A Highly Thermostable In2O3/ITO Thin Film Thermocouple Prepared via Screen Printing for High Temperature Measurements
Abstract
1. Introduction
2. Materials and Methods
2.1. Fabrication of In2O3/ITO Thin Film Thermocouple
2.2. Measurements
3. Results and Discussion
3.1. Microstructures of ITO and In2O3 Films
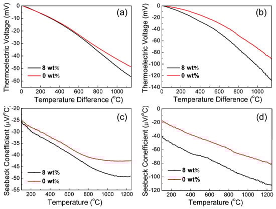
3.2. Thermoelectric Properties
3.3. Thermal Responses of In2O3/ITO Thin Film Thermocouple
4. Conclusions
Supplementary Materials
Acknowledgments
Author Contributions
Conflicts of Interest
References
- Yang, J.; Li, M.; Zhang, H.L.; Gao, C.X. Preparation of W-Ta thin-film thermocouple on diamond anvil cell for in-situ temperature measurement under high pressure. Rev. Sci. Instrum. 2011, 82, 045108. [Google Scholar] [CrossRef] [PubMed]
- Godefroy, J.C.; Gageant, C.; François, D.; Portat, M. Thin film temperature sensors deposited by radio frequency cathodic sputtering. J. Vac. Sci. Technol. A Vac. Surf. Films 1987, 5, 2917–2923. [Google Scholar] [CrossRef]
- Char, J.M.; Yeh, J.H. Study on propane flame temperature measurement with infrared technique. Exp. Therm. Fluid Sci. 1993, 7, 154–155. [Google Scholar] [CrossRef]
- Torres, G.B.; Payá-Zafortezaa, I.; Calderón, G.P.A. New fiber optic sensor for monitoring temperatures in concrete structures during fires. Sens. Actuators A Phys. 2017, 254, 116–125. [Google Scholar]
- Tougas, I.M.; Gregory, O.J. Thin film platinum-palladium thermocouples for gas turbine engine applications. Thin Solid Films 2013, 539, 345–349. [Google Scholar] [CrossRef]
- Kenneth, D.H. An investigation of palladium oxidation in the platinum/palladium thermocouple system. Metrologia 2002, 39, 51–58. [Google Scholar]
- Budhani, R.C.; Prakash, S.; Bunshah, R.F. Thin-film temperature sensors for gas turbine engines: Problems and prospects. J. Vac. Sci. Technol. A Vac. Surf. Films 1986, 4, 2609–2617. [Google Scholar] [CrossRef]
- Francis, E.K.; Dan, F.; Li, J.Y. Thin film thermocouple arrays for sliding surface temperature measurement. Wear 1997, 207, 46–54. [Google Scholar]
- Madhu, S.K.M.; Zhao, J.Z.; Li, J.Y.; Pan, H.; Chris, Y.; Li, X.C. In-situ temperature measurement in lithium ion battery by transferable flexible thin film thermocouples. J. Power Sources 2014, 260, 43–49. [Google Scholar]
- Chen, Y.Z.; Jiang, H.C.; Zhao, W.Y.; Zhang, W.L.; Liu, X.Z. Fabrication and calibration of Pt-10% Rh/Pt thin film thermocouples. Measurement 2014, 48, 248–251. [Google Scholar] [CrossRef]
- Kenneth, G.K. Sputtered high temperature thin film thermocouples. J. Vac. Sci. Technol. A Vac. Surf. Films 1993, 11, 1401–1405. [Google Scholar]
- Wrbanek, J.D.; Fralick, G.C.; Zhu, D.M. Ceramic thin film thermocouples for SiC-based ceramic matrix compasites. Thin Solid Films 2012, 520, 5801–5806. [Google Scholar] [CrossRef]
- Ian, M.T.; Matin, A.; Otto, J.G. Metallic and Ceramic Thin Film Thermocouples for Gas Turbine Engines. Sensors 2013, 13, 15324–15347. [Google Scholar]
- Gregory, O.J.; Amani, M.; Tougas, I.M.; Drehman, A.J. Stability and microstructure of indium tin oxynitride thin films. J. Am. Ceram. Soc. 2012, 95, 705–710. [Google Scholar] [CrossRef]
- Dewit, J.H.W. The High Temperature Behavior of In2O3. J. Solid State Chem. 1975, 13, 192–200. [Google Scholar] [CrossRef]
- Sunde, T.O.L.; Einarsrud, M.A.; Grande, T. Solid state sintering of nano-crystalline indium tin oxide. J. Eur. Ceram. Soc. 2013, 33, 565–574. [Google Scholar] [CrossRef]
- Lamoreaux, R.H.; Hildenbrand, D.L.; Brewer, L. High-Temperature Vaporization Behavior of Oxides II. Oxides of Be, Mg, Ca, Sr, Ba, B, Al, Ga, In, Tl, Si, Ge, Sn, Pb, Zn, Cd, and Hg. J. Phys. Chem. Ref. Date 1987, 16, 419–443. [Google Scholar] [CrossRef]
- American Society for Testing and Materials E230/E230M-12. Standard Specification and Temperature- Electromotive Force (EMF) Tables for Standardized Thermocouples; ASTM International: West Conshohocken, PA, USA, 2012. [Google Scholar]
- Zhao, X.H.; Li, H.T.; Chen, Y.Z.; Jiang, H.C. Preparation and thermoelectric characteristics of ITO/Pt thin film thermocouples on Ni-based superalloy substrate. Vacuum 2017, 140, 116–120. [Google Scholar] [CrossRef]
- Gregory, O.J.; Busch, E.; Fralick, G.C.; Chen, X.M. Peparation and characterization of ceramic thin film thermocouples. Thin Solid Film 2010, 518, 6093–6098. [Google Scholar] [CrossRef]
- Zhu, Q.; Hee, S.K.; Ren, Z.F. A rapid method to extract Seebeck coefficient under a large temperature difference. Rev. Sci. Instrum. 2017, 88, 094902. [Google Scholar] [CrossRef] [PubMed]
- Chen, X.; Gregory, O.J.; Amani, M. Thin-film thermocouple based on the system In2O3-SnO2. J. Am. Ceram. Soc. 2011, 94, 854–860. [Google Scholar] [CrossRef]






| In2O3 vs ITO Thermocouples | Drift Rate (°C/h) | ||||
|---|---|---|---|---|---|
| A (mV/°C3) | B (mV/°C2) | C (mV/°C) | D (mV) | ||
| 0wt % | 7.93 10−9 | −4.08 10−6 | 0.033 | 0 | 6.81 |
| 8wt % | 7.53 10−9 | 2.76 10−6 | 0.030 | 0 | 5.44 |
| In2O3/ITO | 0 wt % | 4 wt % | 8 wt % | 12 wt % |
|---|---|---|---|---|
| Seebeck coefficient of In2O3/ITO at 1270 °C (µV/oC) | 39.6 | 41.0 | 44.5 | 38.2 |
© 2018 by the authors. Licensee MDPI, Basel, Switzerland. This article is an open access article distributed under the terms and conditions of the Creative Commons Attribution (CC BY) license (http://creativecommons.org/licenses/by/4.0/).
Share and Cite
Liu, Y.; Ren, W.; Shi, P.; Liu, D.; Zhang, Y.; Liu, M.; Ye, Z.-G.; Jing, W.; Tian, B.; Jiang, Z. A Highly Thermostable In2O3/ITO Thin Film Thermocouple Prepared via Screen Printing for High Temperature Measurements. Sensors 2018, 18, 958. https://doi.org/10.3390/s18040958
Liu Y, Ren W, Shi P, Liu D, Zhang Y, Liu M, Ye Z-G, Jing W, Tian B, Jiang Z. A Highly Thermostable In2O3/ITO Thin Film Thermocouple Prepared via Screen Printing for High Temperature Measurements. Sensors. 2018; 18(4):958. https://doi.org/10.3390/s18040958
Chicago/Turabian StyleLiu, Yantao, Wei Ren, Peng Shi, Dan Liu, Yijun Zhang, Ming Liu, Zuo-Guang Ye, Weixuan Jing, Bian Tian, and Zhuangde Jiang. 2018. "A Highly Thermostable In2O3/ITO Thin Film Thermocouple Prepared via Screen Printing for High Temperature Measurements" Sensors 18, no. 4: 958. https://doi.org/10.3390/s18040958
APA StyleLiu, Y., Ren, W., Shi, P., Liu, D., Zhang, Y., Liu, M., Ye, Z.-G., Jing, W., Tian, B., & Jiang, Z. (2018). A Highly Thermostable In2O3/ITO Thin Film Thermocouple Prepared via Screen Printing for High Temperature Measurements. Sensors, 18(4), 958. https://doi.org/10.3390/s18040958

