Design and Testing of a Structural Monitoring System in an Almería-Type Tensioned Structure Greenhouse
Abstract
1. Introduction
2. Description of the Recording Equipment and Analysis Techniques
2.1. Greenhouse and Equipment for Environmental and Tensile Data Recording
2.2. Data Recording Equipment Implementation and Analysis of the Process of Machine Vision Control to Capture Displacements
2.3. Image Processing
2.4. Measurement System Calibration
3. Results and Discussion
3.1. Displacement Results
3.2. Results of Load Measurements in the Structural Elements
3.2.1. Roof Cable Performance
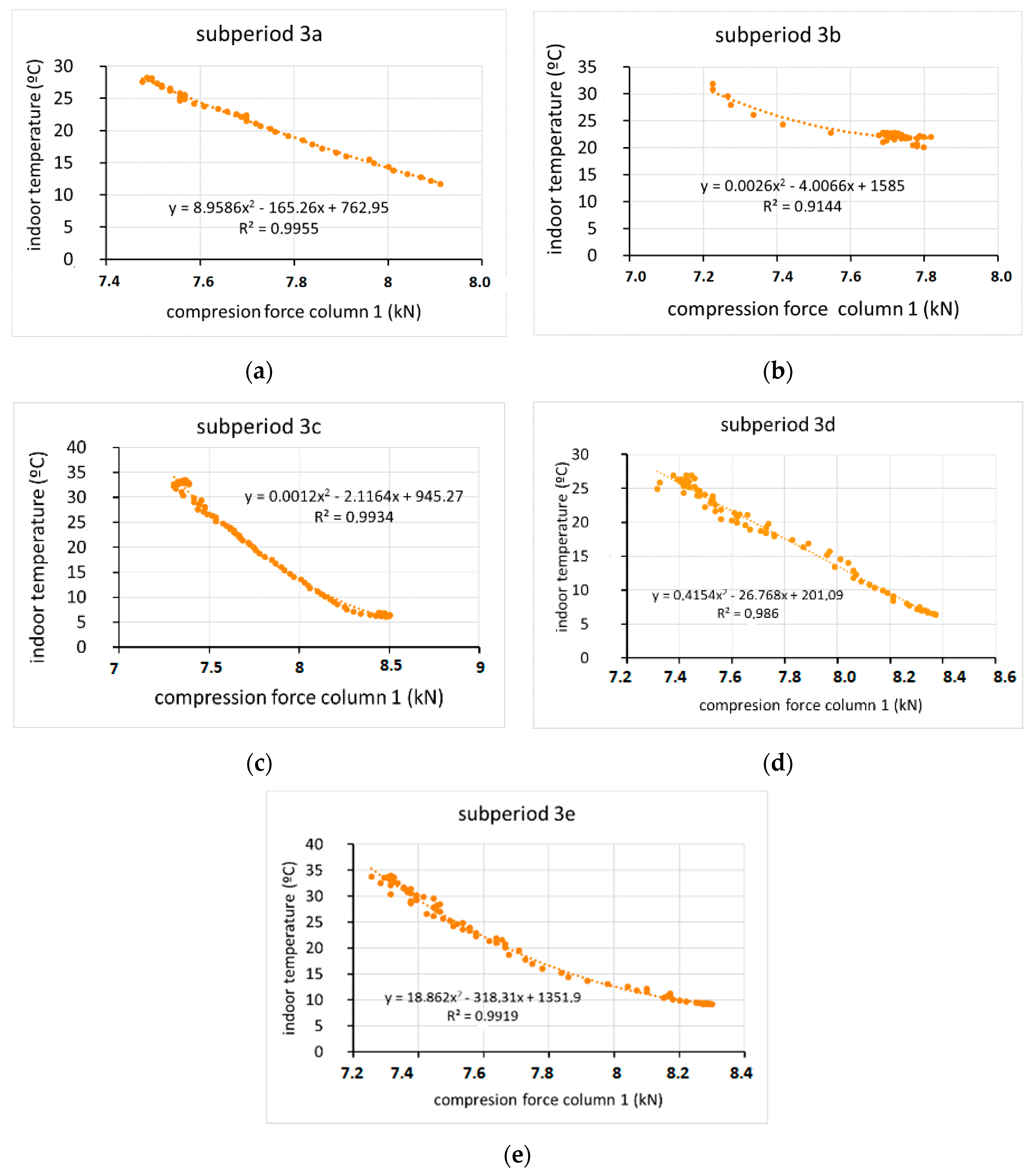
3.2.2. Column Performance
4. Conclusions
Author Contributions
Funding
Acknowledgments
Conflicts of Interest
References
- Ren, J.; Wang, J.; Guo, S.; Li, X.; Zheng, K.; Zhao, Z. Finite element analysis of the static properties and stability of a large-span. Comput. Electron. Agric. 2019, 165, 104957. [Google Scholar] [CrossRef]
- Briassoulis, D.; Dougka, G.; Dimakogianni, D.; Vayas, I. Analysis of the collapse of a greenhouse with vaulted roof. Biosyst. Eng. 2016, 151, 495–509. [Google Scholar] [CrossRef]
- Dai, C.; Jiang, X.; Ding, M.; Lv, D.; Jia, G.; Zhang, P. Analysis on snow distribution on sunlight greenhouse and its distribution coefficient. In International Conference on Computer and Computing Technologies in Agriculture; IFIP Advances in Information and Communication Technology Book Series; Springer: Cham, Switzerland, 2015; Volume 452. [Google Scholar] [CrossRef]
- Moriyama, H.; Sase, S.; Okushima, L.; Ishii, M. Which design constraints apply to a pipe-framed greenhouse? Jpn. Agric. Res. Q. JARQ 2015, 49, 1–10. [Google Scholar] [CrossRef]
- Castellano, S.; Mugnozza, S.S.; Vox, G. Collapse full scale test on a pitched roof greenhouse structure. Colt. Protette 2006, 35, 55–61. [Google Scholar]
- Ha, T.; Kim, J.; Cho, B.-H.; Kim, D.-J.; Jung, J.-E.; Shin, S.-H.; Kim, H. Finite element model updating of multi-span greenhouses based on ambient vibration measurements. Biosyst. Eng. 2017, 161, 145–156. [Google Scholar] [CrossRef]
- Hur, D.-J.; Kwon, S. Fatigue analysis of greenhouse structure under wind load and self-weight. Appl. Sci. 2017, 7, 1274. [Google Scholar] [CrossRef]
- Peña, A.; Valera, D.L.; Pérez, F.; Ayuso, J.; Pérez, J. Behavior of greenhouse foundations subjected to uplift loads. Trans. ASAE 2004, 47, 1651–1657. [Google Scholar] [CrossRef]
- Ming, G.; Youqin, H. Equivalent static wind loads for stability design of large span roof structures. Wind Struct. 2015, 20, 95–115. [Google Scholar] [CrossRef]
- Bronkhorst, A.; Geurts, C.; Bentum, C.V.; Knaap, L.V.D.; Petermann, I. Wind loads for stability design of large multi-span duo-pitch greenhouses. Front. Built Envioron. 2017, 3, 1–21. [Google Scholar] [CrossRef]
- Kwon, K.-S.; Kim, D.-W.; Kim, R.-W.; Ha, T.; Lee, I.-B. Evaluation of wind pressure coefficients of single-span greenhouses built on reclaimed coastalland using a large-sized wind tunnel. Biosyst. Eng. 2016, 141, 58–81. [Google Scholar] [CrossRef]
- Castellano, S.; Candura, A.; Scarascia-Mugnozza, G. Greenhouse structures SLS analysis: Experimental results and normative aspects. Acta Hortic. 2005, 691, 701–708. [Google Scholar] [CrossRef]
- Kim, R.-W.; Lee, I.-B.; Yeo, U.-H.; Lee, S.-Y. Estimating the wind pressure coefficient for single-span greenhouses using an large eddy simulation turbulence model. Biosyst. Eng. 2019, 188, 114–135. [Google Scholar] [CrossRef]
- Lee, H.; Lee, S.; Lee, J.; Kwak, C. Experimental study on the ground support conditions of pipe ends in single span pipe greenhouse. Acta Hortic. 2011, 893, 259–268. [Google Scholar] [CrossRef]
- Ma, H.; Fan, F.; Wen, P.; Zhang, H.; Shen, S. Experimental and numerical studies on a single-layer cylindricalreticulated shell with semi-rigid joints. Thin-Walled Struct. 2015, 86, 1–9. [Google Scholar] [CrossRef]
- Neto, V.; Soriano, J. Distribution of stress in greenhouses frames estimated by aerodynamic coefficients of Brazilian and European standards. Sci. Agric. 2016, 73, 97–102. [Google Scholar] [CrossRef]
- Iribarne, L.; Torres, J.A.; Peña, A. Using computer modeling techniques to design tunnel greenhouse structures. Comput. Ind. 2007, 58, 403–415. [Google Scholar] [CrossRef]
- Valera, D.L.; Belmonte, L.J.; Molina-Aiz, F.D.; Lopez, A. Greenhouse Agriculture in Almería. A Comprehensive Techno-Economic Analysis; Cajamar Caja Rural: Almería, Spain, 2016; p. 408. Available online: https://www.publicacionescajamar.es/series-tematicas/economia/greenhouse-agriculture-in-almeria-a-comprehensive-techno-economic-analysis (accessed on 22 September 2019).
- Cao, Y.; Yim, J.; Zhao, Y.; Wang, M.L. Temperature effects on cable stayed bridge using health monitoring system: A case study. Struct. Health Monit. 2011, 10, 523–537. [Google Scholar] [CrossRef]
- Montassar, S.; Mekki, O.B.; Vairo, G. On the effects of uniform temperature variations on stay cables. J. Civ. Struct. Health Monit. 2015, 5, 735–742. [Google Scholar] [CrossRef]
- Saracoglu, E.; Bergstrand, S. Continuous monitoring of a long-span cable-stayed timber bridge. J. Civ. Struct. Health Monit. 2015, 5, 183–194. [Google Scholar] [CrossRef]
- Larsolle, A.; Muhammed, H.H. Measuring crop status using multivariate analysis of hyperspectral field reflectance with application to disease severity and plant density. Precis. Agric. 2007, 8, 37–47. [Google Scholar] [CrossRef]
- Herold, M.; Goldtein, N.C.; Clarke, K.C. The spatiotemporal form of urban growth: Measurement, analysis and modeling. Remote Sens. Environ. 2003, 86, 286–302. [Google Scholar] [CrossRef]
- Murakami, T.; Yui, M.; Amaha, K. Canopy height measurement by photogrammetric analysis of aerial images: Application to buckwheat (Fagopyrum esculentum Moench) lodging evaluation. Comput. Electron. Agric. 2012, 89, 70–75. [Google Scholar] [CrossRef]
- Ji, B.; Zhu, W.; Liu, B.; Ma, C.; Li, X. Review of recent machine-vision technologies in agriculture. In Proceedings of the Second International Symposium on Knowledge Acquisition and Modeling, Wuhan, China, 30 November–1 December 2009; pp. 330–334. [Google Scholar] [CrossRef]
- Jurjo, D.; Magluta, C.; Roitman, N.; Goncalves, P. Experimental methodology for the dynamic analysis of slender structures based on digital image processing techniques. Mech. Syst. Signal Process. 2010, 24, 1369–1382. [Google Scholar] [CrossRef]
- Wu, T.; Peng, Y.; Wu, H.; Zhang, X.; Wang, J. Full-life dynamic identification of wear state based on on-line wear debris image features. Mech. Syst. Signal Process. 2014, 42, 404–414. [Google Scholar] [CrossRef]
- You, D.; Gao, X.; Katayama, S. Monitoring of high-power laser welding using high-speed photographing and image processing. Mech. Syst. Signal Process. 2014, 49, 39–52. [Google Scholar] [CrossRef]
- Feng, D.; Feng, M.Q.; Ozer, E.; Fukuda, Y. A vision-based sensor for noncontact structural displacement measurement. Sensors 2015, 15, 16557–16575. [Google Scholar] [CrossRef]
- Lee, J.-J.; Ho, H.-N.; Lee, J.-H. A vision-based dynamic rotational angle measurement. Sensors 2012, 12, 7326–7336. [Google Scholar] [CrossRef]
- Lee, J.; Shinozuka, M. Real-time displacement measurement of a flexible bridge using digital image processing techniques. Exp. Mech. 2006, 46, 105–114. [Google Scholar] [CrossRef]
- Fukuda, Y.; Feng, M.Q.; Narita, Y.; Kaneko, S.; Tanaka, T. Vision-based displacement sensor for monitoring dynamic response using robust object search algorithm. IEEE Sens. J. 2013, 13, 4725–4732. [Google Scholar] [CrossRef]
- Ribeiro, D.; Calcada, R.; Ferreira, J.; Martins, T. Non-contact measurement of the dynamic displacement of railway bridges using an advanced video-based system. Eng. Struct. 2014, 75, 164–180. [Google Scholar] [CrossRef]
- Xu, Y.; Brownjohn, J.; Kong, D. A non-contact vision-based system for multipoint. Struct. Control Health Monit. 2018, 25, e2155. [Google Scholar] [CrossRef]
- Kim, S.-W.; Jeon, B.-G.; Kim, N.-S.; Park, J.-C. Vision-based monitoring system for evaluating cable tensile forces on a cable-stayed bridge. Struct. Health Monit. 2013, 12, 440–456. [Google Scholar] [CrossRef]
- Malesa, M.; Malowany, K.; Tomczak, U.; Siwek, B.; Kujawinska, M.; Sieminska-Lewandowska, A. Application of 3D digital image correlation in maintenance and process control in industry. Comput. Ind. 2013, 64, 1301–1315. [Google Scholar] [CrossRef]
- Maizuar, M.; Zhang, L.; Miramini, S.; Mendis, P.; Thompson, R.G. Detecting structural damage to bridge girders using radar interferometry and computational modelling. Struct. Control Health Monit. 2017, 24, 1–6. [Google Scholar] [CrossRef]
- Maizuar, M.; Lumantarna, E.; Sofi, M.; Oktavianus, Y.; Zhang, L.; Duffield, C.; Mendis, P. Dynamic behavior of Indonesian bridges using interferometric radar technology. Spec. Issue Electron. J. Struct. Eng. 2018, 18, 23–29. [Google Scholar]
- Maizuar, M.; Zhang, L.; Miramini, S.; Mendis, P.; Duffield, C. Structural health monitoring of bridges using advanced non-destructive testing technique. In ACMSM25; Lecture Notes in Civil Engineering Book Series; Springer: Singapore, 2020; Volume 37, pp. 963–972. [Google Scholar]
- Choi, I.; Kim, J.H.; Kim, D. A target-less vision-based displacement sensor based on image convex hull optimization for measuring the dynamic response of building structures. Sensors 2016, 16, 2085. [Google Scholar] [CrossRef] [PubMed]
- Viedma, M.V. Análisis de las direcciones de los vientos en Andalucía. Nimbus 1998, 1–2, 153–168. [Google Scholar]
- Tang, T.; Yang, D.-H.; Wang, L.; Zhang, J.-R.; Yi, T.-H. Design and application of structural health monitoring system in long-span cable-membrane structure. Earthq. Eng. Eng. Vib. 2019, 18, 461–474. [Google Scholar] [CrossRef]
- Takadate, Y.; Uematsu, Y. Design wind force coefficients for the main wind force resisting systems of open- and semi-open-type framed membrane structures with gable roofs. J. Wind Eng. Ind. Aerod. 2019, 184, 265–276. [Google Scholar] [CrossRef]
- Guo, J.; Zhu, C. Dynamic displacement measurement of large-scale structures based on the Lucas–Kanade template tracking algorithm. Mech. Syst. Signal Process. 2016, 66–67, 425–436. [Google Scholar] [CrossRef]
- Khoshelham, K. Accuracy analysis of kinect depth data. In Proceedings of the ISPRS Workshop—Laser Scanning 2011, Calgary, AB, Canada, 29–31 August 2011. [Google Scholar]
- Bovik, A. Handbook of Image and Video Processing; Elsevier: San Diego, CA, USA, 2010. [Google Scholar]
- Saravanan, C. Color image to grayscale image conversion. In Proceedings of the 2010 Second International Conference on Computer Engineering and Applications, Bali Island, Indonesia, 19–21 March 2010; pp. 196–199. [Google Scholar] [CrossRef]
- Grundland, M.; Dodgson, N.A. Decolorize: Fast, contrast enhancing, color to grayscale conversion. Pattern Recogn. 2007, 40, 2891–2896. [Google Scholar] [CrossRef]
- Kumar, T.; Verma, K. A theory based on conversion of RGB image to gray image. Int. J. Comput. Appl. 2010, 7, 7–10. [Google Scholar] [CrossRef]
- Cross, E.; Koo, K.; Brownjohn, J.; Worden, K. Long-term monitoring and data analysis of the Tamar Bridge. Mech. Syst. Signal Process. 2013, 35, 16–34. [Google Scholar] [CrossRef]
- Bayraktar, A.; Ashour, A.; Karadeniz, H.; Kursun, A.; Erdis, A. Monitored structural behavior of a long span cable-stayed bridge under environmental effects. Chall. J. Struct. Mech. 2018, 4, 137–152. [Google Scholar] [CrossRef]
- Yang, D.-H.; Yi, T.-H.; Li, H.-N.; Zhang, Y.-F. Monitoring and analysis of thermal effect on tower displacement in cable-stayed bridge. Measurement 2018, 115, 249–257. [Google Scholar] [CrossRef]
- Thalla, O.; Stiros, S.C. Wind-induced fatigue and asymmetric damage in a timber bridge. Sensors 2018, 18, 3867. [Google Scholar] [CrossRef]





















| Period | Start Date | Start Time | End Date | End Time | Total Hours | Camera Resolution |
|---|---|---|---|---|---|---|
| 1 | 02/12/2018 | 14:02:20 | 2/14/2018 | 8:05:04 | 42 h | 12 pixels/mm |
| 2 | 03/05/2018 | 16:02:05 | 03/07/2018 | 20:09:09 | 52 h | 12 pixels/mm |
| 3 | 03/12/2018 | 12:52:41 | 03/17/2018 | 21:30:53 | 128 h | 9 pixels/mm |
| Period | Column Force-Ti | Column Force-Wind | Column Force-Displacement | ||||||
|---|---|---|---|---|---|---|---|---|---|
| R-Squared | Coeff. Corr. | p-Value | R-Squared | Coeff. Corr. | p-Value | R-Squared | Coeff. Corr. | p-Value | |
| 2 | 87.91% | −0.937 | 0.000 | 0.017% | 0.013 | 0.57 | 22.01% | 0.469 | 0.0000 |
| 3a | 88.96% | −0.943 | 0.0000 | 19.26% | 0.439 | 0.0000 | 0.605% | −0.077 | 0.4002 |
| 3b | 16.55% | −0.407 | 0.0083 | 34.11% | −0.584 | 0.0001 | 0.033% | −0.018 | 0.9099 |
| 3c | 97.26% | −0.986 | 0.0000 | 64.51% | −0.803 | 0.0000 | 0.508% | 0.0713 | 0.4388 |
| 3d | 87.15% | −0.933 | 0.0000 | 9.12% | −0.302 | 0.058 | 87.08% | 0.933 | 0.0000 |
| 3e | 95.55% | −0.977 | 0.0000 | 57.66% | −0.759 | 0.0000 | 43.35% | −0.658 | 0.0000 |
© 2020 by the authors. Licensee MDPI, Basel, Switzerland. This article is an open access article distributed under the terms and conditions of the Creative Commons Attribution (CC BY) license (http://creativecommons.org/licenses/by/4.0/).
Share and Cite
Peña, A.; Peralta, M.; Marín, P. Design and Testing of a Structural Monitoring System in an Almería-Type Tensioned Structure Greenhouse. Sensors 2020, 20, 258. https://doi.org/10.3390/s20010258
Peña A, Peralta M, Marín P. Design and Testing of a Structural Monitoring System in an Almería-Type Tensioned Structure Greenhouse. Sensors. 2020; 20(1):258. https://doi.org/10.3390/s20010258
Chicago/Turabian StylePeña, Araceli, Mercedes Peralta, and Patricia Marín. 2020. "Design and Testing of a Structural Monitoring System in an Almería-Type Tensioned Structure Greenhouse" Sensors 20, no. 1: 258. https://doi.org/10.3390/s20010258
APA StylePeña, A., Peralta, M., & Marín, P. (2020). Design and Testing of a Structural Monitoring System in an Almería-Type Tensioned Structure Greenhouse. Sensors, 20(1), 258. https://doi.org/10.3390/s20010258

