3D Reconstruction of Slug Flow in Mini-Channels with a Simple and Low-Cost Optical Sensor
Abstract
1. Introduction
2. Experimental Apparatus and Optical Measurement System
2.1. Experimental Apparatus
2.2. Optical Measurement System
3. 3D Image Reconstruction Method
3.1. Optical Signal Analysis
3.2. Development of Cross-Sectional Model Based on SVR
3.3. Velocity Measurement
3.4. Reference Values
4. Results and Discussions
4.1. Cross-Sectional Parameter Results
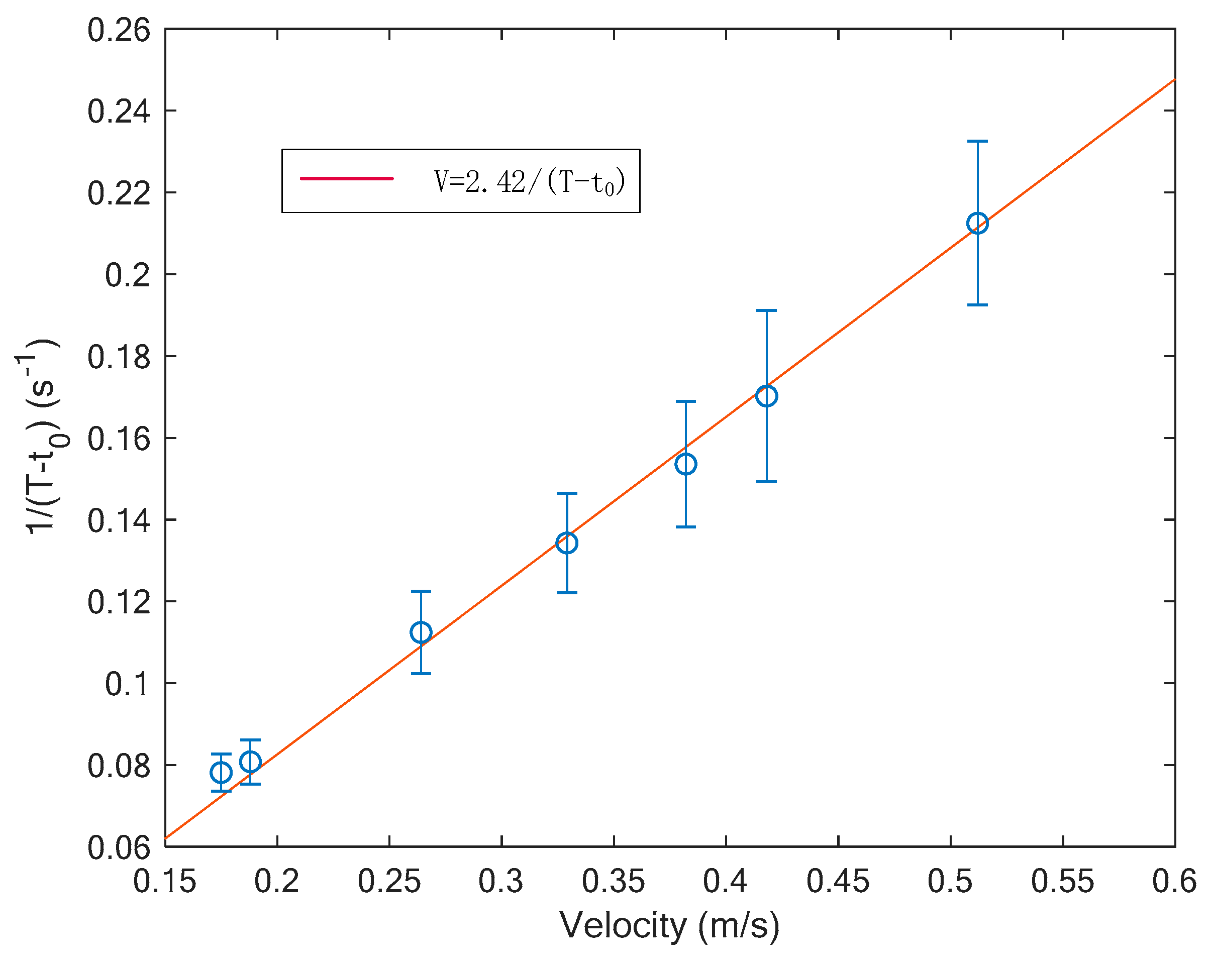
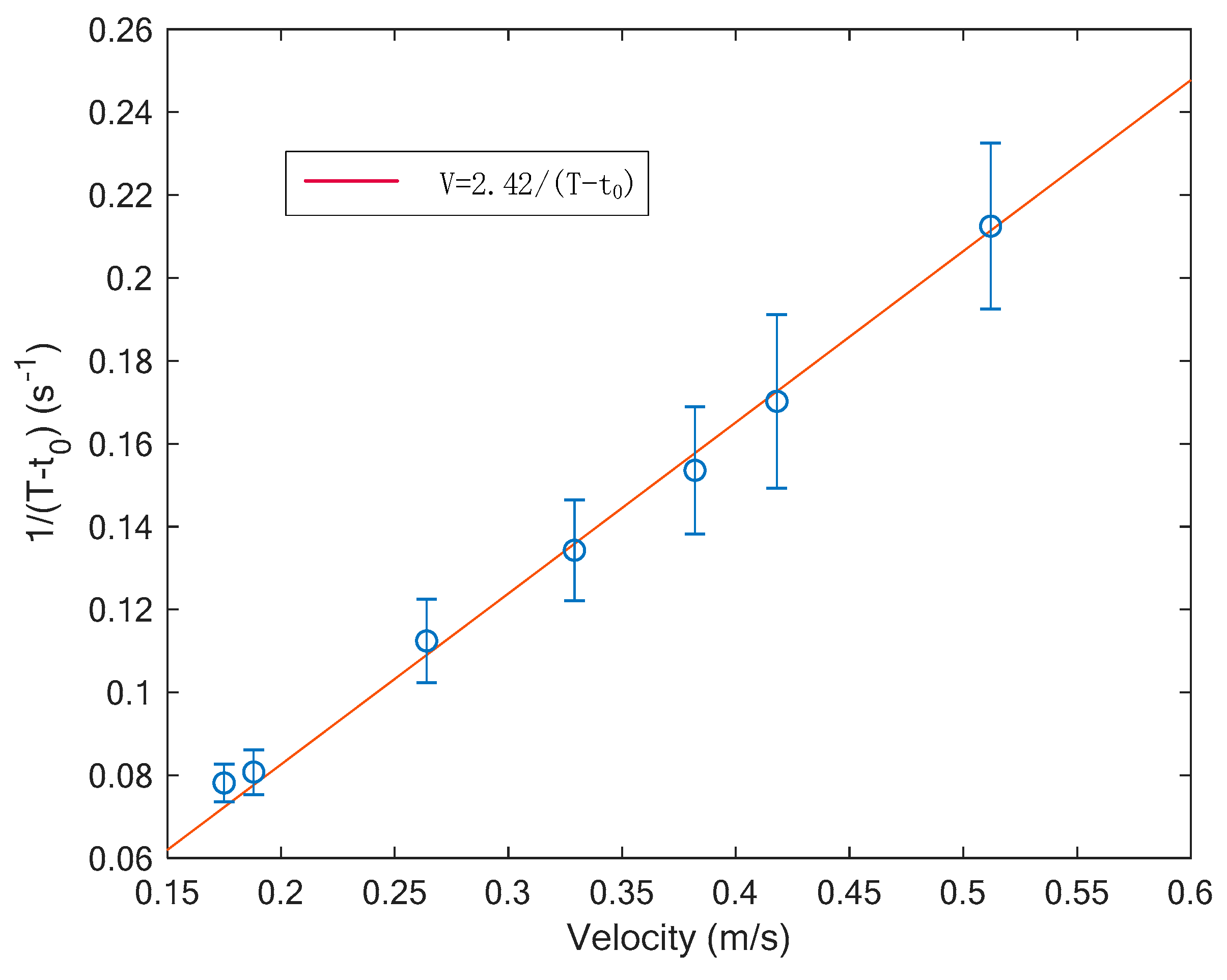
4.2. Velocity Measurement Results
4.3. 3D Reconstruction Results
5. Conclusions
Author Contributions
Funding
Conflicts of Interest
References
- Mukherjee, A.; Kandlikar, S.G.; Edel, Z.J. Numerical study of bubble growth and wall heat transfer during flow boiling in a microchannel. Int. J. Heat Mass Transf. 2011, 54, 3702–3718. [Google Scholar] [CrossRef]
- Kandlikar, S.G. History, Advances, and Challenges in Liquid Flow and Flow Boiling Heat Transfer in Microchannels: A Critical Review. J. Heat Trans. 2012, 134, 034001. [Google Scholar] [CrossRef]
- Saisorn, S.; Wongwises, S. A review of two-phase gas–liquid adiabatic flow characteristics in micro-channels. Renew. Sustain. Energy Rev. 2008, 12, 824–838. [Google Scholar] [CrossRef]
- Ong, C.L.; Thome, J.R. Macro-to-microchannel transition in two-phase flow: Part 1—Two-phase flow patterns and film thickness measurements. Exp. Therm. Fluid Sci. 2011, 35, 37–47. [Google Scholar] [CrossRef]
- Wahab, Y.A.; Rahim, R.A.; Rahiman, M.H.F.; Aw, S.R.; Yunus, F.R.M.; Goh, C.L.; Rahim, H.A.; Ling, L.P. Non-invasive process tomography in chemical mixtures—A review. Sens. Actuat B Chem. 2015, 210, 602–617. [Google Scholar] [CrossRef]
- Fu, X.; Zhang, P.; Hu, H.; Huang, C.J.; Huang, Y.; Wang, R.Z. 3D visualization of two-phase flow in the micro-tube by a simple but effective method. J. Micromech. Microeng. 2009, 19. [Google Scholar] [CrossRef][Green Version]
- Rahim, R.A.; Pang, J.F.; Chan, K.S. Optical tomography sensor configuration using two orthogonal and two rectilinear projection arrays. Flow Meas. Instrum. 2005, 16, 327–340. [Google Scholar] [CrossRef]
- Schleicher, E.; da Silva, M.J.; Thiele, S.; Li, A.; Wollrab, E.; Hampel, U. Design of an optical tomograph for the investigation of single- and two-phase pipe flows. Meas. Sci. Technol. 2008, 19. [Google Scholar] [CrossRef]
- Abdul Wahab, Y.; Abdul Rahim, R.; Fazalul Rahiman, M.H.; Ridzuan Aw, S.; Mohd Yunus, F.R.; Goh, C.L.; Abdul Rahim, H.; Ling, L.P. Non-invasive process tomography in chemical mixtures—A review. Sens. Actuators B Chem. 2015, 210, 602–617. [Google Scholar] [CrossRef]
- Banasiak, R.; Wajman, R.; Jaworski, T.; Fiderek, P.; Fidos, H.; Nowakowski, J.; Sankowski, D. Study on two-phase flow regime visualization and identification using 3D electrical capacitance tomography and fuzzy-logic classification. Int. J. Multiph. Flow 2014, 58, 1–14. [Google Scholar] [CrossRef]
- Haase, S. Characterisation of gas-liquid two-phase flow in minichannels with co-flowing fluid injection inside the channel, part II: Gas bubble and liquid slug lengths, film thickness, and void fraction within Taylor flow. Int. J. Multiph. Flow 2017, 88, 251–269. [Google Scholar] [CrossRef]
- Hodgkinson, J.; Tatam, R.P. Optical gas sensing: A review. Meas. Sci. Technol. 2013, 24. [Google Scholar] [CrossRef]
- Sentis, M.P.L.; Onofri, F.R.A.; Méès, L.; Radev, S. Scattering of light by large bubbles: Coupling of geometrical and physical optics approximations. J. Quant. Spectrosc. Radiat. Transf. 2016, 170, 8–18. [Google Scholar] [CrossRef]
- Burges, C.J.C. A Tutorial on Support Vector Machines for Pattern Recognition. Data Min. Knowl. Discov. 1998, 2, 121–167. [Google Scholar] [CrossRef]
- Smola, A.J.; Schölkopf, B. A tutorial on support vector regression. Stat. Comput. 2004, 14, 199–222. [Google Scholar] [CrossRef]
- Ding, S.; Zhu, Z.; Zhang, X. An overview on semi-supervised support vector machine. Neural Comput. Appl. 2015, 28, 969–978. [Google Scholar] [CrossRef]
- Mountrakis, G.; Im, J.; Ogole, C. Support vector machines in remote sensing: A review. ISPRS J. Photogramm. Remote Sens. 2011, 66, 247–259. [Google Scholar] [CrossRef]
- Yu, P.S.; Chen, S.T.; Chang, I.F. Support vector regression for real-time flood stage forecasting. J. Hydrol. 2006, 328, 704–716. [Google Scholar] [CrossRef]
- Chang, C.C.; Lin, C.J. Libsvm: A library for support vector machines. ACM Trans. Intell. Syst. Technol. 2011, 2, 1–27. [Google Scholar] [CrossRef]
- De, S.; Vikram, V.K.; Sengupta, D. Application of support vector regression analysis to estimate total organic carbon content of Cambay shale in Cambay basin, India—A case study. Pet. Sci. Technol. 2019, 37, 1155–1164. [Google Scholar] [CrossRef]
- Arattano, M.; Marchi, L. Measurements of debris flow velocity through cross-correlation of instrumentation data. Nat. Hazard. Earth Sys. 2005, 5, 137–142. [Google Scholar] [CrossRef]
- Brito, A.A.; Santos, F.R.; de Castro, A.P.N.; Lima, A.T.D.; Zebende, G.F.; Lima, I.C.D. Cross-correlation in a turbulent flow: Analysis of the velocity field using the rho(DCCA) coefficient. EPL Eur. Lett. 2018, 123. [Google Scholar] [CrossRef]
- Kawahara, A.; Chung, P.M.Y.; Kawaji, M. Investigation of two-phase flow pattern, void fraction and pressure drop in a microchannel. Int. J. Multiph. Flow 2002, 28, 1411–1435. [Google Scholar] [CrossRef]














© 2019 by the authors. Licensee MDPI, Basel, Switzerland. This article is an open access article distributed under the terms and conditions of the Creative Commons Attribution (CC BY) license (http://creativecommons.org/licenses/by/4.0/).
Share and Cite
Li, H.; Jiang, Y.; Ji, H.; Liu, G.; Yu, S. 3D Reconstruction of Slug Flow in Mini-Channels with a Simple and Low-Cost Optical Sensor. Sensors 2019, 19, 4573. https://doi.org/10.3390/s19204573
Li H, Jiang Y, Ji H, Liu G, Yu S. 3D Reconstruction of Slug Flow in Mini-Channels with a Simple and Low-Cost Optical Sensor. Sensors. 2019; 19(20):4573. https://doi.org/10.3390/s19204573
Chicago/Turabian StyleLi, Huajun, Yandan Jiang, Haifeng Ji, Guangyu Liu, and Shanen Yu. 2019. "3D Reconstruction of Slug Flow in Mini-Channels with a Simple and Low-Cost Optical Sensor" Sensors 19, no. 20: 4573. https://doi.org/10.3390/s19204573
APA StyleLi, H., Jiang, Y., Ji, H., Liu, G., & Yu, S. (2019). 3D Reconstruction of Slug Flow in Mini-Channels with a Simple and Low-Cost Optical Sensor. Sensors, 19(20), 4573. https://doi.org/10.3390/s19204573
