Assessing the Ability of Luojia 1-01 Imagery to Detect Feeble Nighttime Lights
Abstract
:1. Introduction
2. Materials and Methods
2.1. Study Areas
2.2. Data Source
2.3. Nighttime Light Imagery Processing
2.4. Detection Capability Assessment
3. Results
3.1. Cutoff Threshold and Noise
3.2. Sample Detection
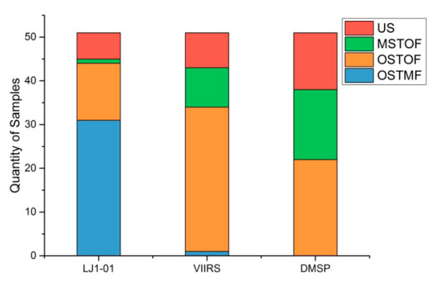
3.3. Detection Assessment
4. Discussion
4.1. Feeble NTL Detection
4.2. Clouds and Moon Phases
4.3. Image Composition and Sensor Parameters
5. Conclusions
- LJ1-01 NTL imagery has a better potential for feeble NTL detection. For example, in the study area, the minimum cutoff threshold for LJ1-01 image is 0.1 (nanoWcm−2sr−1), while that of VIIRS image is 0.3 (nanoWcm−2sr−1). This allows LJ1-01 images containing more useful information of NTL, especially the feeble NTL. In addition, with the optimal cutoff threshold, the minimum area of town-level NTL patches that can be identified from LJ1-01 image is 0.1 km2, while that of VIIRS and DMSP images are 0.3 km2 and 4.5 km2, respectively. Moreover, the minimum area of village-level NTL patches which are detected by LJ1-01 is 0.02 km2. It enables LJ1-01 to detect more small size NTL patches caused by human activities, and this is considered to be useful when analyzing the spatial structure of human settlements. Besides in the aspect of feeble NTL detection, the overpass time of the LJ1-01 also makes its data more valuable.
- A method of reducing the noise from LJ 1-01 imagery should be proposed, especially to reduce the noise caused by the cloud reflection. The cutoff threshold method is not the best way, because it cannot distinguish the noise from feeble NTL but discards the parts of NTL containing more noise. Perhaps, the filtering method and the image composition method can play a greater role in noise reduction. However, in the image composition, how to distinguish the noise from the temporary human activities, such as industrial activities and road traffic, and to retain the effective NTL is also a problem that has to be settled.
Author Contributions
Funding
Acknowledgments
Conflicts of Interest
References
- Li, D.; Li, X. An Overview on Data Mining of Nighttime Light Remote Sensing. Acta Geod. Cartogr. Sin. 2015, 44, 591–601. [Google Scholar]
- Li, D.; Zhao, X.; Li, X. Remote Sensing of Human Beings—A Perspective from Nighttime Light. GSIS 2016, 19, 69–79. [Google Scholar] [CrossRef]
- Elvidge, C.D.; Baugh, K.E.; Kinh, E.A. Relation between Satellite Observed Visible-near Infrared Emissions, Population, Economic Activity and Electric Power Consumption. Int. J. Remote Sens. 1997, 18, 1373–1379. [Google Scholar] [CrossRef]
- Rybnikova, N.A.; Portnov, B.A. Mapping Geographical Concentrations of Economic Activities in Europe Using Light at Night (LAN) Satellite Data. Int. J. Remote Sens. 2014, 35, 7706–7725. [Google Scholar] [CrossRef]
- Li, D.; Li, X. Applications of Night-Time Light Remote Sensing in Evaluating of Socioeconomic Development. J. Macro-Quality Res. 2015, 3, 1–8. [Google Scholar]
- Doll, C.N.H.; Muller, J.P.; Elvidge, C.D. Nighttime Imagery as a Tool for Global Mapping of Socioeconomic Parameters and Greenhouse Gas Emissions. AMBIO: J. Hum. Environ. 2000, 29, 157–162. [Google Scholar] [CrossRef]
- Song, G.; Yu, M.; Liu, S.; Zhang, S. A Dynamic Model for Population Mapping: A Methodology Integrating a Monte Carlo Simulation with Vegetation Adjusted Night-Time Light Images. Int. J. Remote Sens. 2015, 36, 4054–4068. [Google Scholar] [CrossRef]
- Chen, X.; Nordhaus, W.D. Using Luminosity Data as a Proxy for Economic Statistics. Proc. Natl. Acad. Sci. USA 2011, 108, 8589–8594. [Google Scholar] [CrossRef]
- Zhao, N.; Ghosh, T.; Samson, E.L. Mapping Spatiotemporal Changes of Chinese Electric Power Consumption Using Night-Time Imagery. Int. J. Remote Sens. 2012, 33, 6304–6320. [Google Scholar] [CrossRef]
- Cao, X.; Chen, J.; Imura, H. A SVM-based Method to Extract Urban Areas from DMSP-OLS and SPOT VGT Data. Remote Sens. Environ. 2009, 113, 2205–2209. [Google Scholar] [CrossRef]
- Hsu, F.; Elvidge, C.D.; Matsuno, Y. Exploring and Estimating in—Use Steel Stocks in Civil Engineering and Buildings from Night-Time lights. Int. J. Remote Sens. 2013, 34, 490–504. [Google Scholar] [CrossRef]
- Ma, T.; Zhou, Y.; Zhou, C.; Haynie, S.; Pei, T.; Xu, T. Night-Time Light Derived Estimation of Spatio-Temporal Characteristics of Urbanization Dynamics Using DMSP/OLS Satellite Data. Remote Sens. Environ. 2015, 158, 453–464. [Google Scholar] [CrossRef]
- Wang, T.; Zhang, G.; Li, P.; Li, F.; Guo, X. Analysis on the Driving Factors of Urban Expansion Policy Based on DMSP/OLS Remote Sensing Image. Acta Geod. Cartographica Sin. 2018, 47, 1466–1473. [Google Scholar]
- Chen, Z.; Yu, B.; Song, W. A New Approach for Detecting Urban Centers and Their Spatial Structure with Nighttime Light Remote Sensing. IEEE Trans. Geosci. Remote Sens. 2017, 55, 6305–6319. [Google Scholar] [CrossRef]
- Cova, T.J.; Sutton, P.C.; Theobald, D.M. Exurban Change Detection in Fire-prone Areas with Nighttime Satellite Imagery. Photogramm. Eng. Remote Sens. 2004, 70, 1249–1257. [Google Scholar] [CrossRef]
- Li, X.; Zhang, R.; Huang, C.; Li, D. Detecting 2014 Northern Iraq Insurgency Using Night-Time Light Imagery. Int. J. Remote Sens. 2015, 36, 3446–3458. [Google Scholar] [CrossRef]
- Li, D.; Li, X. Use of Night-Time Light Remote Sensing in Humanitarian Disaster Evaluation. Chin. J. Nat. 2018, 40, 168–176. [Google Scholar]
- Li, X.; Zhan, C.; Tao, J.; Li, L. Long-Term Monitoring of the Impacts of Disaster on Human Activity Using DMSP/OLS Nighttime Light Data: A Case Study of the 2008 Wenchuan, China Earthquake. Remote Sens. 2018, 10, 588. [Google Scholar] [CrossRef]
- Zhang, X.; Zhu, J.; Xu, J. Earthquake Disaster Information Extraction Based on Nighttime Lighting Images. J. Seismol. Res. 2018, 41, 311–318. [Google Scholar]
- Zhao, X.; Yu, B.; Liu, Y.; Yao, S.; Lian, T.; Chen, L.; Yang, C.; Chen, Z.; Wu, J. NPP-VIIRS DNB Daily Data in Natural Disaster Assessment: Evidence from Selected Case Studies. Remote Sens. 2018, 10, 1526. [Google Scholar] [CrossRef]
- Small, C.; Elvidge, C.D. Night on Earth: Mapping Decadal Changes of Anthropogenic Night Light in Asia. Int. J. Appl. Earth Obs. Geoinf. 2013, 22, 40–52. [Google Scholar] [CrossRef]
- Letu, H.; Hara, M.; Tana, G.; Bao, Y.; Nishio, F. Generating the Nighttime Light of the Human Settlements by Identifying Periodic Components from DMSP/OLS Satellite Imagery. Environ. Sci. Technol. 2015, 49, 10503–10509. [Google Scholar] [CrossRef]
- Huang, X.; Schneider, A.; Friedl, M.A. Mapping Sub-Pixel Urban Expansion in China Using Modis and DMSP/OLS Nighttime Lights. Remote Sens. Environ. 2016, 175, 92–108. [Google Scholar] [CrossRef]
- Li, X.; Zhou, Y. Urban Mapping Using DMSP/OLS Stable Night-Time Light: A Review. Int. J. Remote Sens. 2017, 1–17. [Google Scholar] [CrossRef]
- Zhou, Y.; Li, X.; Asrar, G.R.; Smith, S.J.; Imhoff, M. A Global Record of Annual Urban Dynamics (1992–2013) from Nighttime Lights. Remote Sens. Environ. 2018, 219, 206–220. [Google Scholar] [CrossRef]
- Liu, Z.; He, C.; Zhang, Q. Extracting the Dynamics of Urban Expansion in China Using DMSP-OLS Nighttime Light Data from 1992 to 2008. Landscape Urban Plann. 2012, 106, 62–72. [Google Scholar] [CrossRef]
- Li, X.; Zhao, L.X.; Li, D.R.; Xu, H.M. Mapping Urban Extent Using Luojia 1-01 Nighttime Light Imagery. Sensors 2018, 18, 3665. [Google Scholar] [CrossRef]
- Zhang, G.; Guo, X.; Li, D.; Jiang, B. Evaluating the Potential of LJ1-01 Nighttime Light Data for Modeling Socio-Economic Parameters. Sensors 2019, 19, 1465. [Google Scholar] [CrossRef]
- Li, C.; Zou, L.; Wu, Y.; Xu, H. Potentiality of Using Luojia1-01 Night-Time Light Imagery to Estimate Urban Community Housing Price—A Case Study in Wuhan, China. Sensors 2019, 19, 3167. [Google Scholar] [CrossRef]
- Ou, J.; Liu, X.; Liu, P.; Liu, X. Evaluation of Luojia 1-01 Nighttime Light Imagery for Impervious Surface Detection: A Comparison with NPP-VIIRS Nighttime Light Data. Int. J. Appl. Earth Obs. 2019, 81, 1–12. [Google Scholar] [CrossRef]
- Jiang, W.; He, G.; Long, T.; Guo, H.; Yin, R.; Leng, W.; Liu, H.; Wang, G. Potentiality of Using Luojia 1-01 Nighttime Light Imagery to Investigate Artificial Light Pollution. Sensors 2018, 18, 2900. [Google Scholar] [CrossRef]
- China Population Spatial Distribution Kilometer-grid Dataset. Available online: http://www.resdc.cn/DOI (accessed on 7 August 2019).
- Elvidge, C.D.; Baugh, K.; Zhi, Z.M.; Hsu, F.C. Why VIIRS Data are Superior to DMSP for Mapping Nighttime Lights. Proc. Asia-Pac. Adv. Netw. 2013, 35, 62–69. [Google Scholar] [CrossRef]
- High-Resolution Earth Observation System Hubei Data and Application Network. Available online: http://www.hbeos.org.cn/ (accessed on 11 December 2018).
- Version 1 VIIRS Day/Night Band Nighttime Lights. Available online: https://ngdc.noaa.gov/eog/viirs/download_dnb_composites.html/ (accessed on 11 December 2018).
- Version 4 DMSP-OLS Nighttime Lights Time Series. Available online: https://www.ngdc.noaa.gov/eog/dmsp/downloadV4composites.html (accessed on 11 December 2018).
- Zhang, G.; Wang, J.Y.; Jiang, Y.H.; Zhou, P.; Zhao, Y.B.; Xu, Y. On-Orbit Geometric Calibration and Validation of Luojia 1-01 Night-Light Satellite. Remote Sens. 2019, 11, 264. [Google Scholar] [CrossRef]
- Zhang, G.; Li, L.T.; Jiang, Y.H.; Shen, X.; Li, D.R. On-Orbit Relative Radiometric Calibration of the Night-Time Sensor of the LuoJia1-01 Satellite. Sensors 2018, 18, 4225. [Google Scholar] [CrossRef]
- Zang, Z.; Zou, X.; Zuo, P.; Song, Q.; Wang, C.; Wang, J. Impact of Landscape Patterns on Ecological Vulnerability and Ecosystem Service Values: An Empirical Analysis of Yancheng Nature Reserve in China. Ecol. Indic. 2017, 72, 142–152. [Google Scholar] [CrossRef]
- Barbosa, C.C.; De, A.; Atkinson, P.M.; Dearing, J.A. Remote sensing of ecosystem services: A systematic review. Ecol. Indic. 2015, 52, 430–443. [Google Scholar] [CrossRef]
- Yu, Q.; Hu, Q.; Van Vliet, J.; Verburg, P.H.; Wu, W. Globeland30 Shows Little Cropland Area Loss but Greater Fragmentation in China. Int. J. Appl. Earth Obs. Geoinf. 2018, 66, 37–45. [Google Scholar] [CrossRef]
- Xu, Y.; Sun, X.; Tang, Q. Human Activity Intensity of Land Surface: Concept, Method and Application in China. Acta Geog. Sin. 2015, 70, 1068–1079. [Google Scholar] [CrossRef]
- National Geodatabase 1:250,000. Available online: http://www.webmap.cn/ (accessed on 10 November 2018).
- Moon Phases Calendar. Available online: http://www.moonconnection.com (accessed on 1 March 2019).
- National Meteorological Information Center. Available online: http://data.cma.cn/ (accessed on 1 March 2019).














| Parameter | Satellite | ||
|---|---|---|---|
| DMSP/OLS | NPP/VIIRS | LJ1-01 | |
| Orbit height | 850 km | 827 km | 645 km |
| Regression cycle | 12 h | 12 h | 3–5 days |
| Spectral range | 500–900 nm | 500-900 nm | 460–980 nm |
| Quantization bits | 6 | 14 | 15 |
| Spatial Resolution | 2.7 km | 740 m | 130 m |
| Swath | 3000 km | 3000 km | 264k m |
| On-board calibration | No | Yes | Yes |
| Nighttime overpass | ~19:30 | ~1:30 | ~22:30 |
| Available Period | 1992–2013 | November 2011–present | June 2018–present |
| Indicator | Calculation | Significance |
|---|---|---|
| Number of patches, NP | Total number of patches of NTL’s footprints | NP reflects the spatial pattern and heterogeneity of NTL’s footprints; it is positively correlated with fragmentation of NTL’s footprints. |
| Class area, CA | Total class area of NTL’s footprints | CA determines the range of NTL’s footprints; It indicates the scope of human activity. |
| Patch density, PD | The NP/CA ratio of NTL’s footprints | PD is the number of patches per unit area; it reflects the dispersion of footprints of NTL. |
| Mean patch size, MPS | The CA/NP ratio of NTL’s footprints | MPS indicates the fragmentation of NTL’s footprints; it also reflects NTL’s footprints heterogeneity. |
© 2019 by the authors. Licensee MDPI, Basel, Switzerland. This article is an open access article distributed under the terms and conditions of the Creative Commons Attribution (CC BY) license (http://creativecommons.org/licenses/by/4.0/).
Share and Cite
Li, X.; Liu, Z.; Chen, X.; Sun, J. Assessing the Ability of Luojia 1-01 Imagery to Detect Feeble Nighttime Lights. Sensors 2019, 19, 3708. https://doi.org/10.3390/s19173708
Li X, Liu Z, Chen X, Sun J. Assessing the Ability of Luojia 1-01 Imagery to Detect Feeble Nighttime Lights. Sensors. 2019; 19(17):3708. https://doi.org/10.3390/s19173708
Chicago/Turabian StyleLi, Xue, Zhumei Liu, Xiaolin Chen, and Jie Sun. 2019. "Assessing the Ability of Luojia 1-01 Imagery to Detect Feeble Nighttime Lights" Sensors 19, no. 17: 3708. https://doi.org/10.3390/s19173708
APA StyleLi, X., Liu, Z., Chen, X., & Sun, J. (2019). Assessing the Ability of Luojia 1-01 Imagery to Detect Feeble Nighttime Lights. Sensors, 19(17), 3708. https://doi.org/10.3390/s19173708
