Design, Analysis and Simulation of a MEMS-Based Gyroscope with Differential Tunneling Magnetoresistance Sensing Structure
Abstract
1. Introduction
2. Device Design
2.1. Overall Conception
2.2. Mechanical Structure
2.3. Coil Structure
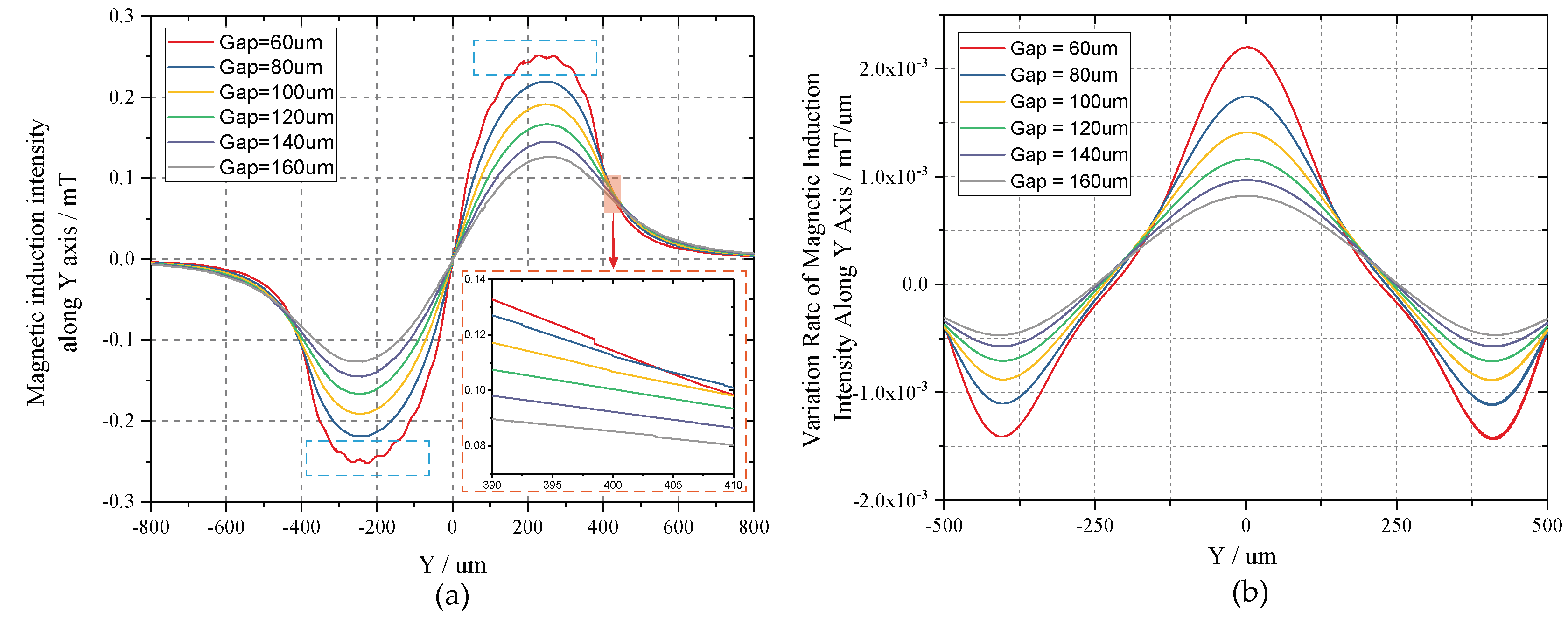
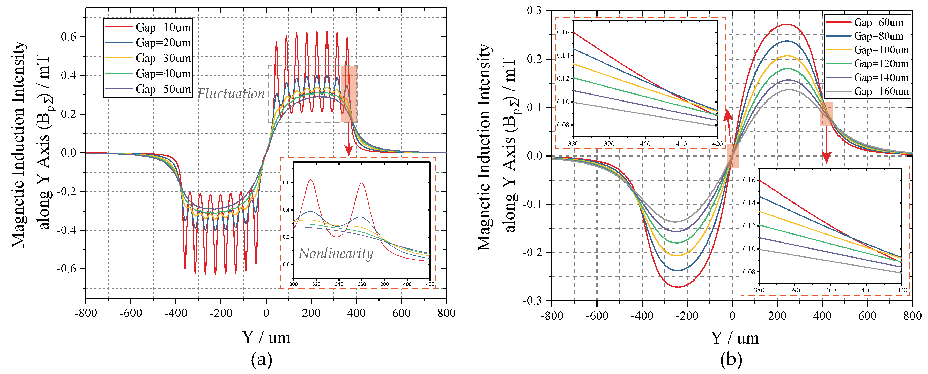
2.3.1. Magnetic Field Distribution
2.3.2. Sensitivity Analysis
3. Simulation Analysis
3.1. Mechanical Simulation
3.2. Magnetic Simulation
4. Conclusions
Author Contributions
Funding
Conflicts of Interest
References
- Passaro, V.; Cuccovillo, A.; Vaiani, L.; De Carlo, M.; Campanella, C.E. Gyroscope technology and applications: A review in the industrial perspective. Sensors 2017, 17, 2284. [Google Scholar] [CrossRef]
- Liu, K.; Zhang, W.; Chen, W.; Li, K.; Dai, F.; Cui, F.; Wu, X.; Ma, G.; Xiao, Q. The development of micro-gyroscope technology. J. Micromech. Microeng. 2009, 19, 113001. [Google Scholar] [CrossRef]
- Georgy, J.; Noureldin, A.; Korenberg, M.J.; Bayoumi, M.M. Modeling the Stochastic Drift of a MEMS-Based Gyroscope in Gyro/Odometer/GPS Integrated Navigation. IEEE Trans. Intell. Transp. Syst. 2010, 11, 856–872. [Google Scholar] [CrossRef]
- Liu, D.; Lu, N.N.; Cui, J.; Lin, L.; Ding, H.; Yang, Z.C.; Hao, Y.L.; Yan, G. Digital closed-loop control based on adaptive filter for drive mode of a MEMS gyroscope. IEEE Sens. J. 2010, 2010, 1722–1726. [Google Scholar]
- Cao, H.; Zhang, Y.; Han, Z.; Shao, X.; Gao, J.; Huang, K.; Shi, Y.; Tang, J.; Shen, C.; Liu, J. Pole-Zero Temperature Compensation Circuit Design and Experiment for Dual-Mass MEMS Gyroscope Bandwidth Expansion. IEEE ASME Trans. Mechatron. 2019, 24, 677–688. [Google Scholar] [CrossRef]
- Antonello, R.; Oboe, R.; Prandi, L.; Biganzoli, F. Automatic Mode Matching in MEMS Vibrating Gyroscopes Using Extremum-Seeking Control. IEEE Trans. Ind. 2009, 56, 3880–3891. [Google Scholar] [CrossRef]
- Raman, J.; Cretu, E.; Rombouts, P.; Weyten, L. A Closed-Loop Digitally Controlled MEMS Gyroscope With Unconstrained Sigma-Delta Force-Feedback. IEEE Sens. J. 2009, 9, 297–305. [Google Scholar] [CrossRef]
- Weinberg, M.S.; Kourepenis, A. Error sources in in-plane silicon tuning-fork MEMS gyroscopes. J. Microelectromech. Syst. 2006, 15, 479–491. [Google Scholar] [CrossRef]
- Hazarika, B.; Afzulpurkar, N.; Punyasai, C.; Das, D.K. Design, simulation & modelling of MEMS based comb-drive tunneling effect gyroscope. In Proceedings of the 9th International Conference on Electrical Engineering/Electronics, Computer, Telecommunications and Information Technology Phetchaburi, Phetchaburi, Thailand, 16–18 May 2012. [Google Scholar]
- Yunbo, S.; Qiong, Z.; Junhong, L.; Xiaogang, T.; Zongmin, M.; Jun, L. Study on MEMS tunneling effect gyroscope. In Proceedings of the IEEE International Symposium on Industrial Electronics, Seoul, Korea, 5–8 July 2009. [Google Scholar]
- Wang, L.; Su, Y.; Lei, Y.; Li, W.; Liu, Y.; Sun, D. A novel bulk micromachined tunneling gyroscope. In Proceedings of the 6th IEEE International Conference on Nano/Micro Engineered and Molecular Systems, Kaohsiung, Taiwan, 20–23 February 2011. [Google Scholar]
- Kubena, R.L.; Vickerskirby, D.J.; Joyce, R.J.; Stratton, F.P.; Chang, D.T. A new tunneling-based sensor for inertial rotation rate measurements. Sens. Actuator A Phys. 2000, 83, 109–117. [Google Scholar] [CrossRef]
- Kubena, R.L.; Vickerskirby, D.J.; Joyce, R.J.; Stratton, F.P. New miniaturized tunneling-based gyro for inertial measurement applications. J. Vac. Sci. Technol. 1999, 17, 2948–2952. [Google Scholar] [CrossRef]
- Xie, H.; Fedder, G.K. Fabrication, characterization, and analysis of a DRIE CMOS-MEMS gyroscope. IEEE Sens. J. 2003, 3, 622–631. [Google Scholar]
- Meyners, D.; Von Hofe, T.; Vieth, M.; Ruhrig, M.; Schmitt, S.; Quandt, E. Pressure sensor based on magnetic tunnel junctions. J. Appl. Phys. 2009, 105. [Google Scholar] [CrossRef]
- Olivas, J.D.; Lairson, B.M.; Ramesham, R. Ultra-Sensitive Magnetoresistive Displacement Sensing Device. U.S. Patent Application NO. 6,507,187, 14 January 2003. [Google Scholar]
- Yang, B.; Wang, B.; Gao, X. Research on a small tunnel magnetoresistive accelerometer based on 3D printing. Microsyst. Technol. 2019, 25, 2649–2660. [Google Scholar] [CrossRef]
- Li, M.; Ding, X.; Qin, S. Design of a novel lower-noise tunneling magnetoresistance micromachined gyroscope. Microsyst. Technol. 2019, 25, 1447–1454. [Google Scholar] [CrossRef]
- Dohmeier, N.; Tavassolizadeh, A.; Rott, K.; Quandt, E.; Meyners, D.; Reiss, G. Inverse magnetostrictive stress sensors based on crossed pinned CoFeB/MgO/CoFeB tunnel junctions. J. Appl. Phys. 2018, 124, 064501. [Google Scholar] [CrossRef]
- Ramesh, A.K.; Rana, V.; Das, P.; Singh, P. Polycrystalline Sense Layer for Magnetic Tunnel Junction (MTJ) as Ultrasensitive Sensing Element for MEMS Pressure Sensors. In Proceedings of the IEEE 32nd International Conference on Micro Electro Mechanical Systems (MEMS), Seoul, Korea, 27–31 January 2019. [Google Scholar]
- Yang, B.; Wang, B.; Yan, H.; Gao, X. Design of a Micromachined Z-axis Tunneling Magnetoresistive Accelerometer with Electrostatic Force Feedback. Micromachines 2019, 10, 158. [Google Scholar] [CrossRef]
- Gao, L.; Chen, F.; Yao, Y.; Xu, D. High-Precision Acceleration Measurement System Based on Tunnel Magneto-Resistance Effect. Sensors 2020, 20, 1117. [Google Scholar] [CrossRef]
- Anoop, C.S.; George, B.; Jagadeesh, K.V. Tunneling magneto-resistor based angle transducer. In Proceedings of the Fifth International Conference on Sensing Technology, Palmerston North, New Zealand, 28 November–1 December 2011. [Google Scholar]
- Sreekantan, A.C.; George, B.; Kumar, V.J. Analysis of a tunnelling magneto-resistance-based angle transducer. IET Circ. Device Syst. 2014, 8, 301–310. [Google Scholar] [CrossRef]
- Bhaskarrao, N.K.; Anoop, C.S.; Dutta, P.K. A simple and efficient front-end circuit for Magneto-resistive angle sensors. In Proceedings of the IEEE International Instrumentation and Measurement Technology Conference (I2MTC), Turin, Italy, 22–25 May 2017. [Google Scholar]
- Sharma, A.; Zaman, M.F.; Ayazi, F. A Sub-0.2°/hr Bias Drift Micromechanical Silicon Gyroscope With Automatic CMOS Mode-Matching. IEEE J. Solid-State Circuits 2009, 44, 1593–1608. [Google Scholar] [CrossRef]
- Chang, H.; Wen, C.; Lee, C. Design, analysis and optimization of an electromagnetic actuator for a micro impedance pump. J. Micromech. Microeng. 2009, 19, 085026. [Google Scholar] [CrossRef]
- Zaman, M.F.; Sharma, A.; Hao, Z.; Ayazi, F. A Mode-Matched Silicon-Yaw Tuning-Fork Gyroscope With Subdegree-Per-Hour Allan Deviation Bias Instability. J Microelectromech. Syst. 2008, 17, 1526–1536. [Google Scholar] [CrossRef]
- Sharma, A.; Zaman, M.F.; Zucher, M.; Ayazi, F. A 0.1°/hr bias drift electronically matched tuning fork microgyroscope. In 2008 IEEE 21st International Conference on Micro Electro Mechanical Systems; IEEE: New York, NY, USA, 2008. [Google Scholar]
- Lee, C.; Chen, Z.; Chang, H.; Cheng, C.; Wen, C. Design and fabrication of a novel micro electromagnetic actuator. Microsyst. Technol. 2008, 15, 1171–1177. [Google Scholar] [CrossRef]
- Kim, K.H.; Yoon, H.J.; Jeong, O.C.; Yang, S.S. Fabrication and test of a micro electromagnetic actuator. Sens. Actuators 2005, 117, 8–16. [Google Scholar] [CrossRef]
- The Datasheet of TMR9001. Available online: http://www.dowaytech.com/en/1866.html (accessed on 1 March 2020).
- Yang, B.; Wang, X.; Deng, Y.; Hu, D. Mechanical Coupling Error Suppression Technology for an Improved Decoupled Dual-Mass Micro-Gyroscope. Sensors 2016, 16, 503. [Google Scholar] [CrossRef] [PubMed]
















| Symbol | Value | Unit | Symbol | Value | Unit | Symbol | Value | Unit |
|---|---|---|---|---|---|---|---|---|
| l1 | 1200 | µm | w5 | 60 | µm | w13 | 15 | µm |
| l2 | 1430 | µm | w6 | 10 | µm | w14 | 5 | µm |
| l3 | 380 | µm | w7 | 10 | µm | w15 | 1 | µm |
| l4 | 327 | µm | w8 | 80 | µm | w16 | 60 | µm |
| w1 | 42 | µm | w9 | 45 | µm | a | 15 | µm |
| w2 | 80 | µm | w10 | 40 | µm | b | 4 | µm |
| w3 | 80 | µm | w11 | 30 | µm | l | 10 | µm |
| w4 | 105 | µm | w12 | 20 | µm | d0 | 4 | µm |
| Symbol | Value | Unit | Symbol | Value | Unit |
|---|---|---|---|---|---|
| L1 | 90 | µm | L5 | 450 | µm |
| L2 | 180 | µm | L6 | 540 | µm |
| L3 | 270 | µm | L7 | 630 | µm |
| L4 | 360 | µm | L8 | 720 | µm |
| Gap (µm) | Extremum (mT/µm) | Gap (µm) | Extremum (mT/µm) |
|---|---|---|---|
| 60 | 0.002069 | 120 | 0.0002069 |
| 80 | 0.001433 | 140 | 0.0006486 |
| 100 | 0.001066 | 160 | 0.0005198 |
| Mode | Frequency (Hz) |
|---|---|
| 1 | 5482.4 |
| 2 | 5557.3 |
| 3 | 5568.1 |
| 4 | 6092.1 |
| Parameter | Value | Unit |
|---|---|---|
| Sense-mode effective mass (ms) | 1.44 × 10−6 | Kg |
| Comb thickness (h) | 100 | µm |
| Comb gap (e) | 4 | µm |
| Number of tuning combs (n) | 2000 | |
| Vacuum permittivity () | 8.854 × 10−12 | F/m |
| Offset of Drive voltage (Vd) | 10 | V |
| Amplitude of Drive voltage (Va) | 5 | V |
© 2020 by the authors. Licensee MDPI, Basel, Switzerland. This article is an open access article distributed under the terms and conditions of the Creative Commons Attribution (CC BY) license (http://creativecommons.org/licenses/by/4.0/).
Share and Cite
Li, C.; Yang, B.; Guo, X.; Chen, X. Design, Analysis and Simulation of a MEMS-Based Gyroscope with Differential Tunneling Magnetoresistance Sensing Structure. Sensors 2020, 20, 4919. https://doi.org/10.3390/s20174919
Li C, Yang B, Guo X, Chen X. Design, Analysis and Simulation of a MEMS-Based Gyroscope with Differential Tunneling Magnetoresistance Sensing Structure. Sensors. 2020; 20(17):4919. https://doi.org/10.3390/s20174919
Chicago/Turabian StyleLi, Cheng, Bo Yang, Xin Guo, and Xinru Chen. 2020. "Design, Analysis and Simulation of a MEMS-Based Gyroscope with Differential Tunneling Magnetoresistance Sensing Structure" Sensors 20, no. 17: 4919. https://doi.org/10.3390/s20174919
APA StyleLi, C., Yang, B., Guo, X., & Chen, X. (2020). Design, Analysis and Simulation of a MEMS-Based Gyroscope with Differential Tunneling Magnetoresistance Sensing Structure. Sensors, 20(17), 4919. https://doi.org/10.3390/s20174919

