Joint Design of Transmit Waveforms for Object Tracking in Coexisting Multimodal Sensing Systems
Abstract
1. Introduction
2. Orthogonal Waveforms with Nonlinear Phase Function
3. Spectrum Sharing Radar and Communications Systems
3.1. Common Transmit Waveform of Coexisting Systems
3.2. Pulse–Doppler Radar Receiver
3.2.1. Radar Received Waveform
3.2.2. Radar Receiver Processing
3.3. Wireless Multiuser Communications Receiver
3.3.1. Communications Received Waveforms
3.3.2. Communications Receiver Processing
4. Waveform-Dependent Performance Optimization Methods
4.1. MAI Mitigation in MU Communications Systems
4.2. Approach I: Coexistence Waveform Design Approach by Minimizing System Interference
4.2.1. Approach I-A: Radar Has Knowledge of Symbol Duration of Communications Users
4.2.2. Approach I-B: Radar Has Knowledge of Communications User Parameter Set Ψc
4.3. Approach II: Coexistence Waveform Design Approach by Multiobjective Optimization
5. Simulations Results
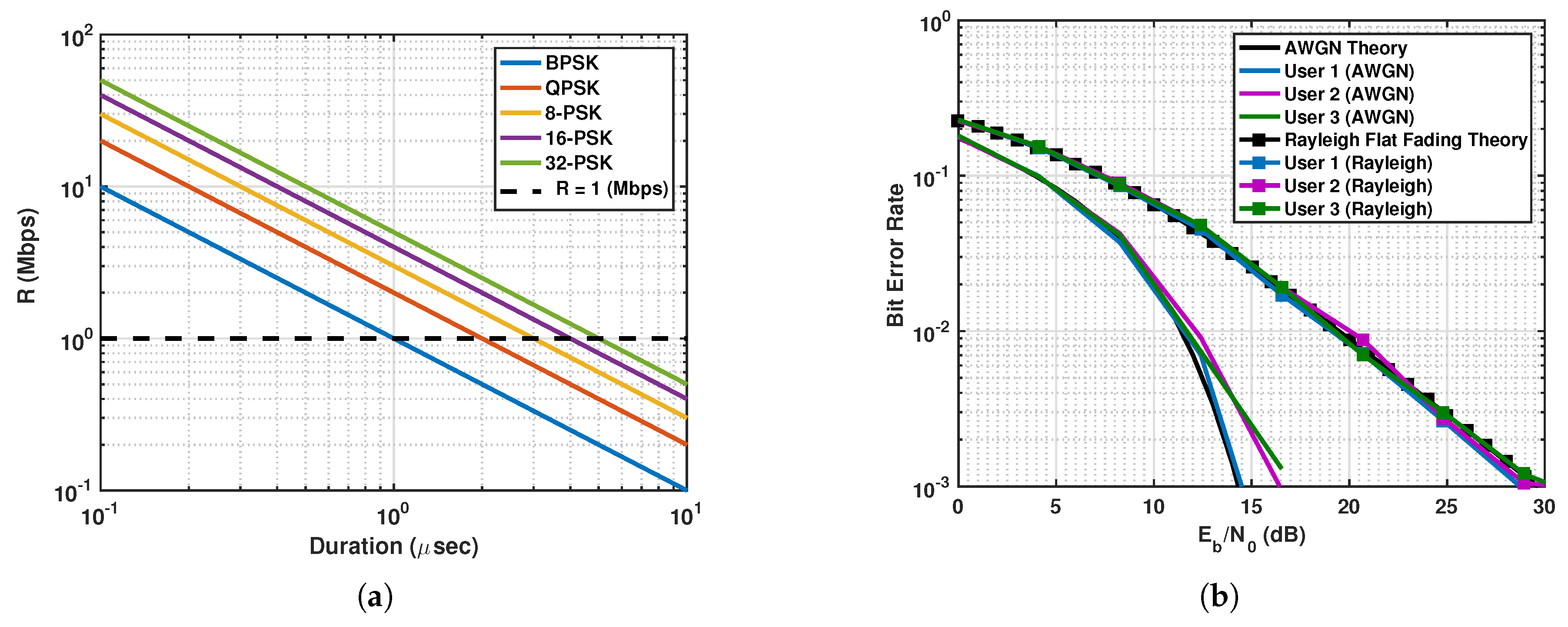
5.1. Approach I-A Simulation
5.2. Approach I-B Simulation
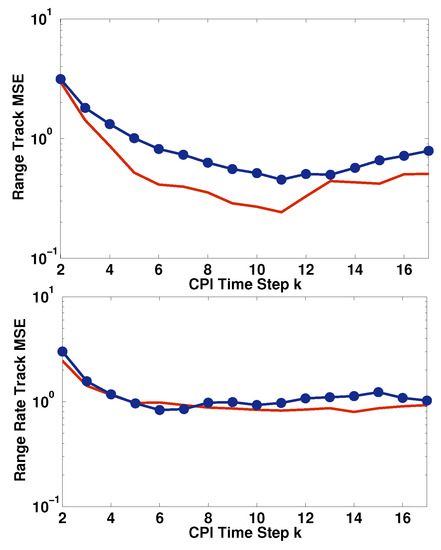
5.3. Approach II Simulation
6. Conclusions
Author Contributions
Funding
Acknowledgments
Conflicts of Interest
References
- Mahler, R.P.S. Statistical Multisource-Multitarget Information Fusion; Artech House: Norwood, MA, USA, 2007. [Google Scholar]
- Vo, B.T.; Vo, B.N. Labeled random finite sets and multi-object conjugate priors. IEEE Trans. Signal Process. 2013, 61, 3460–3475. [Google Scholar] [CrossRef]
- Reuter, S.; Vo, B.T.; Vo, B.N.; Dietmayer, K. The labeled multi-Bernoulli filter. IEEE Trans. Signal Process. 2014, 62, 3246–3260. [Google Scholar]
- Vo, B.N.; Vo, B.T.; Hoang, H.G. An efficient implementation of the generalized labeled multi-Bernoulli filter. IEEE Trans. Signal Process. 2017, 65, 1975–1987. [Google Scholar] [CrossRef]
- Wang, X.; Li, T.; Sun, S.; Corchado, J.M. A survey of recent advances in particle filters and remaining challenges for multitarget tracking. Sensors 2017, 17, 12. [Google Scholar] [CrossRef] [PubMed]
- Moraffah, B.; Papandreou-Suppappola, A. Dependent Dirichlet process modeling and identity learning for multiple object tracking. In Proceedings of the 2018 52nd Asilomar Conference on Signals, Systems, and Computers, Pacific Grove, CA, USA, 28–31 October 2018. [Google Scholar]
- Moraffah, B.; Papandreou-Suppappola, A. Random infinite tree and dependent Poisson diffusion process for nonparametric Bayesian modeling in multiple object tracking. In Proceedings of the IEEE International Conference on Acoustics, Speech and Signal Processing, Brighton, UK, 12–17 May 2019. [Google Scholar]
- Bhattarai, S.; Park, J.M.J.; Gao, B.; Bian, K.; Lehr, W. An overview of dynamic spectrum sharing: Ongoing initiatives, challenges, and a roadmap for future research. IEEE Trans. Cogn. Commun. Netw. 2016, 2, 110–128. [Google Scholar] [CrossRef]
- Tehrani, R.H.; Vahid, S.; Triantafyllopoulou, D.; Lee, H.; Moessner, K. Licensed spectrum sharing schemes for mobile operators: A survey and outlook. IEEE Commun. Surv. Tutor. 2016, 18, 2591–2623. [Google Scholar] [CrossRef]
- Saltikoff, E.; Cho, J.Y.N.; Tristant, P.; Huuskonen, A.; Allmon, L.; Cook, R.; Becker, E.; Joe, P. The threat to weather radars by wireless technology. Bull. Am. Meteorol. Soc. 2016, 97, 1159–1167. [Google Scholar] [CrossRef]
- Raymond, S.S.; Abubakari, A.; Jo, H.S.; Hong, H.J.; Son, H.K. Compatibility between LTE and airport surveillance radar in 2700–2900 MHz radar bands. In Proceedings of the International Conference on Information and Communication Technology Convergence, Jeju Island, Korea, 28–30 October 2015; pp. 1037–1042. [Google Scholar]
- Spencer, M.; Ulaby, F. Spectrum issues faced by active remote Sensing: Radio frequency interference and operational restrictions. IEEE Geosci. Remote Sens. Mag. 2016, 4, 40–45. [Google Scholar] [CrossRef]
- Guerci, J. Cognitive Radar: The Knowledge-Aided Fully Adaptive Approach; Artech House: Norwood, MA, USA, 2010. [Google Scholar]
- Shared Spectrum Access for Radar and Communications (SSPARC). Defense Advanced Research Projects Agency. Available online: http://www.darpa.mil/program/shared-spectrum-access-for-radar-and-communications (accessed on 15 February 2019).
- Hassanien, A.; Amin, M.G.; Zhang, Y.D.; Ahmad, F. Signaling strategies for dual-function radar communications: An overview. IEEE Aerosp. Electron. Syst. Mag. 2016, 31, 36–45. [Google Scholar] [CrossRef]
- Labib, M.; Marojevic, V.; Martone, A.F.; Reed, J.H.; Zaghloui, A.I. Coexistence between communications and radar systems: A survey. URSI Radio Sci. Bull. 2017, 2017, 74–82. [Google Scholar]
- Kota, J.; Kovvali, N.; Bliss, D.W.; Papandreou-Suppappola, A. Waveform selection for range and Doppler estimation via Barankin bound signal-to-noise ratio threshold. In Proceedings of the IEEE International Conference on Acoustic, Speech, and Signal Processing, Florence, Italy, 4–9 May 2014; pp. 4658–4662. [Google Scholar]
- Aubry, A.; De Maio, A.; Huang, Y.; Piezzo, M.; Farina, A. A new radar waveform design algorithm with improved feasibility for spectral coexistence. IEEE Trans. Aerosp. Electron. Syst. 2015, 51, 1029–1038. [Google Scholar] [CrossRef]
- Metcalf, J.G.; Sahin, C.; Blunt, S.D.; Rangaswamy, M. Analysis of symbol-design strategies for intrapulse radar-embedded communications. IEEE Trans. Aerosp. Electron. Syst. 2015, 51, 2914–2931. [Google Scholar] [CrossRef]
- Li, B.; Petropulu, A.P.; Trappe, W. Optimum co-design for spectrum sharing between matrix completion based MIMO radars and a MIMO communication system. IEEE Trans. Signal Process. 2016, 64, 4562–4575. [Google Scholar] [CrossRef]
- Kota, J.S. Transmit Waveform Design for Coexisting Radar and Communications Systems. Ph.D. Thesis, Arizona State University, Tempe, AZ, USA, 2016. [Google Scholar]
- Garmatyuk, D.; Schuerger, J.; Kauffman, K. Multifunctional software-defined radar sensor and data communication system. IEEE Sens. J. 2011, 11, 99–106. [Google Scholar] [CrossRef]
- Sturm, C.; Wiesbeck, W. Waveform design and signal processing aspects for fusion of wireless communications and radar sensing. Proc. IEEE 2011, 99, 1236–1259. [Google Scholar] [CrossRef]
- Chen, K.; Liu, Y.; Zhang, W. Study on integrated radar-communication signal of OFDM-LFM based on FRFT. In Proceedings of the IET International Radar Conference, Hangzhou, China, 14–16 October 2015; pp. 1–6. [Google Scholar]
- Zhao, Z.; Jiang, D. A novel integrated radar and communication waveform based on LFM signal. In Proceedings of the International Conference on Electronics Information and Emergency, Beijing, China, 14–16 May 2015; pp. 219–223. [Google Scholar]
- Kota, J.S.; Jacyna, G.M.; Papandreou-Suppappola, A. Nonstationary signal design for coexisting radar and communications systems. In Proceedings of the Asilomar Conference on Signals, Systems and Computers, Pacific Grove, CA, USA, 6–9 November 2016; pp. 549–553. [Google Scholar]
- Guerci, J.R.; Guerci, R.M.; Lackpour, A.; Moskowitz, D. Joint design and operation of shared spectrum access for radar and communications. In Proceedings of the IEEE Radar Conference, Arlington, VA, USA, 10–15 May 2015; pp. 761–766. [Google Scholar]
- Bică, M.; Huang, K.; Koivunen, V.; Mitra, U. Mutual information based radar waveform design for joint radar and cellular communication systems. In Proceedings of the IEEE International Conference on Acoustics, Speech and Signal Processing, Shanghai, China, 20–25 March 2016; pp. 3671–3675. [Google Scholar]
- Gattani, V.S.; Kota, J.S.; Papandreou-Suppappola, A. Time-frequency separation of matched-waveform signatures of coexisting multimodal systems. In Proceedings of the Asilomar Conference on Signals, Systems, and Computers, Pacific Grove, CA, USA, 28–31 October 2018. [Google Scholar]
- Domenicali, D.; Giancola, G.; Di Benedetto, M.G. Fluid coding and coexistence in ultra wide band networks. Mob. Netw. Appl. 2006, 11, 501–508. [Google Scholar] [CrossRef]
- Pinto, P.C.; Giorgetti, A.; Win, M.Z.; Chiani, M. A stochastic geometry approach to coexistence in heterogeneous wireless networks. IEEE J. Sel. Areas Commun. 2009, 27, 1268–1282. [Google Scholar]
- Chiani, M.; Giorgetti, A. Coexistence between UWB and narrow-band wireless communication systems. Proc. IEEE 2009, 97, 231–254. [Google Scholar] [CrossRef]
- Giorgetti, A.; Chiani, M.; Win, M. The effect of narrowband interference on wideband wireless communication systems. IEEE Tran. Commun. 2005, 53, 2139–2149. [Google Scholar] [CrossRef]
- Bartoletti, S.; Conti, A.; Win, M. Device-free counting via wideband signals. IEEE J. Sel. Areas Commun. 2017, 35, 1163–1174. [Google Scholar] [CrossRef]
- Win, M.Z.; Meyer, F.; Liu, Z.; Dai, W.; Bartoletti, S.; Conti, A. Efficient multisensor localization for the internet of things: Exploring a new class of scalable localization slgorithms. IEEE Signal Process. Mag. 2018, 35, 153–167. [Google Scholar] [CrossRef]
- Chiani, M.; Giorgetti, A.; Paolini, E. Sensor radar for object tracking. Proc. IEEE 2018, 106, 1022–1041. [Google Scholar] [CrossRef]
- Giorgetti, A. Interference mitigation technique by sequence design in UWB cognitive radio. In Proceedings of the International Symposium on Applied Sciences in Biomedical and Communication Technologies, Rome, Italy, 7–10 November 2010; pp. 1–5. [Google Scholar]
- Papandreou-Suppappola, A. Time-frequency processing: Tutorial on principles and practice. In Applications in Time-Frequency Signal Processing; CRC Press: Paco Raton, FL, USA, 2003; pp. 1–84. [Google Scholar]
- Van Trees, H.L. Detection, Estimation, and Modulation Theory, Radar-Sonar Signal Processing and Gaussian Signals in Noise; Wiley-Interscience: New York, NY, USA, 2001; Volume 3. [Google Scholar]
- Shen, H.; Papandreou-Suppappola, A. Diversity and channel estimation using time-varying signals and time-frequency techniques. IEEE Trans. Signal Process. 2006, 54, 3400–3413. [Google Scholar] [CrossRef]
- Bertsimas, D.; Tsitsiklis, J. Simulated annealing. Stat. Sci. 1993, 8, 10–15. [Google Scholar] [CrossRef]
- Boyd, S.; Vandenberghe, L. Convex Optimization; Cambridge University Press: Cambridge, UK, 2004. [Google Scholar]
- Ngatchou, P.; Zarei, A.; El-Sharkawi, A. Pareto multi objective optimization. In Proceedings of the International Conference on Intelligent Systems Application to Power Systems, Arlington, VA, USA, 6–10 November 2005; pp. 84–91. [Google Scholar]












© 2019 by the authors. Licensee MDPI, Basel, Switzerland. This article is an open access article distributed under the terms and conditions of the Creative Commons Attribution (CC BY) license (http://creativecommons.org/licenses/by/4.0/).
Share and Cite
Kota, J.S.; Papandreou-Suppappola, A. Joint Design of Transmit Waveforms for Object Tracking in Coexisting Multimodal Sensing Systems. Sensors 2019, 19, 1753. https://doi.org/10.3390/s19081753
Kota JS, Papandreou-Suppappola A. Joint Design of Transmit Waveforms for Object Tracking in Coexisting Multimodal Sensing Systems. Sensors. 2019; 19(8):1753. https://doi.org/10.3390/s19081753
Chicago/Turabian StyleKota, John S., and Antonia Papandreou-Suppappola. 2019. "Joint Design of Transmit Waveforms for Object Tracking in Coexisting Multimodal Sensing Systems" Sensors 19, no. 8: 1753. https://doi.org/10.3390/s19081753
APA StyleKota, J. S., & Papandreou-Suppappola, A. (2019). Joint Design of Transmit Waveforms for Object Tracking in Coexisting Multimodal Sensing Systems. Sensors, 19(8), 1753. https://doi.org/10.3390/s19081753
