Finite-Time Disturbance Observer for Robotic Manipulators
Abstract
1. Introduction
2. Preliminaries
2.1. Robot Dynamic Model
2.2. Disturbance Observer Using Generalized Momentum
2.3. Finite-Time Stability
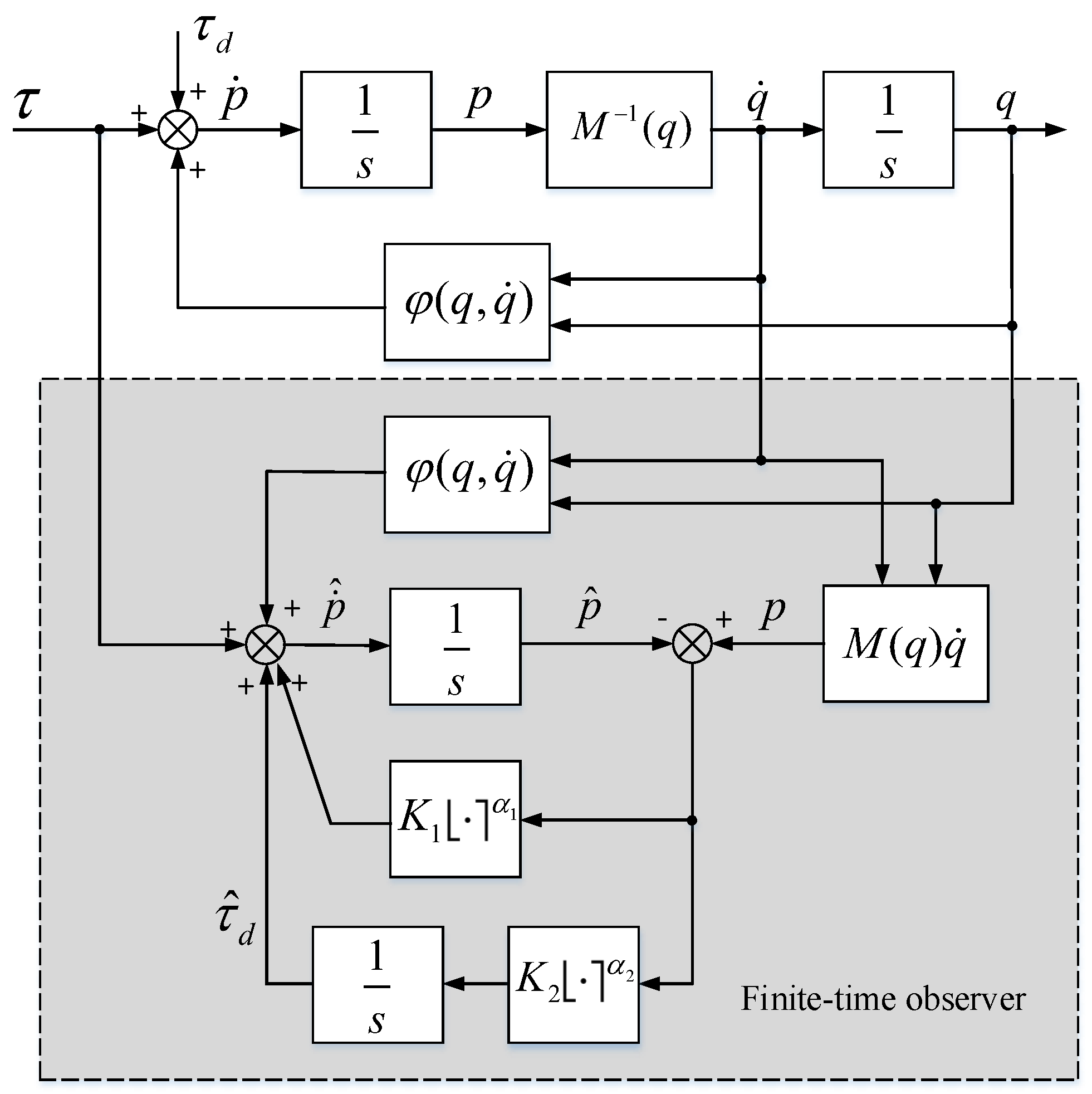
3. Finite-Time Observer of Robotic Disturbance
3.1. Finite-Time Observer Design
3.2. Stability and Convergence of FTO
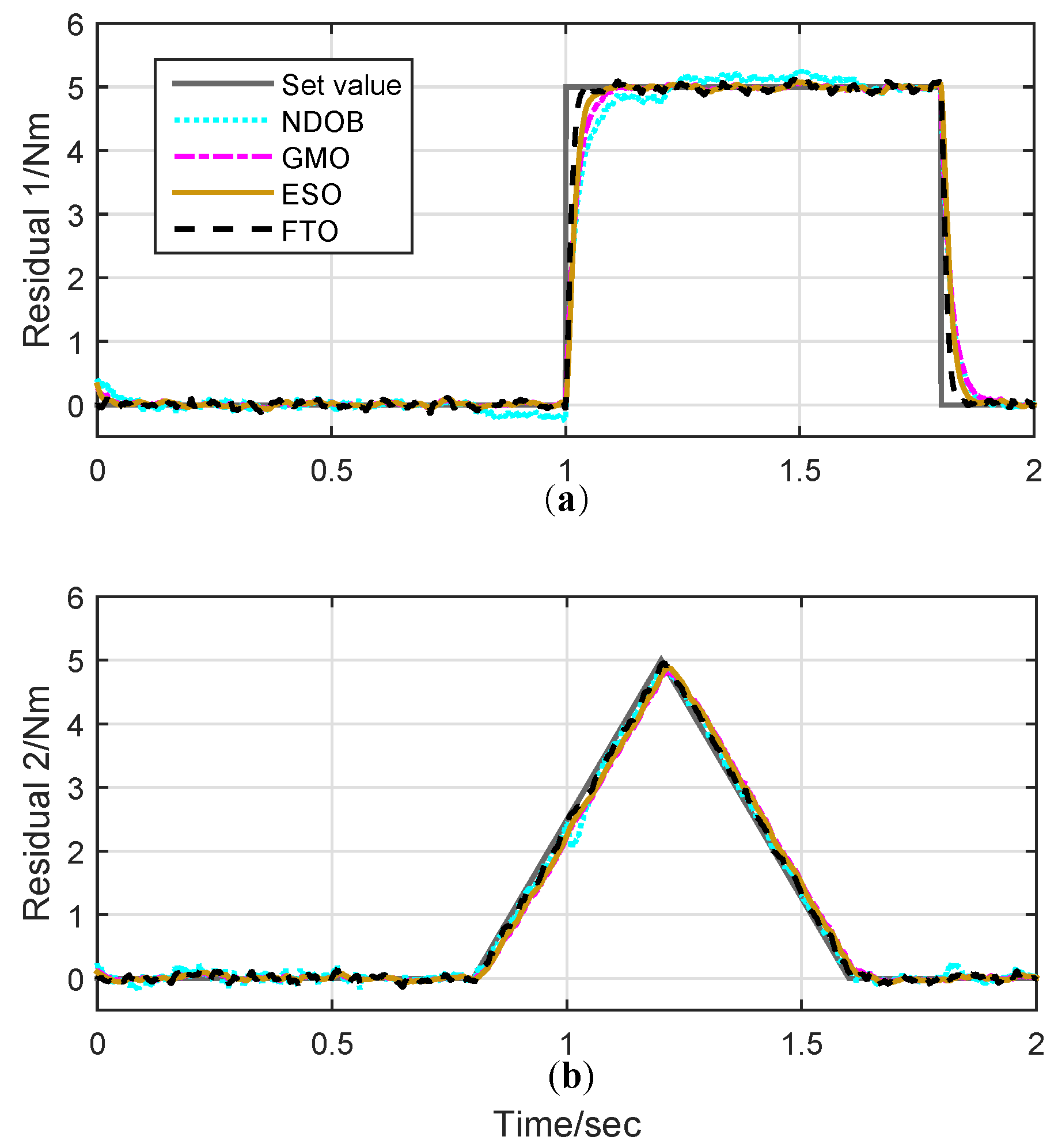
4. Simulation Results
5. Conclusions
Author Contributions
Funding
Conflicts of Interest
References
- Pi, Y.; Wang, X. Observer-based cascade control of a 6-DOF parallel hydraulic manipulator in joint space coordinate. Mechatronics 2010, 20, 648–655. [Google Scholar] [CrossRef]
 - Sahabi, M.E.; Li, G.; Wang, X.; Li, S. Disturbance Compensation Based Finite-Time Tracking Control of Rigid Manipulator. Math. Probl. Eng. 2016, 2016, 2034795. [Google Scholar] [CrossRef]
 - Chen, W.H.; Yang, J.; Guo, L.; Li, S. Disturbance-observer-based control and related methods-An overview. IEEE Trans. Ind. Electron. 2016, 63, 1083–1095. [Google Scholar] [CrossRef]
 - Bona, B.; Indri, M. Friction compensation in robotics: An overview. In Proceedings of the 44th IEEE Conference on Decision and Control, Seville, Spain, 12–15 December 2005; pp. 4360–4367. [Google Scholar]
 - Chen, W.H.; Ballance, D.J.; Gawthrop, P.J.; O’Reilly, J. A nonlinear disturbance observer for robotic manipulators. IEEE Trans. Ind. Electron. 2000, 47, 932–938. [Google Scholar] [CrossRef]
 - Magrini, E.; Flacco, F.; De Luca, A. Control of generalized contact motion and force in physical human-robot interaction. In Proceedings of the 2015 IEEE International Conference on Robotics and Automation (ICRA), Seattle, WA, USA, 26–30 May 2015; pp. 2298–2304. [Google Scholar]
 - Magrini, E.; De Luca, A. Hybrid force/velocity control for physical human-robot collaboration tasks. In Proceedings of the 2016 IEEE/RSJ International Conference on Intelligent Robots and Systems (IROS), Daejeon, Korea, 9–14 October 2016; pp. 857–863. [Google Scholar]
 - Gaz, C.; Magrini, E.; De Luca, A. A model-based residual approach for human-robot collaboration during manual polishing operations. Mechatronics 2018, 55, 234–247. [Google Scholar] [CrossRef]
 - De Luca, A.; Mattone, R. Actuator failure detection and isolation using generalized momenta. In Proceedings of the IEEE International Conference on Robotics and Automation, Taipei, Taiwan, 14–19 September 2003; Volume 1, pp. 634–639. [Google Scholar]
 - Ren, T.; Dong, Y.; Wu, D.; Chen, K. Collision detection and identification for robot manipulators based on extended state observer. Control Eng. Pract. 2018, 79, 144–153. [Google Scholar] [CrossRef]
 - Haddadin, S.; De Luca, A.; Albu-Schäffer, A. Robot collisions: A survey on detection, isolation, and identification. IEEE Trans. Robot. 2017, 33, 1292–1312. [Google Scholar] [CrossRef]
 - Cho, C.N.; Kim, J.H.; Kim, Y.L.; Song, J.B.; Kyung, J.H. Collision detection algorithm to distinguish between intended contact and unexpected collision. Adv. Robot. 2012, 26, 1825–1840. [Google Scholar] [CrossRef]
 - Mohammadi, A.; Tavakoli, M.; Marquez, H.J.; Hashemzadeh, F. Nonlinear disturbance observer design for robotic manipulators. Control Eng. Pract. 2013, 21, 253–267. [Google Scholar] [CrossRef]
 - Nikoobin, A.; Haghighi, R. Lyapunov-based nonlinear disturbance observer for serial n-link robot manipulators. J. Intell. Robot. Syst. 2009, 55, 135–153. [Google Scholar] [CrossRef]
 - Menard, T.; Moulay, E.; Perruquetti, W. A global high-gain finite-time observer. IEEE Trans. Autom. Control 2010, 55, 1500–1506. [Google Scholar] [CrossRef]
 - Lopez-Ramirez, F.; Polyakov, A.; Efimov, D.; Perruquetti, W. Finite-time and fixed-time observer design: Implicit Lyapunov function approach. Automatica 2018, 87, 52–60. [Google Scholar] [CrossRef]
 - Menard, T.; Moulay, E.; Perruquetti, W. Fixed-time observer with simple gains for uncertain systems. Automatica 2017, 81, 438–446. [Google Scholar] [CrossRef]
 - Shen, Y.; Xia, X. Semi-global finite-time observers for nonlinear systems. Automatica 2008, 44, 3152–3156. [Google Scholar] [CrossRef]
 - Shtessel, Y.B.; Shkolnikov, I.A.; Levant, A. Smooth second-order sliding modes: Missile guidance application. Automatica 2007, 43, 1470–1476. [Google Scholar] [CrossRef]
 - Perruquetti, W.; Floquet, T.; Moulay, E. Finite-time observers: Application to secure communication. IEEE Trans. Autom. Control 2008, 53, 356–360. [Google Scholar] [CrossRef]
 - Siciliano, B.; Sciavicco, L.; Villani, L.; Oriolo, G. Robotics: Modelling, Planning and Control; Springer Science & Business Media: Berlin/Heidelberg, Germany, 2010. [Google Scholar]
 - Bhat, S.P.; Bernstein, D.S. Finite-time stability of continuous autonomous systems. SIAM J. Control Optim. 2000, 38, 751–766. [Google Scholar] [CrossRef]
 - Bhat, S.P.; Bernstein, D.S. Geometric homogeneity with applications to finite-time stability. Math. Control. Signals Syst. 2005, 17, 101–127. [Google Scholar] [CrossRef]
 - Bacciotti, A.; Rosier, L. Liapunov Functions and Stability in Control Theory; Springer Science & Business Media: Berlin/Heidelberg, Germany, 2006. [Google Scholar]
 




| Method | RMSE1 (Nm) | RMSE2 (Nm) | (μs) | 
|---|---|---|---|
| NDOB | 0.5361 | 0.1204 | 13.50 | 
| GMO | 0.5086 | 0.1634 | 5.79 | 
| ESO | 0.4802 | 0.1495 | 7.72 | 
| FTO | 0.4072 | 0.0805 | 9.64 | 
© 2019 by the authors. Licensee MDPI, Basel, Switzerland. This article is an open access article distributed under the terms and conditions of the Creative Commons Attribution (CC BY) license (http://creativecommons.org/licenses/by/4.0/).
Share and Cite
Cao, P.; Gan, Y.; Dai, X. Finite-Time Disturbance Observer for Robotic Manipulators. Sensors 2019, 19, 1943. https://doi.org/10.3390/s19081943
Cao P, Gan Y, Dai X. Finite-Time Disturbance Observer for Robotic Manipulators. Sensors. 2019; 19(8):1943. https://doi.org/10.3390/s19081943
Chicago/Turabian StyleCao, Pengfei, Yahui Gan, and Xianzhong Dai. 2019. "Finite-Time Disturbance Observer for Robotic Manipulators" Sensors 19, no. 8: 1943. https://doi.org/10.3390/s19081943
APA StyleCao, P., Gan, Y., & Dai, X. (2019). Finite-Time Disturbance Observer for Robotic Manipulators. Sensors, 19(8), 1943. https://doi.org/10.3390/s19081943
        
