Three-Dimensional Terahertz Coded-Aperture Imaging Based on Matched Filtering and Convolutional Neural Network
Abstract
:1. Introduction
| Algorithm 1. Imaging procedure of matched filtering (MF)-terahertz coded-aperture imaging (TCAI) (MF-TCAI) | |
| Input | The original back-signal vector . |
| Step 1 | Obtain the range-profile vector by MF process with . |
| Step 2 | Extract , , , and of different imaging planes from , and index the related rows, respectively. |
| Step 3 | Construct the MF reference-signal matrices , , , and corresponding to , , , and , respectively. The constructing operation is shown as:
|
| Step 4 | Reconstruct , , , and of different imaging planes according to Equation (12). |
| Output | Return three-dimensional (3D) imaging result in combination of , , , and . |
2. Principle and Model
2.1. Conventional TCAI
2.1.1. The Transmitting Process
2.1.2. The Receiving Process
2.2. MF-Based TCAI
2.2.1. MF Process with the Back-Signal Vector
2.2.2. Extraction of the Range-Profile Vector
2.2.3. Construction of the MF Reference-Signal Matrix
2.2.4. Target Reconstruction Based on MF
3. Improved Imaging by CNN
3.1. CNN Architecture Design
3.2. CNN Learning Technique
3.2.1. Generation of Training and Validation Sets
3.2.2. CNN Parameters Set
3.2.3. CNN Training Process
| Algorithm 2. Procedure of CNN-learning based MF-TCAI | |
| Input | Initial 3D reconstruction from MF-TCAI. |
| Step 1 | Generate training and validation sets. |
| Step 2 | Set CNN parameters: the number of convolutional layers L, the size of the kernel , weight coefficient , additive bias is , gradient descent coefficient , learning rate , training cycle, and batch size during each training. |
| Step 3 | Train the CNN by forward and back propagations using Equations (15), (21), and (22). |
| Output | Return 3D imaging result through the trained CNN. |
4. Experimental Results
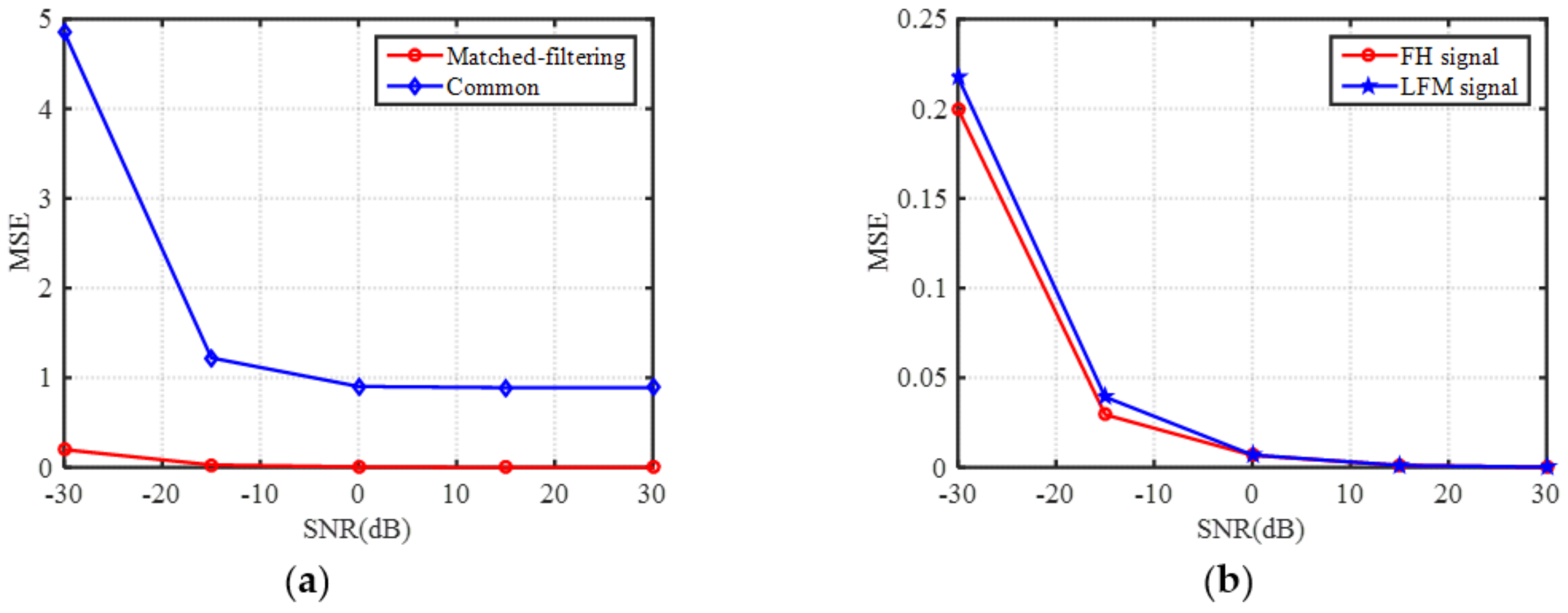
4.1. Back Signal Analysis
4.2. Radiation Field Analysis
4.3. Initial Imaging Results Based on MF
4.4. CNN Training Results
4.5. Further Imaging Results Based on CNN
5. Conclusions
Author Contributions
Funding
Conflicts of Interest
References
- Watts, C.M.; Shrekenhamer, D.; Montoya, J.; Lipworth, G.; Hunt, J.; Sleasman, T.; Krishna, S.; Smith, D.R.; Padilla, W.J. Terahertz compressive imaging with metamaterial spatial light modulators. Nat. Photonics 2014, 8, 605–609. [Google Scholar] [CrossRef]
- Li, Y.B.; Li, L.L.; Xu, B.B.; Wu, W.; Wu, R.Y.; Wan, X.; Cheng, Q.; Cui, T.J. Transmission-type 2-bit programmable metasurface for single-sensor and single-frequency microwave imaging. Sci. Rep. 2016, 6, 23731. [Google Scholar] [CrossRef] [PubMed]
- Gollub, J.N.; Yurduseven, O.; Trofatter, K.P.; Arnitz, D.; Imani, M.F.; Sleasman, T.; Boyarsky, M.; Rose, A.; Pedross-Engel, A.; Odabasi, H.; et al. Large metasurface aperture for millimeter wave computational imaging at the human-scale. Sci. Rep. 2017, 7, 42650. [Google Scholar] [CrossRef] [PubMed]
- Sun, B.; Edgar, M.P.; Bowman, R.; Vittert, L.E.; Welsh, S.; Bowman, A.; Padgett, M.J. 3D computational imaging with single-pixel detectors. Science 2013, 340, 844–847. [Google Scholar] [CrossRef] [PubMed]
- Hunt, J.; Driscoll, T.; Mrozack, A.; Lipworth, G.; Reynolds, M.; Brady, D.; Smith, D.R. Metamaterial apertures for computational imaging. Science 2013, 339, 310–313. [Google Scholar] [CrossRef] [PubMed]
- Liu, Z.; Tan, S.; Wu, J.; Li, E.; Shen, X.; Han, S. Spectral camera based on ghost imaging via sparsity constraints. Sci. Rep. 2016, 6, 25718. [Google Scholar] [CrossRef] [PubMed]
- Yu, H.; Lu, R.; Han, S.; Xie, H.; Du, G.; Xiao, T.; Zhu, D. Fourier-transform ghost imaging with hard X rays. Phys. Rev. Lett. 2016, 117, 113901. [Google Scholar] [CrossRef] [PubMed]
- Li, D.; Li, X.; Qin, Y.; Cheng, Y.; Wang, H. Radar Coincidence Imaging: An Instantaneous Imaging Technique with Stochastic Signals. IEEE Trans. Geosci. Remote Sens. 2014, 52, 2261–2277. [Google Scholar]
- Li, D.; Li, X.; Cheng, Y.; Qin, Y.; Wang, H. Radar Coincidence Imaging under Grid Mismatch. ISRN Signal Process. 2016, 2014, 987803. [Google Scholar] [CrossRef]
- Tribe, W.R.; Taday, P.F.; Kemp, M.C. Hidden object detection: Security applications of terahertz technology. In Proceedings of the International Society for Optical Engineering, San Jose, CA, USA, 26–29 January 2004; pp. 168–176. [Google Scholar]
- Sheen, D.M.; Hall, T.E.; Severtsen, R.H.; McMakin, D.L.; Hatchell, B.K.; Valdez, P.L. Standoff concealed weapon detection using a 350-GHz radar imaging system. In Proceedings of the International Society for Optical Engineering, Orlando, FL, USA, 5–9 April 2010; pp. 115–118. [Google Scholar]
- Friederich, F.; Von Spiegel, W.; Bauer, M.; Meng, F.; Thomson, M.D.; Boppel, S.; Lisauskas, A.; Hils, B.; Krozer, V.; Keil, A.; et al. THz active imaging systems with real-time capabilities. IEEE Trans. Terahertz Sci. Technol. 2011, 1, 183–200. [Google Scholar] [CrossRef]
- Zvolensky, T.; Gollub, J.N.; Marks, D.L.; Smith, D.R. Design and analysis of a W-band metasurface-based computational imaging system. IEEE Access 2017, 5, 9911–9918. [Google Scholar] [CrossRef]
- Sleasman, T.; Boyarsky, M.; Pulido-Mancera, L.; Fromenteze, T.; Imani, M.F.; Reynolds, M.S.; Smith, D.R. Experimental Synthetic Aperture Radar with Dynamic Metasurfaces. Nat. Commun. 2013, 4, 2808. [Google Scholar] [CrossRef]
- Hashemi, M.R.; Yang, S.H.; Wang, T.; Sepúlveda, N.; Jarrahi, M. Electronically-controlled beam-steering through vanadium dioxide metasurfaces. Sci. Rep. 2016, 6, 35439. [Google Scholar] [CrossRef] [PubMed]
- Naftali, L.; Eran, S. Design and measurements of 100 GHz reflectarray and transmitarray active antenna cells. IEEE Trans. Antennas Propag. 2017, 65, 6986–6997. [Google Scholar]
- Wallace, H.B. Advanced Scanning Technology for Imaging Radars (ASTIR). Available online: https://govtribe.com/project/advanced-scanning-technology-for-imaging-radars-astir-1 (accessed on 18 August 2014).
- Lynch, J.J.; Herrault, F.; Kona, K.; Virbila, G.; McGuire, C.; Wetzel, M.; Fung, H.; Prophet, E. Coded aperture subreflector array for high resolution radar imaging. In Proceedings of the International Society for Optical Engineering, Anaheim, CA, USA, 9–13 April 2017. [Google Scholar]
- Chen, S.; Luo, C.; Deng, B.; Wang, H.; Cheng, Y.; Zhuang, Z. Three-dimensional terahertz coded-aperture imaging based on single input multiple output technology. Sensors 2018, 18, 303. [Google Scholar] [CrossRef] [PubMed]
- Da Poian, G.; Rozell, C.J.; Bernardini, R.; Rinaldo, R.; Clifford, G.D. Matched filtering for heart rate estimation on compressive sensing ECG measurements. IEEE Trans. Biomed. Eng. 2017. [Google Scholar] [CrossRef] [PubMed]
- Yezhov, P.V.; Kuzmenko, A.V.; Kim, J.T.; Smirnova, T.N. Method of synthesized phase objects for pattern recognition: Matched filtering. Opt. Express 2012, 20, 29854–29866. [Google Scholar] [CrossRef] [PubMed]
- Jin, K.H.; McCann, M.T.; Froustey, E.; Unser, M. Deep Convolutional Neural Network for Inverse Problems in Imaging. IEEE Trans. Image Process. 2017, 26, 4509–4522. [Google Scholar] [CrossRef] [PubMed]
- Zhang, Z.; Wang, H.; Xu, F.; Jin, Y.Q. Complex-valued convolutional neural network and its application in polarimetric SAR image classification. IEEE Trans. Geosci. Remote Sens. 2017, 55, 7177–7188. [Google Scholar] [CrossRef]
- Zhang, K.; Zuo, W.; Chen, Y.; Meng, D.; Zhang, L. Beyond a Gaussian denoiser: Residual learning of deep CNN for image denoising. IEEE Trans. Image Process. 2017, 26, 3142–3155. [Google Scholar] [CrossRef] [PubMed]
- Chen, S.; Luo, C.; Deng, B.; Qin, Y.; Wang, H. Study on coding strategies for radar coded-aperture imaging in terahertz band. J. Electron. Imaging 2017, 26, 1. [Google Scholar] [CrossRef]
- Zhou, X.; Wang, H.; Cheng, Y.; Qin, Y. Radar Coincidence Imaging with Phase Error Using Bayesian Hierarchical Prior Modeling. J. Electron. Imaging 2016, 25, 013018. [Google Scholar] [CrossRef]
- Cao, K.; Zhou, X.; Cheng, Y.; Fan, B.; Qin, Y. Total variation-based method for radar coincidence imaging with model mismatch for extended target. J. Electron. Imaging 2017, 26, 063007. [Google Scholar] [CrossRef]














| Parameter | Value |
|---|---|
| Center frequency (fc) | 340 GHz |
| Bandwidth (B) | 20 GHz |
| Pulse width (Tp) | 100 ns |
| Size of the coded aperture | 0.5 m × 0.5 m |
| Number of the coded-aperture array elements | 25 × 25 |
| Sampling frequency (fs) | 25 GHz |
| Range of Scene 1 | 1.5 m |
| Range of Scene 2 | 2 m |
| Range of Scene 3 | 2.5 m |
| Range of Scene 4 | 3 m |
| Size of the grid cell | 0.0025 m × 0.0025 m |
| Number of the convolutional layers | 5 |
| Scene 1 | Scene 2 | Scene 3 | Scene 4 | |
|---|---|---|---|---|
| Conventional TCAI | 568 | 456 | 358 | 279 |
| MF-TCAI | 581 | 475 | 371 | 290 |
© 2018 by the authors. Licensee MDPI, Basel, Switzerland. This article is an open access article distributed under the terms and conditions of the Creative Commons Attribution (CC BY) license (http://creativecommons.org/licenses/by/4.0/).
Share and Cite
Chen, S.; Luo, C.; Wang, H.; Deng, B.; Cheng, Y.; Zhuang, Z. Three-Dimensional Terahertz Coded-Aperture Imaging Based on Matched Filtering and Convolutional Neural Network. Sensors 2018, 18, 1342. https://doi.org/10.3390/s18051342
Chen S, Luo C, Wang H, Deng B, Cheng Y, Zhuang Z. Three-Dimensional Terahertz Coded-Aperture Imaging Based on Matched Filtering and Convolutional Neural Network. Sensors. 2018; 18(5):1342. https://doi.org/10.3390/s18051342
Chicago/Turabian StyleChen, Shuo, Chenggao Luo, Hongqiang Wang, Bin Deng, Yongqiang Cheng, and Zhaowen Zhuang. 2018. "Three-Dimensional Terahertz Coded-Aperture Imaging Based on Matched Filtering and Convolutional Neural Network" Sensors 18, no. 5: 1342. https://doi.org/10.3390/s18051342
APA StyleChen, S., Luo, C., Wang, H., Deng, B., Cheng, Y., & Zhuang, Z. (2018). Three-Dimensional Terahertz Coded-Aperture Imaging Based on Matched Filtering and Convolutional Neural Network. Sensors, 18(5), 1342. https://doi.org/10.3390/s18051342

