Electrochemically Reduced Graphene Oxide-Based Screen-Printed Electrodes for Total Tetracycline Determination by Adsorptive Transfer Stripping Differential Pulse Voltammetry
Abstract
1. Introduction
2. Material and Methods
2.1. Reagents and Sample
2.2. Instrumentation
2.3. Procedures
2.3.1. Electrochemical Sensor Fabrication
2.3.2. Electrochemical Measurements
2.3.3. Measurements of Electrode Active Surface by Using a Randles–Sevcik Equation
2.4. Sample Preparation
3. Results and Discussion
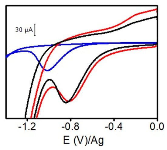
3.1. ERGO-SPE Characterization
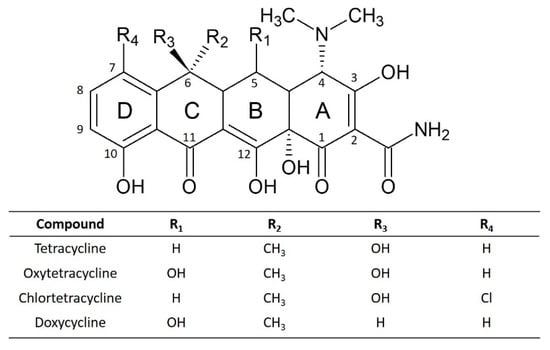
3.2. Electrochemical Behavior of Tetracyclines at ERGO-SPE by AdTDPV
3.3. Analytical Performance of AdTDPV-ERGO-SPE Sensor for Total Tetracycline Determination and Sample Analysis
4. Conclusions
Supplementary Materials
Author Contributions
Funding
Acknowledgments
Conflicts of Interest
Abbreviations
| AdTDPV | adsorptive transfer stripping differential pulse voltammetry |
| AdSDPV | adsorptive stripping differential pulse voltammetry |
| CTC | chlortetracycline hydrochloride |
| DOX | doxycycline hydrochloride |
| DPV | differential pulse voltammetry |
| ERGO | electrochemically reduced graphene oxide |
| GO | graphene oxide |
| OTC | oxytetracycline hydrochloride |
| SEM | scanning electron microscopy |
| SPE | carbon screen-printed electrode |
| TET | tetracycline hydrochloride |
References
- Garcia, C.D.; Crevillen, A.G.; Escarpa, A. Carbon-Based Nanomaterials in Analytical Chemistry, 1st ed.; Royal Society of Chemistry: Cambridge, UK, 2018; pp. 1–36. [Google Scholar]
- Martín, A.; Escarpa, A. Graphene: The cutting-edge interaction between chemistry and electrochemistry. TrAC Trends Anal. Chem. 2014, 56, 13–26. [Google Scholar] [CrossRef]
- Pérez-López, B.; Merkoçi, A. Carbon nanotubes and graphene in analytical sciences. Microchim. Acta 2012, 179, 1–16. [Google Scholar] [CrossRef]
- Ibrahim, W.A.W.; Nodeh, H.R.; Sanagi, M.M. Graphene-Based Materials as Solid Phase Extraction Sorbent for Trace Metal Ions, Organic Compounds, and Biological Sample Preparation. Crit. Rev. Anal. Chem. 2016, 46, 267–283. [Google Scholar] [CrossRef] [PubMed]
- Sitko, R.; Zawisza, B.; Malicka, E. Graphene as a new sorbent in analytical chemistry. TrAC Trends Anal. Chem. 2013, 51, 33–43. [Google Scholar] [CrossRef]
- Khodaee, N.; Mehdinia, A.; Esfandiarnejad, R.; Jabbari, A. Ultra trace analysis of PAHs by designing simple injection of large amounts of analytes through the sample reconcentration on SPME fiber after magnetic solid phase extraction. Talanta 2016, 147, 59–62. [Google Scholar] [CrossRef] [PubMed]
- Wu, X.J.; Wang, G.N.; Yang, K.; Liu, H.Z.; Wang, J.P. Determination of Tetracyclines in Milk by Graphene-Based Solid-Phase Extraction and High-Performance Liquid Chromatography. Anal. Lett. 2017, 50, 641–650. [Google Scholar] [CrossRef]
- Yan, H.; Sun, N.; Liu, S.; Row, K.H.; Song, Y. Miniaturized graphene-based pipette tip extraction coupled with liquid chromatography for the determination of sulfonamide residues in bovine milk. Food Chem. 2014, 158, 239–244. [Google Scholar] [CrossRef] [PubMed]
- Justino, C.I.L.; Gomes, A.R.; Freitas, A.C.; Duarte, A.C.; Rocha-Santos, T.A.P. Graphene based sensors and biosensors. TrAC Trends Anal. Chem. 2017, 91, 53–66. [Google Scholar] [CrossRef]
- Cinti, S.; Arduini, F. Graphene-based screen-printed electrochemical (bio)sensors and their applications: Efforts and criticisms. Biosens. Bioelectron. 2017, 89, 107–122. [Google Scholar] [CrossRef]
- Taleat, Z.; Khoshroo, A.; Mazloum-Ardakani, M. Screen-printed electrodes for biosensing: A review (2008–2013). Microchim. Acta 2014, 181, 865–891. [Google Scholar] [CrossRef]
- Kushikawa, R.T.; Silva, M.R.; Angelo, A.C.D.; Teixeira, M.F.S. Construction of an electrochemical sensing platform based on platinum nanoparticles supported on carbon for tetracycline determination. Sens. Actuators B Chem. 2016, 228, 207–213. [Google Scholar] [CrossRef]
- Chopra, I.; Roberts, M. Tetracycline Antibiotics: Mode of Action, Applications, Molecular Biology, and Epidemiology of Bacterial Resistance. Microbiol. Mol. Biol. Rev. 2001, 65, 232–260. [Google Scholar] [CrossRef] [PubMed]
- Pérez-Rodríguez, M.; Pellerano, R.G.; Pezza, L.; Pezza, H.R. An overview of the main foodstuff sample preparation technologies for tetracycline residue determination. Talanta 2018, 182, 1–21. [Google Scholar] [CrossRef] [PubMed]
- Kumar, M.; Jaiswal, S.; Sodhi, K.K.; Shree, P.; Singh, D.K. Antibiotics bioremediation: Perspectives on its ecotoxicity and resistance. Environ. Int. 2019, 124, 448–461. [Google Scholar] [CrossRef]
- Lan, L.; Yao, Y.; Ping, J.; Ying, Y. Recent advances in nanomaterial-based biosensors for antibiotics detection. Biosens. Bioelectron. 2017, 91, 504–514. [Google Scholar] [CrossRef]
- Liu, X.; Huang, D.; Lai, C.; Zeng, G.; Qin, L.; Zhang, C.; Yi, H.; Li, B.; Deng, R.; Liu, S.; et al. Recent advances in sensors for tetracycline antibiotics and their applications. TrAC Trends Anal. Chem. 2018, 109, 260–274. [Google Scholar] [CrossRef]
- Gaudin, V. Advances in biosensor development for the screening of antibiotic residues in food products of animal origin—A comprehensive review. Biosens. Bioelectron. 2017, 90, 363–377. [Google Scholar] [CrossRef]
- Kesavan, S.; Kumar, D.R.; Lee, Y.R.; Shim, J.J. Determination of tetracycline in the presence of major interference in human urine samples using polymelamine/electrochemically reduced graphene oxide modified electrode. Sens. Actuators B Chem. 2017, 241, 455–465. [Google Scholar] [CrossRef]
- Sun, X.; Ji, Z.; Xiong, M.; Chen, W. The Electrochemical Sensor for the Determination of Tetracycline Based on Graphene /L-Cysteine Composite Film. J. Electrochem. Soc. 2017, 164, B107–B112. [Google Scholar] [CrossRef]
- Wong, A.; Scontri, M.; Materon, E.M.; Lanza, M.R.V.; Sotomayor, M.D.P.T. Development and application of an electrochemical sensor modified with multi-walled carbon nanotubes and graphene oxide for the sensitive and selective detection of tetracycline. J. Electroanal. Chem. 2015, 757, 250–257. [Google Scholar] [CrossRef]
- Paleček, E.; Bartošík, M. Electrochemistry of Nucleic Acids. Chem. Rev. 2012, 112, 3427–3481. [Google Scholar] [CrossRef] [PubMed]
- Jampasa, S.; Siangproh, W.; Duangmal, K.; Chailapakul, O. Electrochemically reduced graphene oxide-modified screen-printed carbon electrodes for a simple and highly sensitive electrochemical detection of synthetic colorants in beverages. Talanta 2016, 160, 113–124. [Google Scholar] [CrossRef] [PubMed]
- Hui, K.H.; Ambrosi, A.; Pumera, M.; Bonanni, A. Improving the Analytical Performance of Graphene Oxide towards the Assessment of Polyphenols. Chem. A Eur. J. 2016, 22, 3830–3834. [Google Scholar] [CrossRef] [PubMed]
- Luo, Y.; Xu, J.; Li, Y.; Gao, H.; Guo, J.; Shen, F.; Sun, C. A novel colorimetric aptasensor using cysteamine-stabilized gold nanoparticles as probe for rapid and specific detection of tetracycline in raw milk. Food Control 2015, 54, 7–15. [Google Scholar] [CrossRef]
- Moraes, F.C.; Freitas, R.G.; Pereira, R.; Gorup, L.F.; Cuesta, A.; Pereira, E.C. Coupled electronic and morphologic changes in graphene oxide upon electrochemical reduction. Carbon 2015, 91, 11–19. [Google Scholar] [CrossRef]
- Šalplachta, J.; Horká, M.; Růžička, F.; Šlais, K.; Vykydalová, M.; Kubesová, A.; Holá, V.; Dvořáčková, M. CIEF separation, UV detection, and quantification of ampholytic antibiotics and bacteria from different matrices. Anal. Bioanal. Chem. 2014, 406, 6285–6296. [Google Scholar]
- Sierra, T.; González, M.C.; Moreno, B.; Crevillen, A.G.; Escarpa, A. Total α1-acid glycoprotein determination in serum samples using disposable screen-printed electrodes and osmium (VI) as electrochemical tag. Talanta 2018, 180, 206–210. [Google Scholar] [CrossRef]
- Hou, X.; Wang, X.; Sun, Y.; Wang, Y.; Guo, Y. Graphene oxide for solid-phase extraction of bioactive, phenolic acids. Anal. Bioanal. Chem. 2017, 409, 3541–3549. [Google Scholar] [CrossRef]
- Martín, A.; Hernández-Ferrer, J.; Vázquez, L.; Martínez, M.T.; Escarpa, A. Controlled chemistry of tailored graphene nanoribbons for electrochemistry: A rational approach to optimizing molecule detection. RSC Adv. 2014, 4, 132–139. [Google Scholar] [CrossRef]
- Abellán-Llobregat, A.; Vidal, L.; Rodríguez-Amaro, R.; Berenguer-Murcia, A.; Canals, A.; Morallón, E. Au-IDA microelectrodes modified with Au-doped graphene oxide for the simultaneous determination of uric acid and ascorbic acid in urine samples. Electrochim. Acta 2017, 227, 275–284. [Google Scholar] [CrossRef]







| Electrode | Peak Potential (V) | DPV Peak Height (×108 A) | AdTDPV Peak Height (×108 A) |
|---|---|---|---|
| SPE | 0.58 | 175 | 4.0 |
| ERGO-10 | 0.54 | 23.9 | 131 |
| ERGO-20 | 0.55 | 28.7 | 218 |
| Sample | TET Added (µM) | Found (µM) | Recovery (%) |
|---|---|---|---|
| Milk | 30 | 28 | 95 ± 5 |
| 70 | 71 | 102 ± 21 | |
| River water | 30 | 33 | 110 ± 10 |
| 70 | 66 | 94 ± 9 |
© 2019 by the authors. Licensee MDPI, Basel, Switzerland. This article is an open access article distributed under the terms and conditions of the Creative Commons Attribution (CC BY) license (http://creativecommons.org/licenses/by/4.0/).
Share and Cite
Lorenzetti, A.S.; Sierra, T.; Domini, C.E.; Lista, A.G.; Crevillen, A.G.; Escarpa, A. Electrochemically Reduced Graphene Oxide-Based Screen-Printed Electrodes for Total Tetracycline Determination by Adsorptive Transfer Stripping Differential Pulse Voltammetry. Sensors 2020, 20, 76. https://doi.org/10.3390/s20010076
Lorenzetti AS, Sierra T, Domini CE, Lista AG, Crevillen AG, Escarpa A. Electrochemically Reduced Graphene Oxide-Based Screen-Printed Electrodes for Total Tetracycline Determination by Adsorptive Transfer Stripping Differential Pulse Voltammetry. Sensors. 2020; 20(1):76. https://doi.org/10.3390/s20010076
Chicago/Turabian StyleLorenzetti, Anabela S., Tania Sierra, Claudia E. Domini, Adriana G. Lista, Agustin G. Crevillen, and Alberto Escarpa. 2020. "Electrochemically Reduced Graphene Oxide-Based Screen-Printed Electrodes for Total Tetracycline Determination by Adsorptive Transfer Stripping Differential Pulse Voltammetry" Sensors 20, no. 1: 76. https://doi.org/10.3390/s20010076
APA StyleLorenzetti, A. S., Sierra, T., Domini, C. E., Lista, A. G., Crevillen, A. G., & Escarpa, A. (2020). Electrochemically Reduced Graphene Oxide-Based Screen-Printed Electrodes for Total Tetracycline Determination by Adsorptive Transfer Stripping Differential Pulse Voltammetry. Sensors, 20(1), 76. https://doi.org/10.3390/s20010076

