Miniature Diamond-Based Fiber Optic Pressure Sensor with Dual Polymer-Ceramic Adhesives
Abstract
1. Introduction
2. Sensor Design and Fabrication
3. Optical Interrogation and Signal Processing
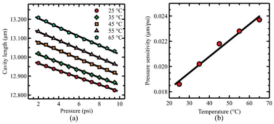
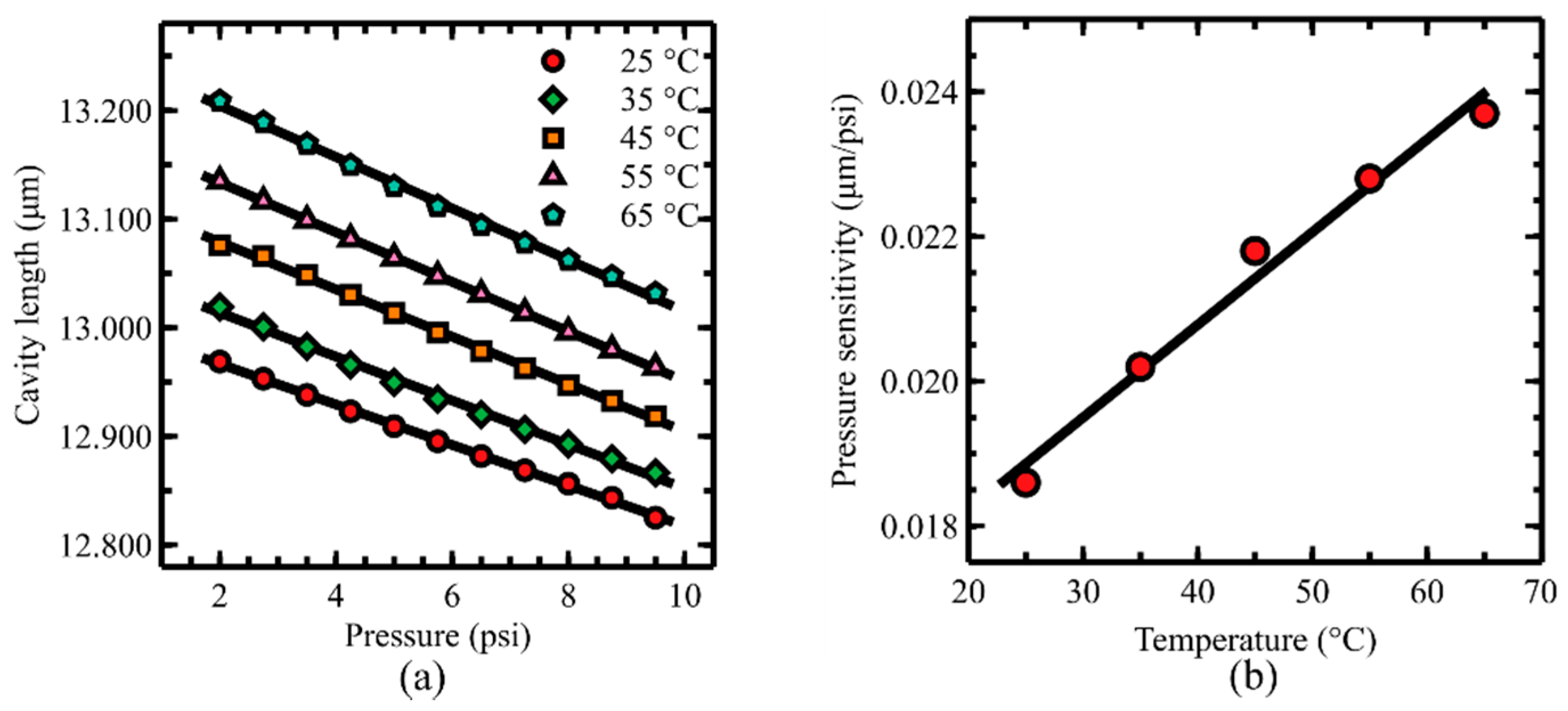
4. Discussion: Sensor Calibration and Testing
5. Conclusions
Author Contributions
Funding
Conflicts of Interest
References
- Rao, Y.J.; Jackson, D.A. Recent progress in fibre optic low-coherence interferometry. Meas. Sci. Technol. 1996, 7, 981–999. [Google Scholar] [CrossRef]
- Islam, M.R.; Ali, M.M.; Lai, M.-H.; Lim, K.-S.; Ahmad, H. Chronology of Fabry-Perot Interferometer Fiber-Optic Sensors and Their Applications: A Review. Sensors 2014, 14, 7451–7488. [Google Scholar] [CrossRef] [PubMed]
- Jerman, J.H.; Clift, D.J.; Mallinson, S.R. A Miniature Fabry-Perot Interferometer with a Corrugated Silicon Diaphragm Support. In Proceedings of the IEEE 4th Technical Digest on Solid-State Sensor and Actuator Workshop, Hilton Head Island, SC, USA, 4–7 June 1990; pp. 140–144. [Google Scholar]
- Abeysinghe, D.C.; Dasgupta, S.; Jackson, H.E.; Boyd, J.T. Novel MEMS Pressure and Temperature Sensors Fabricated on Optical Fibers. J. Micromech. Microeng. 2002, 229, 229–235. [Google Scholar] [CrossRef]
- Wang, Y.; Wang, D.N.; Wang, C.; Hu, T. Compressible fiber optic micro-Fabry-Pérot cavity with ultra-high pressure sensitivity. Opt. Express 2013, 21, 14084. [Google Scholar] [CrossRef]
- Xu, B.; Wang, C.; Wang, D.N.; Liu, Y.; Li, Y. Fiber-tip gas pressure sensor based on dual capillaries. Opt. Express 2015, 23, 23484. [Google Scholar] [CrossRef]
- Melamud, R.; Davenport, A.A.; Hill, G.C.; Chan, I.H.; Declercq, F.; Hartwell, P.G.; Pruitt, B.L.; De Microtechnique, S.; Polytechnique, E.; De Lausanne, F. Development of an SU-8 Fabry-Perot blood pressure sensor. In Proceedings of the 18th IEEE International Conference on Micro Electro Mechanical Systems, Miami Beach, FL, USA, 30 January–3 February 2005; pp. 810–813. [Google Scholar]
- Totsu, K.; Haga, Y.; Esashi, M. Ultra-miniature fiber-optic pressure sensor using white light interferometry. J. Micromech. Microeng. 2005, 15, 71–75. [Google Scholar] [CrossRef]
- Xu, J.; Wang, X.; Cooper, K.L.; Wang, A. Miniature all-silica fiber optic pressure and acoustic sensors. Opt. Lett. 2005, 30, 3269–3271. [Google Scholar] [CrossRef] [PubMed]
- Cibula, E.; Donlagić, D. Miniature fiber-optic pressure sensor with a polymer diaphragm. Appl. Opt. 2005, 44, 2736–2744. [Google Scholar] [CrossRef] [PubMed]
- Wang, W.; Wu, N.; Tian, Y.; Niezrecki, C.; Wang, X. Miniature all-silica optical fiber pressure sensor with an ultrathin uniform diaphragm. Opt. Express 2010, 18, 9006–9014. [Google Scholar] [CrossRef]
- Bae, H.; Dunlap, L.; Wong, J.; Yu, M. Miniature Temperature Compensated Fabry-Perot Pressure Sensors Created with Self-Aligned Polymer Photolithography Process. IEEE Sens. J. 2012, 12, 1566–1573. [Google Scholar] [CrossRef]
- Ma, J.; Jin, W.; Ho, H.L.; Dai, J.Y. High-sensitivity fiber-tip pressure sensor with graphene diaphragm. Opt. Lett. 2012, 37, 2493–2495. [Google Scholar] [CrossRef]
- Guo, F.; Fink, T.; Han, M.; Koester, L.; Turner, J.; Huang, J. Fabry–Perot interferometric fiber-tip sensor based on a thin silver diaphragm. Opt. Lett. 2012, 37, 1505–1507. [Google Scholar] [CrossRef]
- Eom, J.; Park, C.; Lee, B.H.; Lee, J.; Kwon, I.; Chung, E. Fiber optic Fabry-Perot pressure sensor based on lensed fiber and polymeric diaphragm. Sens. Actuators A Phys. 2015, 225, 25–32. [Google Scholar] [CrossRef]
- Sun, B.; Wang, Y.; Qu, J.; Liao, C.; Yin, G.; He, J.; Zhou, J.; Tang, J.; Liu, S.; Li, Z.; et al. Simultaneous measurement of pressure and temperature by employing Fabry-Perot interferometer based on pendant polymer droplet. Opt. Express 2015, 23, 1906. [Google Scholar] [CrossRef]
- Donlagic, D.; Cibula, E. All-fiber high-sensitivity pressure sensor with SiO2 diaphragm. Opt. Lett. 2005, 30, 2071–2073. [Google Scholar] [CrossRef]
- Zhu, Y.; Wang, A. Miniature fiber-optic pressure sensor. IEEE Photonics Technol. Lett. 2005, 17, 447–449. [Google Scholar]
- Ma, J.; Ju, J.; Jin, L.; Jin, W. A Compact Fiber-Tip Micro-Cavity Sensor for High Pressure Measurement. IEEE Photonics Technol. Lett. 2011, 23, 1561–1563. [Google Scholar] [CrossRef]
- Atkins, R.A.; Gardner, J.H.; Gibler, W.N.; Lee, C.E.; Oakland, M.D.; Spears, M.O.; Swenson, V.P.; Taylor, H.F.; McCoy, J.J.; Beshouri, G. Fiber-optic pressure sensors for internal combustion engines. Appl. Opt. 1994, 33, 1315–1320. [Google Scholar] [CrossRef]
- Olson, E.S. Observing middle and inner ear mechanics with novel intracochlear pressure sensors. J. Acoust. Soc. Am. 1998, 103, 3445–3463. [Google Scholar] [CrossRef]
- MacPherson, W.N.; Kilpatrick, J.M.; Barton, J.S.; Jones, J.D.C. Miniature fiber optic pressure sensor for turbomachinery applications. Rev. Sci. Instrum. 1999, 70, 1868–1874. [Google Scholar] [CrossRef]
- Nesson, S.; Yu, M.; Zhang, X.; Hsieh, A.H. Miniature fiber optic pressure sensor with composite polymer-metal diaphragm for intradiscal pressure measurements. J. Biomed. Opt. 2008, 13, 044040. [Google Scholar] [CrossRef] [PubMed]
- Xu, F.; Ren, D.; Shi, X.; Li, C.; Lu, W.; Lu, L.; Lu, L.; Yu, B. High Sensitivity Fabry-Perot Interferometric Pressure Sensor Based on a Nano-thick Silver Diaphragm. Opt. Lett. 2012, 37, 133–135. [Google Scholar] [CrossRef] [PubMed]
- Klein, C.A.; Cardinale, G.F. Young’s modulus and Poisson’s ratio of CVD diamond. Diam. Relat. Mater. 1993, 2, 918–923. [Google Scholar] [CrossRef]
- Twitchen, D.J.; Pickles, C.S.J.; Coe, S.E.; Sussmann, R.S.; Hall, C.E. Thermal conductivity measurements on CVD diamond. Diam. Relat. Mater. 2001, 10, 731–735. [Google Scholar] [CrossRef]
- Aharonovich, I.; Greentree, A.D.; Prawer, S. Diamond photonics. Nat. Photonics 2011, 5, 397–405. [Google Scholar] [CrossRef]
- Wur, D.R.; Davidson, J.L.; Kang, W.P.; Kinser, D.L. Polycrystalline diamond pressure sensor. J. Microelectromech. Syst. 1995, 4, 34–41. [Google Scholar] [CrossRef]
- Zaitsev, A.M.; Burchard, M.; Meijer, J.; Stephan, A.; Burchard, B.; Fahrner, W.R.; Maresch, W. Diamond pressure and temperature sensors for high-pressure high-temperature applications. Phys. Status Solidi A Banner 2001, 185, 59–64. [Google Scholar] [CrossRef]
- Werner, M.; Obermeier, E. High-temperature pressure sensor using p-type diamond piezoresistors. Diamond Relat. Mater. 1995, 4, 873–876. [Google Scholar]
- Davidson, J.L.; Kang, W.P.; Gurbuz, Y.; Holmes, K.C.; Davis, L.G.; Wisitsora-at, A.; Kerns, D.V.; Eidson, R.L.; Henderson, T. Diamond as an active sensor material. Diamond Relat. Mater. 1999, 8, 1741–1747. [Google Scholar] [CrossRef]
- Yamamoto, A.; Nawachi, N.; Tsutsumoto, T.; Terayama, A. Pressure sensor using p-type polycrystalline diamond piezoresistors. Diamond Relat. Mater. 2005, 14, 657–660. [Google Scholar] [CrossRef]
- Davidson, J.L.; Ramesham, R.; Ellis, C. Synthetic Diamond Micromechanical Membranes, Cantilever Beams, and Bridges. J. Electrochem. Soc. 1990, 137, 3206. [Google Scholar] [CrossRef]
- John, P.; Polwart, N.; Troupe, C.E.; Wilson, J.I.B. The oxidation of (100) textured diamond. Diamond Relat. Mater. 2002, 11, 861–866. [Google Scholar] [CrossRef]
- Bae, H.; Yun, D.; Liu, H.; Olson, D.A.; Yu, M. Hybrid miniature fabry-perot sensor with dual optical cavities for simultaneous pressure and temperature measurements. J. Lightwave Technol. 2014, 32, 1585–1593. [Google Scholar] [CrossRef]
- Qi, B.; Pickrell, G.R.; Xu, J.C.; Zhang, P.; Duan, Y.H.; Peng, W.; Huang, Z.Y.; Huo, W.; Xiao, H.; May, R.G.; et al. Novel data processing techniques for dispersive white light interferometer. Opt. Eng. 2003, 42, 3165–3171. [Google Scholar] [CrossRef]
- Vargas-Rodriguez, E.; Guzman-Chavez, A.D.; Garcia-Ramirez, M.A. Tunable Optical Filter Based on Two Thermal Sensitive Layers. IEEE Photonics Technol. Lett. 2018, 30, 1776–1779. [Google Scholar] [CrossRef]
- Bae, H.; Yu, M. Miniature Fabry-Perot Pressure Sensor Created by Using UV-Molding Process with an Optical Fiber Based Mold. Opt. Express 2012, 20, 14573–14583. [Google Scholar] [CrossRef] [PubMed]







© 2019 by the authors. Licensee MDPI, Basel, Switzerland. This article is an open access article distributed under the terms and conditions of the Creative Commons Attribution (CC BY) license (http://creativecommons.org/licenses/by/4.0/).
Share and Cite
Bae, H.; Giri, A.; Kolawole, O.; Azimi, A.; Jackson, A.; Harris, G. Miniature Diamond-Based Fiber Optic Pressure Sensor with Dual Polymer-Ceramic Adhesives. Sensors 2019, 19, 2202. https://doi.org/10.3390/s19092202
Bae H, Giri A, Kolawole O, Azimi A, Jackson A, Harris G. Miniature Diamond-Based Fiber Optic Pressure Sensor with Dual Polymer-Ceramic Adhesives. Sensors. 2019; 19(9):2202. https://doi.org/10.3390/s19092202
Chicago/Turabian StyleBae, Hyungdae, Ayush Giri, Oluwafikunwa Kolawole, Amin Azimi, Aaron Jackson, and Gary Harris. 2019. "Miniature Diamond-Based Fiber Optic Pressure Sensor with Dual Polymer-Ceramic Adhesives" Sensors 19, no. 9: 2202. https://doi.org/10.3390/s19092202
APA StyleBae, H., Giri, A., Kolawole, O., Azimi, A., Jackson, A., & Harris, G. (2019). Miniature Diamond-Based Fiber Optic Pressure Sensor with Dual Polymer-Ceramic Adhesives. Sensors, 19(9), 2202. https://doi.org/10.3390/s19092202
