Directional Sensitivity of a MEMS-Based Fiber-Optic Extrinsic Fabry–Perot Ultrasonic Sensor for Partial Discharge Detection
Abstract
:1. Introduction
2. Working Principle
3. Sensor Design and Fabrication
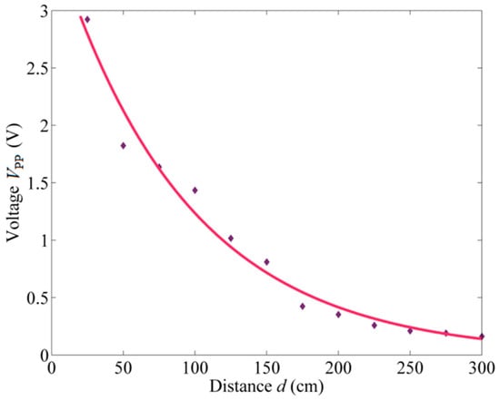
4. Experimental Investigation and Results
5. Conclusions
Author Contributions
Funding
Conflicts of Interest
References
- Huang, Y.W.; Tao, J.; Huang, X.G. Research Progress on F-P Interference—Based Fiber-Optic Sensors. Sensors 2016, 16, 1424. [Google Scholar] [CrossRef] [PubMed]
- Islam, M.R.; Ali, M.M.; Lai, M.H.; Lim, K.S.; Ahmad, H. Chronology of Fabry-Pérot Interferometer Fiber-Optic Sensors and Their Applications: A Review. Sensors 2014, 14, 7451–7488. [Google Scholar] [CrossRef] [PubMed]
- Pang, C.; Bae, H.; Gupta, A.; Bryden, K.; Yu, M. MEMS Fabry-Pérot Sensor Interrogated by Optical System-on-a-Chip for Simultaneous Pressure and Temperature Sensing. Opt. Express 2013, 21, 21829. [Google Scholar] [CrossRef] [PubMed]
- Wang, F.; Shao, Z.; Xie, J.; Hu, Z.; Luo, H.; Hu, Y. Extrinsic Fabry-Pérot Underwater Acoustic Sensor Based on Micromachined Center-Embossed Diaphragm. J. Lightwave Technol. 2014, 32, 4026–4034. [Google Scholar] [CrossRef]
- Liu, B.; Lin, J.; Wang, J.; Ye, C.; Jin, P. MEMS-Based High-Sensitivity Fabry-Pérot Acoustic Sensor with a 45° Angled Fiber. IEEE Photonics Technol. Lett. 2016, 28, 581–584. [Google Scholar] [CrossRef]
- Xu, F.; Shi, J.; Gong, K.; Li, H.; Hui, R.; Yu, B. Fiber-Optic Acoustic Pressure Sensor Based on Large-Area Nanolayer Silver Diaphragm. Opt. Lett. 2014, 39, 2838–2840. [Google Scholar] [CrossRef] [PubMed]
- Zhao, Y.; Chen, M.; Xia, F.; Ri-Qing, L.V. Small in-Fiber Fabry-Pérot Low-Frequency Acoustic Pressure Sensor with PDMS Diaphragm Embedded in Hollow-Core Fiber. Sens. Actuator A Phys. 2017, 270, 162–169. [Google Scholar] [CrossRef]
- Sun, B.; Wang, Y.; Qu, J.; Liao, C.; Yin, G.; He, J.; Zhou, J.; Tang, J.; Liu, S.; Li, Z.; et al. Simultaneous Measurement of Pressure and Temperature by Employing Fabry-Pérot Interferometer Based on Pendant Polymer Droplet. Opt. Express 2015, 23, 1906–1911. [Google Scholar] [CrossRef] [PubMed]
- Zhang, W.; Chen, F.; Ma, W.; Rong, Q.; Qiao, X.; Wang, R. Ultrasonic Imaging of Seismic Physical Models Using a Fringe Visibility Enhanced Fiber-Optic Fabry-Pérot Interferometric Sensor. Opt. Express 2018, 26, 11025–11033. [Google Scholar] [CrossRef] [PubMed]
- Jiang, J.; Zhang, T.; Wang, S.; Liu, K.; Li, C.; Zhao, Z. Noncontact Ultrasonic Detection in Low-Pressure Carbon Dioxide Medium Using High Sensitivity Fiber-Optic Fabry–Perot Sensor System. J. Lightwave Technol. 2017, 35, 5079–5085. [Google Scholar] [CrossRef]
- Wu, Y.; Yu, C.; Wu, F.; Li, C.; Zhou, J.; Gong, Y. A Highly Sensitive Fiber-Optic Microphone Based on Graphene Oxide Membrane. J. Lightwave Technol. 2017, 35, 4344–4349. [Google Scholar] [CrossRef]
- Ma, J.; Xuan, H.; Ho, H.L.; Jin, W.; Yang, Y.; Fan, S. Fiber-Optic Fabry-Pérot Acoustic Sensor with Multilayer Graphene Diaphragm. IEEE Photonics Technol. Lett. 2013, 25, 932–935. [Google Scholar] [CrossRef]
- Fu, C.; Si, W.; Li, H.; Li, D.; Yuan, P.; Yu, Y. A Novel High-Performance Beam-Supported Membrane Structure with Enhanced Design Flexibility for Partial Discharge Detection. Sensors 2017, 17, 593. [Google Scholar] [CrossRef] [PubMed]
- Li, M.; Wang, M.; Li, H. Optical MEMS Pressure Sensor Based on Fabry-Pérot Interferometry. Opt. Express 2006, 14, 1497–1504. [Google Scholar] [CrossRef] [PubMed]
- Wang, Y.; Ni, X.; Wang, M.; Cui, Y.; Shi, Q. Demodulation of an Optical Fiber MEMS Pressure Sensor Based on Single Bandpass Microwave Photonic Filter. Opt. Express 2017, 25, 644–653. [Google Scholar] [CrossRef] [PubMed]
- Boczar, T.; Borucki, S.; Cichon, A.; Zmarzly, D. Application Possibilities of Artificial Neural Networks for Recognizing Partial Discharges Measured by the Acoustic Emission Method. IEEE Trans. Dielectr. Electr. Insul. 2009, 16, 214–223. [Google Scholar] [CrossRef]
- Gao, S.; Zhang, Y.; Xie, Q.; Kan, Y.; Li, S.; Liu, D.; Lü, F. Research on Partial Discharge Source Localization Based on an Ultrasonic Array and a Step-by-Step Over-Complete Dictionary. Energies 2017, 10, 593. [Google Scholar] [CrossRef]
- Rosenthal, A.; Razansky, D.; Ntziachristos, V. High-Sensitivity Compact Ultrasonic Detector Based on a Pi-Phase-Shifted Fiber Bragg Grating. Opt. Lett. 2011, 36, 1833–1835. [Google Scholar] [CrossRef] [PubMed]
- Song, L.; Wang, Z.; Wang, A.; Liu, Y.; Cooper, K.L. Angular Dependence of the Frequency Response of an Extrinsic Fabry-Pérot Interferometric (EFPI) Fiber Acoustic Sensor for Partial Discharge Detection. J. Lightwave Technol. 2006, 24, 3433–3438. [Google Scholar] [CrossRef]
- IEEE. IEEE Guide for the Detection and Location of Acoustic Emissions from Partial Discharges in Oil-Immersed Power Transformers and Reactors; IEEE Standard C57.127-2007; IEEE: Piscataway, NJ, USA, 2007. [Google Scholar]
- Dong, B.; Han, M.; Wang, A. Two-Wavelength Quadrature Multipoint Detection of Partial Discharge in Power Transformers Using Fiber Fabry-Pérot Acoustic Sensors. Proc. SPIE 2012, 8370, 83700K. [Google Scholar] [CrossRef]
- Wang, L.; Fang, N. Applications of fiber-optic interferometry technology in sensor fields. In Optical Interferometry; Banishev, A., Ed.; IntechOpen: London, UK, 2017; Chapter 7. [Google Scholar] [CrossRef]
- Lee, C.E.; Taylor, H.F. Sensors for smart structure based upon the Fabry-Pérot interferometer. In Fiber Optics Smart Structures; Udd, E., Ed.; Wiley: New York, NY, USA, 1995; pp. 249–269. ISBN 0471554480. [Google Scholar]
- Zhang, C.; Dong, M.; Ren, M.; Huang, W.; Zhou, J.; Gao, X.; Albarracín, R. Partial Discharge Monitoring on Metal-Enclosed Switchgear with Distributed Non-Contact Sensors. Sensors 2018, 18, 551. [Google Scholar] [CrossRef] [PubMed]
- Ren, M.; Zhou, J.; Song, B.; Zhang, C.; Dong, M.; Albarracín, R. Towards Optical Partial Discharge Detection with Micro Silicon Photomultipliers. Sensors 2017, 17, 2595. [Google Scholar] [CrossRef] [PubMed]
- Table of Physical and Chemical Constants. Available online: http://www.kayelaby.npl.co.uk/general_physics/2_4/2_4_1.html (accessed on 26 January 2018).
- Zhang, W.; Wang, R.; Rong, Q. An Optical Fiber Fabry-Pérot Interferometric Sensor Based on Functionalized Diaphragm for Ultrasound Detection and Imaging. IEEE Photonics J. 2017, 9, 1–8. [Google Scholar] [CrossRef]








| Sensor Fabrication | Ref. [10] | Ref. [12] | Ref. [21] | Ref. [9] | Present Work | |
|---|---|---|---|---|---|---|
| EFPI diaphragm | material | PPS * | graphene | silica | PTFE * | silicon |
| thickness | 1.2 μm | 0.1 μm | 75 μm | 30 µm | 5 μm | |
| diameter | 4.9 mm | 0.125 mm | 1.8 mm | 2 mm | 1.12 mm | |
| resonant frequency | 40 kHz | 10 kHz | 252 kHz | 300 kHz | 60 kHz | |
| sensitivity | / | 1100 nm/kPa | 3.9 nm/kPa | / | 733 nm/kPa | |
| fabrication process | FP cavity length control | nanometer displacement table | translation stage | translation stage | micrometer | self-adjusted by the stepped hole |
| assembling | ferrule, capillary, and fiber fixed by epoxy | ferrule and fiber held by curable gel, grapheme diaphragm transferred from the sample | silica diaphragm, ferrule, and sleeve with fiber bonded by thermal laser welding | PTFE diaphragm, tubes, and fiber bonded by glue | sensor chip, tube, and fiber fixed by glue | |
| productivity | low | low | low | low | high | |
© 2018 by the authors. Licensee MDPI, Basel, Switzerland. This article is an open access article distributed under the terms and conditions of the Creative Commons Attribution (CC BY) license (http://creativecommons.org/licenses/by/4.0/).
Share and Cite
Si, W.; Fu, C.; Li, D.; Li, H.; Yuan, P.; Yu, Y. Directional Sensitivity of a MEMS-Based Fiber-Optic Extrinsic Fabry–Perot Ultrasonic Sensor for Partial Discharge Detection. Sensors 2018, 18, 1975. https://doi.org/10.3390/s18061975
Si W, Fu C, Li D, Li H, Yuan P, Yu Y. Directional Sensitivity of a MEMS-Based Fiber-Optic Extrinsic Fabry–Perot Ultrasonic Sensor for Partial Discharge Detection. Sensors. 2018; 18(6):1975. https://doi.org/10.3390/s18061975
Chicago/Turabian StyleSi, Wenrong, Chenzhao Fu, Delin Li, Haoyong Li, Peng Yuan, and Yiting Yu. 2018. "Directional Sensitivity of a MEMS-Based Fiber-Optic Extrinsic Fabry–Perot Ultrasonic Sensor for Partial Discharge Detection" Sensors 18, no. 6: 1975. https://doi.org/10.3390/s18061975
APA StyleSi, W., Fu, C., Li, D., Li, H., Yuan, P., & Yu, Y. (2018). Directional Sensitivity of a MEMS-Based Fiber-Optic Extrinsic Fabry–Perot Ultrasonic Sensor for Partial Discharge Detection. Sensors, 18(6), 1975. https://doi.org/10.3390/s18061975

