.127 | 8.127 | 8.127 | ||||
| F P | 8.193 | 8.193 | 8.193 | ||||
| P T | 8.205 | 8.205 | |||||
| P S | 8.215 | 8.215 | |||||
| F | 8.238 | 8.238 | |||||
| T | 8.332 | 8.332 | |||||
| P | 8.342 | ||||||
| Test Statistic | 8.994 | 12.448 | 10.675 | 13.328 | 10.304 | ||
| Adjusted Sig. (2-sided test) | 0.106 | 0.110 | 0.050 | 0.080 | 0.226 | ||
References
- Witjes, S.; Gouttebarge, V.; Kuijer, P.P.; van Geenen, R.C.; Poolman, R.W.; Kerkhoffs, G.M. Return to Sports and Physical Activity After Total and Unicondylar Knee Arthroplasty: A Systematic Review and Meta-Analysis. Sports Med. 2016, 46, 269–292. [Google Scholar] [CrossRef] [PubMed]
- Weiss, A.; Brozgol, M.; Dorfman, M.; Herman, T.; Shema, S.; Giladi, N.; Hausdorff, J.M. Does the Evaluation of Gait Quality During Daily Life Provide Insight Into Fall Risk? A Novel Approach Using 3-Day Accelerometer Recordings. Neurorehabil. Neural Repair 2013, 27, 742–752. [Google Scholar] [CrossRef] [PubMed]
- Hausdorff, J.M. Gait variability: Methods, modeling and meaning. J. Neuroeng. Rehabil. 2005, 2, 19. [Google Scholar] [CrossRef] [PubMed]
- Levinger, P.; Menz, H.B.; Morrow, A.D.; Perrott, M.A.; Bartlett, J.R.; Feller, J.A.; Bergman, N.B. Knee biomechanics early after knee replacement surgery predict abnormal gait patterns 12 months postoperatively. J. Orthop. Res. 2012, 30, 371–376. [Google Scholar] [CrossRef] [PubMed]
- Lee, A.; Park, J.; Lee, S. Gait analysis of elderly women after total knee arthroplasty. J. Phys. Ther. Sci. 2015, 27, 591–595. [Google Scholar] [CrossRef]
- Snell, D.L.; Hipango, J.; Sinnott, K.A.; Dunn, J.A.; Rothwell, A.; Hsieh, C.J.; DeJong, G.; Hooper, G. Rehabilitation after total joint replacement: A scoping study. Disabil. Rehabil. 2018, 40, 1718–1731. [Google Scholar] [CrossRef]
- Fransen, M.; Nairn, L.; Bridgett, L.; Crosbie, J.; March, L.; Parker, D.; Crawford, R.; Harmer, A.R. Post-Acute Rehabilitation After Total Knee Replacement: A Multicenter Randomized Clinical Trial Comparing Long-Term Outcomes. Arthr. Care Res. 2017, 69, 192–200. [Google Scholar] [CrossRef]
- Hannink, J.; Ollenschlager, M.; Kluge, F.; Roth, N.; Klucken, J.; Eskofier, B.M. Benchmarking Foot Trajectory Estimation Methods for Mobile Gait Analysis. Sensors 2017, 17, 1940. [Google Scholar] [CrossRef]
- Imtiaz, U.; Yamamura, K.; Kong, W.; Sessa, S.; Lin, Z.; Bartolomeo, L.; Ishii, H.; Zecca, M.; Yamada, Y.; Takanishi, A. Application of wireless inertial measurement units and EMG sensors for studying deglutition—Preliminary results. Conf. Proc. IEEE Eng. Med. Biol. Soc. 2014, 2014, 5381–5384. [Google Scholar] [CrossRef]
- Nweke, H.F.; Teh, Y.W.; Al-Garadi, M.A.; Alo, U.R. Deep learning algorithms for human activity recognition using mobile and wearable sensor networks: State of the art and research challenges. Expert Syst. Appl. 2018, 105, 233–261. [Google Scholar] [CrossRef]
- Trojaniello, D.; Cereatti, A.; Pelosin, E.; Avanzino, L.; Mirelman, A.; Hausdorff, J.M.; Della Croce, U. Estimation of step-by-step spatio-temporal parameters of normal and impaired gait using shank-mounted magneto-inertial sensors: Application to elderly, hemiparetic, parkinsonian and choreic gait. J. Neuroeng. Rehabil. 2014, 11, 152. [Google Scholar] [CrossRef] [PubMed]
- Rampp, A.; Barth, J.; Schulein, S.; Gassmann, K.G.; Klucken, J.; Eskofier, B.M. Inertial Sensor-Based Stride Parameter Calculation From Gait Sequences in Geriatric Patients. IEEE Trans. Biomed. Eng. 2015, 62, 1089–1097. [Google Scholar] [CrossRef] [PubMed]
- Bertoli, M.; Cereatti, A.; Trojaniello, D.; Avanzino, L.; Pelosin, E.; Del Din, S.; Rochester, L.; Ginis, P.; Bekkers, E.M.J.; Mirelman, A.; et al. Estimation of spatio-temporal parameters of gait from magneto-inertial measurement units: Multicenter validation among Parkinson, mildly cognitively impaired and healthy older adults. Biomed. Eng. Online 2018, 17, 58. [Google Scholar] [CrossRef] [PubMed]
- Kluge, F.; Gassner, H.; Hannink, J.; Pasluosta, C.; Klucken, J.; Eskofier, B.M. Towards Mobile Gait Analysis: Concurrent Validity and Test-Retest Reliability of an Inertial Measurement System for the Assessment of Spatio-Temporal Gait Parameters. Sensors 2017, 17, 1522. [Google Scholar] [CrossRef] [PubMed]
- Foxlin, E. Pedestrian Tracking with shoe-mounted inertial sensors. IEEE Comput. Graph. Appl. 2005, 25, 38–46. [Google Scholar] [CrossRef]
- Bailey, G.P.; Harle, R. Assessment of Foot Kinematics During Steady State Running Using a Foot-Mounted IMU. Proc. Eng. 2014, 72, 32–37. [Google Scholar] [CrossRef]
- Zizzo, G.; Ren, L. Position Tracking During Human Walking Using an Integrated Wearable Sensing System. Sensors 2017, 17, 2866. [Google Scholar] [CrossRef]
- Bakhshi, S.; Mahoor, M.H.; Davidson, B.S. Development of a body joint angle measurement system using IMU sensors. In Proceedings of the Annual International Conference of the IEEE Engineering in Medicine and Biology Society, Boston, MA, USA, 30 August–3 September 2011. [Google Scholar]
- Zrenner, M.; Gradl, S.; Jensen, U.; Ullrich, M.; Eskofier, B.M. Comparison of Different Algorithms for Calculating Velocity and Stride Length in Running Using Inertial Measurement Units. Sensors 2018, 18, 4194. [Google Scholar] [CrossRef]
- Ordonez, F.J.; Roggen, D. Deep Convolutional and LSTM Recurrent Neural Networks for Multimodal Wearable Activity Recognition. Sensors 2016, 16, 115. [Google Scholar] [CrossRef]
- Kautz, T.; Groh, B.H.; Hannink, J.; Jensen, U.; Strubberg, H.; Eskofier, B.M. Activity recognition in beach volleyball using a Deep Convolutional Neural Network. Data Min. Knowl. Discov. 2017, 31, 1678–1705. [Google Scholar] [CrossRef]
- Hu, B.; Dixon, P.C.; Jacobs, J.V.; Dennerlein, J.T.; Schiffman, J.M. Machine learning algorithms based on signals from a single wearable inertial sensor can detect surface- and age-related differences in walking. J. Biomech. 2018, 71, 37–42. [Google Scholar] [CrossRef]
- Zheng, X.C.; Wang, M.Q.; Ordieres-Mere, J. Comparison of Data Preprocessing Approaches for Applying Deep Learning to Human Activity Recognition in the Context of Industry 4.0. Sensors 2018, 18, 2146. [Google Scholar] [CrossRef]
- Hannink, J.; Kautz, T.; Pasluosta, C.F.; Gassmann, K.G.; Klucken, J.; Eskofier, B.M. Sensor-Based Gait Parameter Extraction With Deep Convolutional Neural Networks. IEEE J. Biomed. Health Inf. 2017, 21, 85–93. [Google Scholar] [CrossRef]
- Hannink, J.; Kautz, T.; Pasluosta, C.F.; Barth, J.; Schulein, S.; Gassmann, K.G.; Klucken, J.; Eskofier, B.M. Mobile Stride Length Estimation With Deep Convolutional Neural Networks. IEEE J. Biomed. Health Inf. 2018, 22, 354–362. [Google Scholar] [CrossRef]
- Fasel, B.; Duc, C.; Dadashi, F.; Bardyn, F.; Savary, M.; Farine, P.A.; Aminian, K. A wrist sensor and algorithm to determine instantaneous walking cadence and speed in daily life walking. Med. Biol. Eng. Comput. 2017, 55, 1773–1785. [Google Scholar] [CrossRef]
- Soltani, A.; Dejnabadi, H.; Savary, M.; Aminian, K. Real-world gait speed estimation using wrist sensor: A personalized approach. IEEE J. Biomed. Health Inf. 2019. [Google Scholar] [CrossRef]
- Zijlstra, W.; Hof, A.L. Assessment of spatio-temporal gait parameters from trunk accelerations during human walking. Gait Posture 2003, 18, 1–10. [Google Scholar] [CrossRef]
- Carcreff, L.; Gerber, C.N.; Paraschiv-Ionescu, A.; De Coulon, G.; Newman, C.J.; Armand, S.; Aminian, K. What is the Best Configuration of Wearable Sensors to Measure Spatiotemporal Gait Parameters in Children with Cerebral Palsy? Sensors 2018, 18, 394. [Google Scholar] [CrossRef]
- Atallah, L.; Wiik, A.; Jones, G.G.; Lo, B.; Cobb, J.P.; Amis, A.; Yang, G.Z. Validation of an ear-worn sensor for gait monitoring using a force-plate instrumented treadmill. Gait Posture 2012. [Google Scholar] [CrossRef]
- Bejek, Z.; Paróczai, R.; Illyés, Á.; Kiss, R.M. The influence of walking speed on gait parameters in healthy people and in patients with osteoarthritis. Knee Surg. Sports Traumatol. Arthrosc. 2006. [Google Scholar] [CrossRef]
- Kiss, R.M.; Bejek, Z.; Szendrői, M. Variability of gait parameters in patients with total knee arthroplasty. Knee Surg. Sports Traumatol. Arthrosc. 2012. [Google Scholar] [CrossRef]
- Kiss, R.M. Effect of severity of knee osteoarthritis on the variability of gait parameters. J. Electromyogr. Kinesiol. 2011. [Google Scholar] [CrossRef]
- Hollman, J.H.; McDade, E.M.; Petersen, R.C. Normative spatiotemporal gait parameters in older adults. Gait Posture 2011. [Google Scholar] [CrossRef]
- Patterson, M.R.; Johnston, W.; O’Mahony, N.; O’Mahony, S.; Nolan, E.; Caulfield, B. Validation of temporal gait metrics from three IMU locations to the gold standard force plate. Conf. Proc. IEEE Eng. Med. Biol. Soc. 2016, 2016, 667–671. [Google Scholar] [CrossRef]
- Vargas-Valencia, L.S.; Elias, A.; Rocon, E.; Bastos-Filho, T.; Frizera, A. An IMU-to-Body Alignment Method Applied to Human Gait Analysis. Sensors 2016, 16, 2090. [Google Scholar] [CrossRef]
- Bolink, S.A.; van Laarhoven, S.N.; Lipperts, M.; Heyligers, I.C.; Grimm, B. Inertial sensor motion analysis of gait, sit-stand transfers and step-up transfers: Differentiating knee patients from healthy controls. Physiol. Meas. 2012, 33, 1947–1958. [Google Scholar] [CrossRef]
- Fellin, R.E.; Rose, W.C.; Royer, T.D.; Davis, I.S. Comparison of methods for kinematic identification of footstrike and toe-off during overground and treadmill running. J. Sci. Med. Sport 2010, 13, 646–650. [Google Scholar] [CrossRef]
- Panero, E.; Digo, E.; Agostini, V.; Gastaldi, L. Comparison of Different Motion Capture Setups for Gait Analysis: Validation of spatio-temporal parameters estimation. In Proceedings of the MeMeA 2018—2018 IEEE International Symposium on Medical Measurements and Applications, Rome, Italy, 11–13 June 2018. [Google Scholar]
- Veilleux, L.N.; Raison, M.; Rauch, F.; Robert, M.; Ballaz, L. Agreement of spatio-temporal gait parameters between a vertical ground reaction force decomposition algorithm and a motion capture system. Gait Posture 2016, 43, 257–264. [Google Scholar] [CrossRef]
- Haji Ghassemi, N.; Hannink, J.; Martindale, C.F.; Gassner, H.; Muller, M.; Klucken, J.; Eskofier, B.M. Segmentation of Gait Sequences in Sensor-Based Movement Analysis: A Comparison of Methods in Parkinson’s Disease. Sensors 2018, 18, 145. [Google Scholar] [CrossRef]
- Barth, J.; Oberndorfer, C.; Pasluosta, C.; Schülein, S.; Gassner, H.; Reinfelder, S.; Kugler, P.; Schuldhaus, D.; Winkler, J.; Klucken, J.; et al. Stride segmentation during free walk movements using multi-dimensional subsequence dynamic time warping on inertial sensor data. Sensors 2015, 15, 6419–6440. [Google Scholar] [CrossRef]
- Kingma, D.P.; Ba, J.L. Adam: A method for stochastic optimization. In Proceedings of the 3rd International Conference on Learning Representations, ICLR 2015—Conference Track Proceedings, San Diego, CA, USA, 7–9 May 2015. [Google Scholar]
- Keras. 2015. Available online: https://keras.io (accessed on 22 August 2018).
- Abadi, M.; Agarwal, A.; Barham, P.; Brevdo, E.; Chen, Z.; Citro, C.; Corrado, G.S.; Davis, A.; Dean, J.; Devin, M.; et al. TensorFlow: Large-Scale Machine Learning on Heterogeneous Distributed Systems. arXiv 2016, arXiv:1603.04467. [Google Scholar]
- Trawinski, B.; Smetek, M.; Telec, Z.; Lasota, T. Nonparametric statistical analysis for multiple comparison of machine learning regression algorithms. Int. J. Appl. Math. Comput. Sci. 2012. [Google Scholar] [CrossRef]
- Wang, Z.; Yan, W.; Oates, T. Time series classification from scratch with deep neural networks: A strong baseline. In Proceedings of the International Joint Conference on Neural Networks, Anchorage, AK, USA, 14–19 May 2017. [Google Scholar]
- Everitt, B.S.; Skrondal, A. The Cambridge Dictionary of Statistics. J. Am. Stat. Assoc. 1999. [Google Scholar] [CrossRef]
- Liang, S.; Li, Y.; Srikant, R. Enhancing the reliability of out-of-distribution image detection in neural networks. In Proceedings of the 6th International Conference on Learning Representations, ICLR 2018, Vancouver, BC, Canada, 30 April—3 May 2018. [Google Scholar]
- DeVries, T.; Taylor, G.W. Learning Confidence for Out-of-Distribution Detection in Neural Networks. arXiv 2018, arXiv:1802.04865. [Google Scholar]







| Reference | Models |
|---|---|
| Hannink 2017 [23] | Convolutional Neural Network (CNN) |
| Zrenner 2018 [17] | Convolutional Neural Network (CNN) |
| Wang 2017 [35] | Fully Convolutional Networks (FCN) |
| Wang 2017 [35] | Residual Network (ResNet) |
| Karim 2019 [36] | Multivariate Long Short-Term Memory Fully Convolutional Network (MLSTM-FCN) |
| Karim 2019 [36] | Multivariate Attention Long Short-Term Memory Fully Convolutional Network (MALSTM-FCN) |
| n | Feet | Pelvis | Shank | Thigh | Combinations |
|---|---|---|---|---|---|
| 1 | × | Feet (F) | |||
| 2 | × | Pelvis (P) | |||
| 3 | × | × | Feet Pelvis (F P) | ||
| 4 | × | Shank (S) | |||
| 5 | × | × | Feet Shank (F S) | ||
| 6 | × | × | Pelvis Shank (P S) | ||
| 7 | × | × | × | Feet Pelvis Shank (F P S) | |
| 8 | × | Thigh (T) | |||
| 9 | × | × | Feet Thigh (F T) | ||
| 10 | × | × | Pelvis Thigh (P T) | ||
| 11 | × | × | × | Feet Pelvis Thigh (F P T) | |
| 12 | × | × | Shank Thigh (S T) | ||
| 13 | × | × | × | Feet Shank Thigh (F S T) | |
| 14 | × | × | × | Pelvis Shank Thigh (P S T) | |
| 15 | × | × | × | × | Feet Pelvis Shank Thigh (F P S T) |
| Variable | Knee Status | Pace | Mean | SD | CV | Range | IQR |
|---|---|---|---|---|---|---|---|
| Step Length (cm) | Fast | 66.6 | 10.4 | 15.6 | 50.0 | 9.0 | |
| OA | Normal | 56.7 | 9.1 | 16.1 | 54.6 | 9.2 | |
| Slow | 53.2 | 6.9 | 13.0 | 45.0 | 9.8 | ||
| Fast | 66.0 | 9.9 | 15.1 | 46.7 | 10.8 | ||
| TKA | Normal | 59.1 | 7.6 | 12.9 | 52.3 | 10.7 | |
| Slow | 53.7 | 6.5 | 12.1 | 37.1 | 8.4 | ||
| Stride Length (cm) | Fast | 132.9 | 20.3 | 15.3 | 91.5 | 16.3 | |
| OA | Normal | 113.0 | 17.4 | 15.4 | 88.4 | 17.0 | |
| Slow | 106.1 | 12.9 | 12.1 | 67.7 | 18.2 | ||
| Fast | 132.1 | 18.9 | 14.3 | 93.4 | 17.4 | ||
| TKA | Normal | 118.1 | 14.3 | 12.1 | 71.4 | 19.8 | |
| Slow | 107.2 | 12.3 | 11.5 | 67.2 | 14.5 | ||
| Step Width (cm) | Fast | 13.2 | 5.7 | 42.8 | 25.5 | 9.1 | |
| OA | Normal | 12.9 | 6.5 | 50.3 | 50.3 | 9.0 | |
| Slow | 12.4 | 5.1 | 41.3 | 24.5 | 7.5 | ||
| Fast | 10.0 | 4.3 | 42.7 | 23.2 | 5.5 | ||
| TKA | Normal | 10.0 | 4.9 | 49.3 | 27.2 | 6.5 | |
| Slow | 10.2 | 4.0 | 38.6 | 22.6 | 5.2 | ||
| Toe out Angle (deg) | Fast | 23.9 | 15.7 | 65.8 | 71.8 | 21.3 | |
| OA | Normal | 24.6 | 17.8 | 72.3 | 86.8 | 27.7 | |
| Slow | 27.4 | 16.7 | 60.9 | 72.4 | 26.1 | ||
| Fast | 18.9 | 14.6 | 77.4 | 62.0 | 23.5 | ||
| TKA | Normal | 20.8 | 15.9 | 76.5 | 105.0 | 23.4 | |
| Slow | 18.4 | 13.3 | 72.1 | 76.5 | 22.0 | ||
| Step Time (s) | Fast | 0.5 | 0.1 | 14.7 | 0.3 | 0.1 | |
| OA | Normal | 0.6 | 0.1 | 11.1 | 0.5 | 0.1 | |
| Slow | 0.7 | 0.1 | 13.6 | 0.6 | 0.1 | ||
| Fast | 0.5 | 0.1 | 11.2 | 0.4 | 0.1 | ||
| TKA | Normal | 0.6 | 0.1 | 9.9 | 0.4 | 0.1 | |
| Slow | 0.7 | 0.1 | 12.4 | 0.6 | 0.1 | ||
| Stride Time (s) | Fast | 0.9 | 0.1 | 13.7 | 0.6 | 0.2 | |
| OA | Normal | 1.1 | 0.1 | 10.0 | 0.7 | 0.2 | |
| Slow | 1.4 | 0.2 | 12.7 | 1.0 | 0.2 | ||
| Fast | 1.0 | 0.1 | 10.2 | 0.6 | 0.1 | ||
| TKA | Normal | 1.1 | 0.1 | 8.9 | 0.6 | 0.1 | |
| Slow | 1.4 | 0.2 | 11.7 | 1.0 | 0.2 | ||
| Stance Time (s) | Fast | 0.5 | 0.1 | 19.9 | 0.4 | 0.1 | |
| OA | Normal | 0.6 | 0.1 | 14.7 | 0.7 | 0.1 | |
| Slow | 0.8 | 0.1 | 16.7 | 0.8 | 0.2 | ||
| Fast | 0.5 | 0.1 | 12.7 | 0.4 | 0.1 | ||
| TKA | Normal | 0.6 | 0.1 | 11.2 | 0.5 | 0.1 | |
| Slow | 0.8 | 0.1 | 13.8 | 0.7 | 0.1 | ||
| Swing Time (s) | Fast | 0.4 | 0.1 | 11.7 | 0.3 | 0.1 | |
| OA | Normal | 0.5 | 0.1 | 11.4 | 0.4 | 0.1 | |
| Slow | 0.6 | 0.1 | 13.5 | 0.5 | 0.1 | ||
| Fast | 0.4 | 0.0 | 9.8 | 0.3 | 0.1 | ||
| TKA | Normal | 0.5 | 0.0 | 8.5 | 0.4 | 0.1 | |
| Slow | 0.6 | 0.1 | 11.9 | 0.5 | 0.1 | ||
| Single Support Time (s) | Fast | 0.4 | 0.1 | 13.6 | 0.3 | 0.1 | |
| OA | Normal | 0.5 | 0.1 | 12.2 | 0.4 | 0.1 | |
| Slow | 0.6 | 0.1 | 14.1 | 0.5 | 0.1 | ||
| Fast | 0.4 | 0.0 | 9.7 | 0.2 | 0.1 | ||
| TKA | Normal | 0.5 | 0.0 | 8.1 | 0.2 | 0.1 | |
| Slow | 0.6 | 0.1 | 11.8 | 0.5 | 0.1 | ||
| Double Support Time (s) | Fast | 0.0 | 0.1 | 270.0 | 0.5 | 0.1 | |
| OA | Normal | 0.1 | 0.1 | 60.3 | 0.5 | 0.1 | |
| Slow | 0.2 | 0.1 | 52.0 | 0.6 | 0.1 | ||
| Fast | 0.1 | 0.0 | 70.3 | 0.3 | 0.1 | ||
| TKA | Normal | 0.1 | 0.0 | 33.5 | 0.3 | 0.1 | |
| Slow | 0.3 | 0.1 | 30.0 | 0.6 | 0.1 | ||
| Cadence (1/s) | Fast | 2.2 | 0.3 | 15.3 | 1.6 | 0.5 | |
| OA | Normal | 1.8 | 0.2 | 11.0 | 1.8 | 0.3 | |
| Slow | 1.5 | 0.2 | 14.3 | 1.3 | 0.2 | ||
| Fast | 2.1 | 0.3 | 12.6 | 1.9 | 0.2 | ||
| TKA | Normal | 1.8 | 0.2 | 9.4 | 1.0 | 0.2 | |
| Slow | 1.4 | 0.2 | 12.8 | 1.2 | 0.2 | ||
| Speed (cm/s) | Fast | 146.7 | 23.0 | 15.7 | 93.6 | 30.8 | |
| OA | Normal | 99.8 | 20.2 | 20.2 | 114.8 | 21.5 | |
| Slow | 80.3 | 18.2 | 22.6 | 87.1 | 23.4 | ||
| Fast | 139.7 | 26.1 | 18.7 | 122.0 | 38.5 | ||
| TKA | Normal | 105.8 | 16.1 | 15.3 | 81.6 | 25.1 | |
| Slow | 77.5 | 14.2 | 18.3 | 74.7 | 17.3 |
| Models | ME ± STD (cm) Validation Set | ME ± STD (cm) Test Set | MAE ± STD (cm) Validation Set | MAE ± STD (cm) Test Set | NAPE ± STD (%) Validation Set | NAPE ± STD (%) Test Set | Number Of Parameters |
|---|---|---|---|---|---|---|---|
| CNN [23] | 0.5 ± 4.2 | −2.2 ± 9.7 | 3.4 ± 2.9 | 8.2 ± 6.2 | 3 ± 2.5 | 7.2 ± 5.5 | 2,079,921 |
| CNN [17] | 0.4 ± 3.7 | −2.4 ± 8.7 | 2.9 ± 2.6 | 7.6 ± 6.1 | 2.5 ± 2.2 | 6.8 ± 5.5 | 148,529 |
| FCN [35] | −2.7 ± 3.9 | −4.8 ± 9.1 | 8.4 ± 3.5 | 11.9 ± 7.1 | 7.3 ± 3 | 10.5 ± 6.3 | 277,121 |
| ResNet [35] | 0.5 ± 3.9 | −1.9 ± 9.6 | 5.1 ± 3.2 | 9.1 ± 6.4 | 4.4 ± 2.8 | 8.1 ± 5.7 | 229,953 |
| MLSTM-FCN [36] | 1.0 ± 3.6 | −1.2 ± 9.4 | 6.1 ± 3.1 | 9.5 ± 6.8 | 5.3 ± 2.7 | 8.3 ± 6 | 277,801 |
| MALSTM-FCN [36] | 1.0 ± 3.7 | −0.8 ± 9.0 | 6.9 ± 3.2 | 10.3 ± 6.5 | 5.9 ± 2.7 | 9.1 ± 5.7 | 278,361 |
| Hannink et al. [23] | NA | −0.15± 6.1 | NA | NA | 2,079,921 | ||
| Zrenner et al. [17] | NA | 2.5 ± 20.1 | NA | 15.3 |
| F | P | F P | S | F S | P S | F P S | T | F T | P T | F P T | S T | F S T | P S T | F P S T | |
|---|---|---|---|---|---|---|---|---|---|---|---|---|---|---|---|
| Step Length | 8 | 14 | 3 | 11 | 4 | 15 | 9 | 1 | 2 | 5 | 7 | 13 | 6 | 10 | 12 |
| Stride Length | 3 | 15 | 2 | 13 | 7 | 14 | 12 | 5 | 1 | 11 | 4 | 10 | 8 | 9 | 6 |
| Step Width | 15 | 3 | 11 | 7 | 14 | 5 | 13 | 10 | 12 | 8 | 2 | 6 | 1 | 9 | 4 |
| Toe Out Angle | 14 | 3 | 15 | 4 | 6 | 2 | 11 | 10 | 7 | 5 | 12 | 8 | 1 | 13 | 9 |
| Step Time | 1 | 4 | 3 | 12 | 6 | 7 | 5 | 8 | 2 | 9 | 15 | 13 | 11 | 10 | 14 |
| Stride Time | 2 | 7 | 4 | 1 | 12 | 5 | 6 | 11 | 3 | 8 | 15 | 9 | 13 | 14 | 10 |
| Stance Time | 7 | 14 | 11 | 4 | 3 | 1 | 6 | 13 | 2 | 15 | 12 | 5 | 10 | 9 | 8 |
| Swing Time | 7 | 15 | 11 | 2 | 9 | 8 | 4 | 14 | 3 | 13 | 5 | 6 | 10 | 12 | 1 |
| Single Support Time | 10 | 14 | 15 | 2 | 1 | 9 | 4 | 13 | 7 | 11 | 3 | 5 | 6 | 12 | 8 |
| Double Support Time | 11 | 13 | 14 | 1 | 3 | 4 | 6 | 15 | 8 | 12 | 9 | 7 | 2 | 10 | 5 |
| Cadence | 5 | 15 | 11 | 9 | 2 | 8 | 6 | 14 | 10 | 13 | 1 | 4 | 7 | 12 | 3 |
| Speed | 8 | 15 | 6 | 9 | 7 | 14 | 13 | 1 | 4 | 2 | 5 | 3 | 12 | 11 | 10 |
| Average Spatial | 10.0 | 8.8 | 7.8 | 8.8 | 7.8 | 9.0 | 11.3 | 6.5 | 5.5 | 7.3 | 6.3 | 9.3 | 4.0 | 10.3 | 7.8 |
| Average Temporal | 6.3 | 11.2 | 9.7 | 3.7 | 5.7 | 5.7 | 5.2 | 12.3 | 4.2 | 11.3 | 9.8 | 7.5 | 8.7 | 11.2 | 7.7 |
| Average General | 7.8 | 13.0 | 7.4 | 7.6 | 6.6 | 10.8 | 10.5 | 5.3 | 4.5 | 5.7 | 6.3 | 5.2 | 9.6 | 11.0 | 8.8 |
| Average | 7.6 | 11.0 | 8.8 | 6.3 | 6.2 | 7.7 | 7.9 | 9.6 | 5.1 | 9.3 | 7.5 | 7.4 | 7.3 | 10.9 | 7.5 |
| Subset | |||||||
|---|---|---|---|---|---|---|---|
| 1 | 2 | 3 | 4 | 5 | 6 | 7 | |
| F T | 7.637 | ||||||
| F S | 7.759 | 7.759 | |||||
| F P T | 7.792 | ||||||
| F S T | 7.818 | 7.818 | |||||
| F P S T | 7.887 | 7.887 | |||||
| S | 7.911 | 7.911 | |||||
| F | 7.946 | 7.946 | |||||
| S T | 7.952 | 7.952 | |||||
| F P S | 7.987 | 7.987 | |||||
| F P | 8.036 | ||||||
| P T | 8.181 | ||||||
| T | 8.200 | ||||||
| P S | 8.229 | ||||||
| P S T | 8.280 | ||||||
| P | 8.386 | ||||||
| Test Statistic | 6.519 | 2.018 | 3.228 | 5.417 | 9.667 | 3.830 | . |
| Sig. (2-sided test) | 0.011 | 0.365 | 0.199 | 0.247 | 0.022 | 0.280 | . |
| Adjusted Sig. (2-sided test) | 0.077 | 0.896 | 0.671 | 0.573 | 0.079 | 0.709 | . |
| (a) | Spatial ME ± STD | ||||
| Step Length (cm) | Stride Length (cm) | Step Width (cm) | Toe-Out Angle (deg) | ||
| Feet | Our Results | −1.7 ± 5.2 | −3.0 ± 8.7 | 1.1 ± 5.1 | −3.2 ± 15.8 |
| Hannink | NA | −0.15 ± 6.09 | −0.09 ± 4.22 | NA | |
| Zrenner | NA | 2.5 ± 20.1 | NA | NA | |
| Carfcreff | NA | 2.5 ± 3.7 | NA | NA | |
| Shank Thigh | Our Results | −0.6 ± 5.6 | 0.4 ± 9.7 | 0.85 ± 4.6 | −3.7 ± 15.2 |
| Carfcreff | NA | 7.5 ± 6.9 | NA | NA | |
| Average of all sensors | Our Test | −0.5 ± 0.6 | −1.1 ± 1.3 | 0.6 ± 0.4 | −3.5 ± 0.8 |
| (b) | General ME ± STD | ||||
| Cadence (1/s) | Cadence (1/s) | ||||
| Feet | Our Results | 0.02 ± 0.1 | 0.02 ± 0.1 | ||
| Hannink | NA | NA | |||
| Zrenner | NA | NA | |||
| Carfcreff | NA | NA | |||
| Shank Thigh | Our Results | 0.01 ± 0.09 | 0.01 ± 0.09 | ||
| Carfcreff | NA | NA | |||
| Average of all sensors | Our Results | 0.04 ± 0.00 | 0.04 ± 0.00 | ||
| (c) | Temporal ME ± STD | ||||
| Stride Time (s) | Stance Time (s) | Swing Time (s) | |||
| Feet | Our Results | –0.01 ± 0.04 | –0.01 ± 0.03 | 0.01 ± 0.03 | |
| Hannink | –0.00 ± 0.07 | –0.00 ± 0.07 | 0.00 ± 0.05 | ||
| Carfcreff | 0.00 ± 0.02 | NA | NA | ||
| Shank Thigh | Our Results | 0.00 ± 0.03 | –0.01 ± 0.04 | 0.00 ± 0.03 | |
| Carfcreff | 0.00 ± 0.02 | NA | NA | ||
| Average of all sensors | Our Results | 0.00 ± 0.00 | 0.00 ± 0.00 | 0.00 ± 0.00 | |
© 2020 by the authors. Licensee MDPI, Basel, Switzerland. This article is an open access article distributed under the terms and conditions of the Creative Commons Attribution (CC BY) license (http://creativecommons.org/licenses/by/4.0/).
Share and Cite
Sharifi Renani, M.; Myers, C.A.; Zandie, R.; Mahoor, M.H.; Davidson, B.S.; Clary, C.W. Deep Learning in Gait Parameter Prediction for OA and TKA Patients Wearing IMU Sensors. Sensors 2020, 20, 5553. https://doi.org/10.3390/s20195553
Sharifi Renani M, Myers CA, Zandie R, Mahoor MH, Davidson BS, Clary CW. Deep Learning in Gait Parameter Prediction for OA and TKA Patients Wearing IMU Sensors. Sensors. 2020; 20(19):5553. https://doi.org/10.3390/s20195553
Chicago/Turabian StyleSharifi Renani, Mohsen, Casey A. Myers, Rohola Zandie, Mohammad H. Mahoor, Bradley S. Davidson, and Chadd W. Clary. 2020. "Deep Learning in Gait Parameter Prediction for OA and TKA Patients Wearing IMU Sensors" Sensors 20, no. 19: 5553. https://doi.org/10.3390/s20195553
APA StyleSharifi Renani, M., Myers, C. A., Zandie, R., Mahoor, M. H., Davidson, B. S., & Clary, C. W. (2020). Deep Learning in Gait Parameter Prediction for OA and TKA Patients Wearing IMU Sensors. Sensors, 20(19), 5553. https://doi.org/10.3390/s20195553
