Price-Based Resource Allocation in Wireless Power Transfer-Enabled Massive MIMO Networks
Abstract
1. Introduction
1.1. Summary of Contribution
- We model the interaction between the PB and SN in WPT-enabled massive MIMO system as a Stackelberg game. The revenue problem of the PB is transformed into a non-concave function of the transmit power and the harvesting time of PB by backward induction.
- We prove that the optimal total transit power for PB should equal the maximum power. The revenue of the PB is converted into an equivalent convex resource allocation problem by the optimal condition of the PB’s total transmit power.
- We give the optimal prices for the PB and the closed-form power allocation for the SNs. The complexity of the proposed algorithm is analyzed. Simulation results are presented to verify the effectiveness of the proposed algorithm.
1.2. Organization
2. System Model and Problem Formulation
2.1. System Model
2.2. Problem Formulation
3. Optimal Price-Based Resource Allocation Algorithm
| Algorithm 1 Optimal Price-based Resource Allocation Algorithm (OPRAA). |
| Initialization: such that , maximum iterative number , convergence threshold , iterative number , , , |
| repeat |
| power allocation: For a given time allocation , update the power of all user , where is power of user k in iteration s, which is obtained by Equation (10). time allocation: For a given power allocation , is the solution to Equation (14) obtained by bisection method, |
| until or |
| output the energy harvesting time is given by , the buying energy power for user k is , the price for user k is given by . |
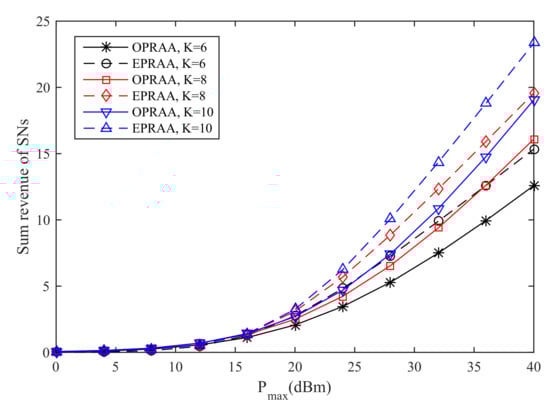
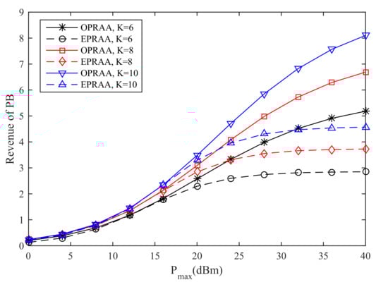
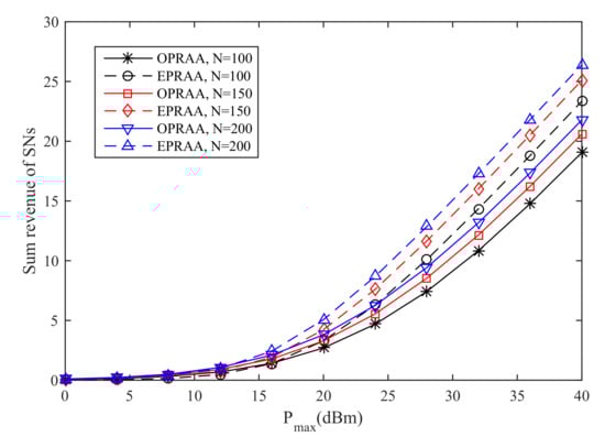
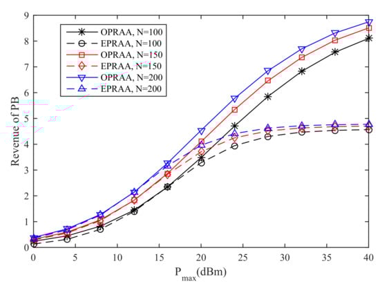
4. Simulation Results
5. Conclusions
Author Contributions
Funding
Conflicts of Interest
Abbreviations
| WPT | wirelesspowertransfer |
| MIMO | massive multiple-input multiple-output |
| SNs | sensor nodes |
| PB | power beacon |
| BS | base station |
| EE | energy efficiency |
| SE | spectrum efficiency |
| RF | radio frequency |
| PTE | power transfer efficiency |
| SSA | signal space alignment |
| SWIPT | simultaneous wireless information and power transfer |
| WPCN | wireless powered communication networks |
| ZF | zero-forcing |
| MRC | maximum ratio combining |
| OPRAA | optimal price-based resource allocation algorithm |
| ETRAA | equal time resource allocation algorithm |
Appendix A
References
- Larsson, E.G.; Poor, H.V. Joint beamforming and broadcasting in massive MIMO. IEEE Trans. Wirel. Commun. 2016, 15, 3058–3070. [Google Scholar] [CrossRef]
- Tang, L.; Hu, H.; He, Y. Energy Efficient Joint Power Control and User Association Optimization in Massive MIMO Enabled HetNets. Appl. Sci. 2018, 8, 584. [Google Scholar] [CrossRef]
- Wu, Q.; Chen, W.; Ng, D.W.K.; Li, J.; Schober, R. User-centric energy efficiency maximization for wireless powered communications. IEEE Trans. Wirel. Commun. 2008, 15, 6898–6912. [Google Scholar] [CrossRef]
- Wu, Q.; Li, G.Y.; Chen, W.; Ng, D.W.K.; Schober, R. An overview of sustainable green 5G networks. IEEE Wirel. Commun. 2017, 24, 72–80. [Google Scholar] [CrossRef]
- Zeng, Y.; Clerckx, B.; Zhang, R. Communications and signals design for wireless power transmission. IEEE Trans. Commun. 2017, 65, 2264–2290. [Google Scholar] [CrossRef]
- Chen, X.; Zhang, Z.; Chen, H.; Zhang, H. Enhancing wireless information and power transfer by exploiting multi-antenna techniques. IEEE Commun. Mag. 2015, 53, 133–141. [Google Scholar] [CrossRef]
- Kashyap, S.; Björnson, E.; Larsson, E.G. On the feasibility of wireless energy transfer using massive antenna arrays. IEEE Trans. Wirel. Commun. 2016, 15, 3466–3480. [Google Scholar] [CrossRef]
- Kamga, G.N.; Aïssa, S. Wireless power transfer in mmWave massive MIMO systems with/without rain attenuation. IEEE Trans. Commun. 2019, 67, 176–189. [Google Scholar] [CrossRef]
- Khan, T.A.; Yazdan, A.; Heath, R.W. Optimization of power transfer efficiency and energy efficiency for wireless-powered systems with massive MIMO. IEEE Trans. Wirel. Commun. 2018, 17, 7159–7172. [Google Scholar] [CrossRef]
- Fang, Z.; Wu, Y.; Lu, Y.; Hu, J.; Peng, T.; Ye, J. Simultaneous wireless information and power transfer in cellular two-way relay networks with massive MIMO. IEEE Access 2018, 6, 29262–29270. [Google Scholar] [CrossRef]
- Lee, S.; Zeng, Y.; Zhang, R. Retrodirective multi-user wireless power transfer with massive MIMO. IEEE Wirel. Commun. Lett. 2018, 7, 54–57. [Google Scholar] [CrossRef]
- Dong, G.; Zhou, X.; Zhang, H.; Yuan, D. Achievable rate optimization for massive MIMO enabled SWIPT systems over downlink Rician channels. IEEE Access 2018, 6, 36810–36824. [Google Scholar] [CrossRef]
- Wan, X.; Yang, X.; Wang, Z.; Yang, X.; Fan, Z. Energy-efficient resource allocation for wireless power transfer enabled massive MIMO systems with hardware impairments. In Proceedings of the 2018 10th International Conference on Wireless Communications and Signal Processing (WCSP), Hangzhou, China, 18–20 October 2018; pp. 1–5. [Google Scholar]
- Ciuonzo, D.; Rossi, P.S.; Dey, S. Massive MIMO channel-aware decision fusion. IEEE Trans. Signal Process. 2015, 63, 604–619. [Google Scholar] [CrossRef]
- Jiang, F.; Chen, J.; Swindlehurst, A.L.; López-Salcedo, J.A. Massive MIMO for wireless sensing with a coherent multiple access channel. IEEE Trans. Signal Process. 2015, 63, 3005–3017. [Google Scholar] [CrossRef]
- Shirazinia, A.; Dey, S.; Ciuonzo, D.; Rossi, P.S. Massive MIMO for decentralized estimation of a correlated source. IEEE Trans. Signal Process. 2016, 64, 2499–2512. [Google Scholar] [CrossRef]
- Ding, G.; Gao, X.; Xue, Z.; Wu, Y.; Shi, Q. Massive MIMO for distributed detection with transceiver impairments. IEEE Trans. Veh. Technol. 2018, 67, 604–617. [Google Scholar] [CrossRef]
- Ciuonzo, D.; Romano, G.; Rossi, P.S. Performance analysis and design of maximum ratio combining in channel-aware MIMO decision fusion. IEEE Trans. Wirel. Commun. 2013, 12, 4716–4728. [Google Scholar] [CrossRef]
- Wan, X.; Yang, X.; Wang, Z.; Fan, Z. Energy efficient Rresource allocation algorithm for massive MIMO systems based on wireless power transfer. IEICE Trans. Commun. 2019, E102-B, 351–358. [Google Scholar] [CrossRef]
- Luong, N.C.; Wang, P.; Niyato, D.; Liang, Y.; Han, Z.; Hou, F. Applications of economic and pricing models for resource management in 5G wireless networks: a survey. IEEE Commun. Surv. Tutor. 2019. [Google Scholar] [CrossRef]
- Jeong, D.; Kim, I.; Kim, D. Optimal Pricing and Power Allocation for Collaborative Jamming with Full Channel Knowledge in Wireless Sensor Networks. Sensors 2017, 17, 2697. [Google Scholar] [CrossRef]
- Liu, Y.; Derakhshani, M.; Parsaeefard, S.; Lambotharan, S.; Wong, K. Antenna allocation and pricing in virtualized massive MIMO networks via Stackelberg game. IEEE Trans. Commun. 2018, 66, 5220–5234. [Google Scholar] [CrossRef]
- Sarma, S.; Kandhway, K.; Kuri, J. Robust energy harvesting based on a Stackelberg game. IEEE Wirel. Commun. Lett. 2016, 5, 336–339. [Google Scholar] [CrossRef]
- Chu, Z.; Nguyen, H.X.; Caire, G. Game theory-based resource allocation for secure WPCN multiantenna multicasting systems. IEEE Trans. Inf. Forensics Secur. 2018, 13, 926–939. [Google Scholar] [CrossRef]
- Wan, X.; Wei, X.; Wang, Z.; Fan, Z. Price-based resource allocation algorithm for energy harvesting massive MIMO systems. In Proceedings of the 2017 3rd IEEE International Conference on Computer and Communications (ICCC), Chengdu, China, 13–16 December 2017; pp. 940–944. [Google Scholar]
- Björnson, E.; Sanguinetti, L.; Hoydis, J.; Debbah, M. Optimal Design of Energy-Efficient Multi-User MIMO Systems: Is Massive MIMO the Answer? IEEE Trans. Wirel. Commun. 2015, 14, 3059–3075. [Google Scholar] [CrossRef]
- Wang, X.; Yang, Y.; Sheng, J. Energy Efficient Power Allocation for the Uplink of Distributed Massive MIMO Systems. Future Internet 2017, 9, 21. [Google Scholar] [CrossRef]
- Mohammed, S.K. Impact of transceiver power consumption on the energy efficiency of zero-forcing detector in massive MIMO systems. IEEE Trans. Commun. 2014, 62, 3874–3890. [Google Scholar] [CrossRef]
- Ju, H.; Zhang, R. Throughput maximization in wireless powered communication networks. IEEE Trans. Wirel. Commun. 2014, 13, 418–428. [Google Scholar] [CrossRef]
- Yang, G.; Ho, C.K.; Zhang, R.; Guan, Y.L. Throughput optimization for massive MIMO systems powered by wireless energy Transfer. IEEE J. Sel. Areas Commun. 2015, 33, 1640–1650. [Google Scholar] [CrossRef]
- Chu, Z.; Zhou, F.; Zhu, Z.; Hu, R.Q.; Xiao, P. Wireless Powered Sensor Networks for Internet of Things: Maximum Throughput and Optimal Power Allocation. IEEE Internet Things J. 2018, 5, 310–321. [Google Scholar] [CrossRef]
- Chi, K.; Zhu, Y.; Li, Y.; Huang, L.; Xia, M. Minimization of Transmission Completion Time in Wireless Powered Communication Networks. IEEE Internet Things J. 2017, 4, 1671–1683. [Google Scholar] [CrossRef]
- Zhong, S.; Wang, X. Energy Allocation and Utilization for Wirelessly Powered IoT Networks. IEEE Internet Things J. 2018, 5, 2781–2792. [Google Scholar] [CrossRef]
- Yang, Z.; Xu, W.; Pan, Y.; Pan, C.; Chen, M. Optimal Fairness-Aware Time and Power Allocation in Wireless Powered Communication Networks. IEEE Trans. Commun. 2018, 66, 3122–3135. [Google Scholar] [CrossRef]
- Ngo, H.Q.; Larsson, E.G.; Marzetta, T.L. Energy and spectral efficiency of very large multiuser MIMO systems. IEEE Trans. Commun. 2013, 61, 1436–1449. [Google Scholar]
- Kang, X.; Zhang, R.; Motani, M. Price-based resource allocation for spectrum-sharing femtocell networks: A Stackelberg game approach. IEEE J. Sel. Areas Commun. 2012, 30, 538–549. [Google Scholar] [CrossRef]
- Wang, Z.; Jiang, L.; He, C. Optimal price-based power control algorithm in cognitive radio networks. IEEE Trans. Wirel. Commun. 2014, 13, 5909–5920. [Google Scholar] [CrossRef]
- Grippo, L.; Sciandrone, M. On the convergence of the block nonlinear Gauss-Seidel method under convex constraints. Oper. Res. Lett. 1998, 26, 127–136. [Google Scholar] [CrossRef]
- Boer, H.; Holweg, M.; Kilduff, M.; Pagell, M.; Schmenner, R.; Voss, C. Making a meaningful contribution to theory. Int. J. Oper. Prod. Manag. 2015, 35, 1231–1252. [Google Scholar] [CrossRef]
- Liu, T.; Tong, J.; Guo, Q.; Xi, J.; Yu, Y.; Xiao, Z. Energy Efficiency of Uplink Massive MIMO Systems With Successive Interference Cancellation. IEEE Commun. Lett. 2017, 21, 668–671. [Google Scholar] [CrossRef]
- Zhang, Z.; Chen, J.; Hu, J. Energy-efficient massive MIMO system analysis: From a circuit power perspective. In Proceedings of the 2016 IEEE International Conference on Digital Signal Processing (DSP), Beijing, China, 16–18 October 2016; pp. 350–354. [Google Scholar]
- Zuo, J.; Zhang, J.; Yuen, C.; Jiang, W.; Luo, W. Energy-Efficient Downlink Transmission for Multicell Massive DAS With Pilot Contamination. IEEE Trans. Veh. Technol. 2017, 66, 1209–1221. [Google Scholar] [CrossRef]
- Halbauer, H.; Weber, A.; Wiegner, D.; Wild, T. Energy Efficient Massive MIMO Array Configurations. In Proceedings of the 2018 IEEE Globecom Workshops (GC Wkshps), Abu Dhabi, United Arab Emirates, 9–13 December 2018; pp. 1–6. [Google Scholar]








© 2019 by the authors. Licensee MDPI, Basel, Switzerland. This article is an open access article distributed under the terms and conditions of the Creative Commons Attribution (CC BY) license (http://creativecommons.org/licenses/by/4.0/).
Share and Cite
Wang, Z.; Huang, K.; Yang, X.; Wan, X.; Fan, Z.; Xu, Y. Price-Based Resource Allocation in Wireless Power Transfer-Enabled Massive MIMO Networks. Sensors 2019, 19, 3298. https://doi.org/10.3390/s19153298
Wang Z, Huang K, Yang X, Wan X, Fan Z, Xu Y. Price-Based Resource Allocation in Wireless Power Transfer-Enabled Massive MIMO Networks. Sensors. 2019; 19(15):3298. https://doi.org/10.3390/s19153298
Chicago/Turabian StyleWang, Zhengqiang, Kunhao Huang, Xiaona Yang, Xiaoyu Wan, Zifu Fan, and Yongjun Xu. 2019. "Price-Based Resource Allocation in Wireless Power Transfer-Enabled Massive MIMO Networks" Sensors 19, no. 15: 3298. https://doi.org/10.3390/s19153298
APA StyleWang, Z., Huang, K., Yang, X., Wan, X., Fan, Z., & Xu, Y. (2019). Price-Based Resource Allocation in Wireless Power Transfer-Enabled Massive MIMO Networks. Sensors, 19(15), 3298. https://doi.org/10.3390/s19153298

