Effect of Distributed Mass on the Node, Frequency, and Sensitivity of Resonant-Mode Based Cantilevers
Abstract
:1. Introduction
2. Theory and Derivation
3. Materials and Mass Load Conditions
4. Results and Discussion
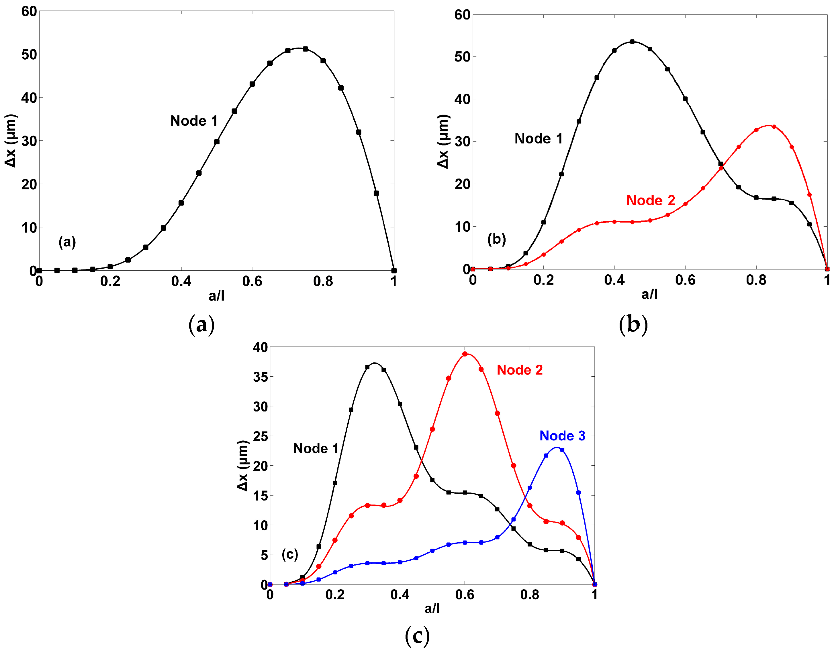
4.1. Effecton Modes of Vibration and Nodal Positions
4.2. Effecton Resonant Frequency
4.3. Effecton Sensitivity
5. Conclusions
- Asymmetric mass load distribution causes the nodal points as well as the sensitive regions to shift but the shift value is not related to the degree of symmetry of mass load distribution.
- There are n − 1 local maximal and n − 1 local minimal values for the sensitivity changing as mass load length when the cantilever vibrates in the nth-order resonance and the maximal sensitivity is found at the first local maximal value.
- The behavior of mass load length as a function of the maximal sensitivity follows the rule of an exponent decaying function.
- Sensitivity linearly increases as the load mass increases for the same mass load distribution and behavior of the slopes as a function of mass load length is very similar to that of the sensitivity in the same order resonance but the peak and valley positions are different.
Acknowledgments
Author Contributions
Conflicts of Interest
References
- Johnson, B.N.; Mutharasan, R. Biosensing using dynamic-mode cantilever sensors: A review. Biosens. Bioelectron. 2012, 32, 1–18. [Google Scholar] [CrossRef] [PubMed]
- Zhang, K.W.; Zhang, L.; Fu, L.L.; Li, S.Q.; Chen, H.Q.; Cheng, Z.Y. Magnetostrictive resonators as sensors and actuators. Sens. Actuators A Phys. 2013, 200, 2–10. [Google Scholar] [CrossRef]
- Sharma, H.; Mutharasan, R. Rapid and sensitive immuno detection of Listeria monocytogenes in milk using a novel piezoelectric cantilever sensor. Biosens. Bioelectron. 2013, 45, 158–162. [Google Scholar] [CrossRef] [PubMed]
- Rosario, R.; Mutharasan, R. Piezoelectric excited millimeter sized cantilever sensors formeasuring gas density changes. Sens. Actuators B Chem. 2014, 192, 99–104. [Google Scholar] [CrossRef]
- Johnson, B.N.; Mutharasan, R. A cantilever biosensor-based assay for toxin-producing cyanobacteria Microcystis aeruginosa using 16S rRNA. Environ. Sci. Technol. 2013, 42, 12333–12341. [Google Scholar] [CrossRef] [PubMed]
- Zhang, K.W.; Fu, L.L.; Zhang, L.; Cheng, Z.Y.; Huang, T.S. Magnetostrictive particle based biosensors for in situ and real-time detection of pathogens in water. Biotechnol. Bioeng. 2014, 111, 2229–2238. [Google Scholar] [CrossRef] [PubMed]
- Fu, L.L.; Zhang, K.W.; Li, S.Q.; Wang, Y.H.; Huang, T.S.; Zhang, A.X.; Cheng, Z.Y. In situ real-time detection of E. coli in water using antibody-coatedmagnetostrictive microcantilever. Sens. Actuators B Chem. 2010, 150, 220–225. [Google Scholar] [CrossRef]
- Fu, L.L.; Li, S.Q.; Zhang, K.W.; Chen, I.H.; Petrenko, V.A.; Cheng, Z.Y. Magnetostrictive microcantilever as an advanced transducer for biosensor. Sensors 2007, 7, 2929–2941. [Google Scholar]
- Merhaut, J. Theory of Electroacoustics; McGraw-Hill Inc.: New York, NY, USA, 1981. [Google Scholar]
- Lacheisserie, E. Magnetostriction: Theory and Applications of Magnetoelasticity; CRC Press Inc.: New York, NY, USA, 1993. [Google Scholar]
- Lochon, F.; Dufour, I.; Rebière, D. An alternative solution to improve sensitivity of resonant microcantilever chemical sensors: comparison between using high-order modes and reducing dimensions. Sens. Actuators B Chem. 2005, 108, 979–985. [Google Scholar] [CrossRef]
- Jin, D.Z.; Li, X.X.; Liu, J.; Zuo, G.M.; Wang, Y.L.; Liu, M.; Yu, H.T. High-mode resonant piezoresistive cantilever sensors for tens-femtogram resoluble mass sensing in air. J. Micromech. Microeng. 2011, 16, 1017–1023. [Google Scholar] [CrossRef]
- Johnson, B.N.; Mutharasan, R. Sample preparation-free real-time detection of microRNA in human serum using piezoelectric biosensors at attomole level. Anal. Chem. 2012, 84, 10426–10436. [Google Scholar] [CrossRef]
- Neves, M.A.D.; Blaszykowski, C.; Bokhari, S.; Thompson, M. Ultra-high frequency piezoelectric aptasensor for the label-free detection of cocaine. Biosens. Bioelectron. 2015, 72, 383–392. [Google Scholar] [CrossRef] [PubMed]
- Yi, J.W.; Shih, W.Y.; Shih, W.H. Effect of length, width, and mode on the mass detection sensitivity of piezoelectric unimorph cantilevers. J. Appl. Phys. 2002, 91, 1680–1686. [Google Scholar] [CrossRef]
- Dohn, S.; Svendsen, W.; Boisen, A.; Hansen, O. Mass and position determination of attached particles on cantilever based mass sensors. Rev. Sci. Instrum. 2007, 78. [Google Scholar] [CrossRef] [PubMed]
- Maraldo, D.; Mutharasan, R. Mass-change sensitivity of piezoelectric-excited millimeter-sized cantilever (PEMC) sensors: Model and experiments. Sens. Actuators B Chem. 2008, 132, 140–148. [Google Scholar] [CrossRef]
- Zhang, K.W.; Chai, Y.S.; Fu, J.H. Study of node and mass sensitivity of resonant mode based cantilevers with concentrated mass loading. AIP Adv. 2015, 5. [Google Scholar] [CrossRef]
- Read, D.T. Young’s modulus of thin films by speckle interferometry. Meas. Sci. Technol. 1998, 9, 676–685. [Google Scholar] [CrossRef]
- The Properties of Metglas 2826. Available online: http://www.metglas.com (accessed on 7 July 2017).
- Liang, C.; Morshed, S.; Prorok, B.C. Correction for longitudinal mode vibration in thin slender beams. Appl. Phys. Lett. 2007, 90. [Google Scholar] [CrossRef]
- Johnson, B.N.; Mutharasan, R. A novel experimental technique for determining node location in resonant mode cantilevers. J. Micromech. Microeng. 2011, 21. [Google Scholar] [CrossRef]
- Zhang, K.W.; Zhang, L.; Chai, Y.S. Mass Load Distribution Dependence of Mass Sensitivity of Magnetoelastic Sensors under Different Resonance Modes. Sensors 2015, 15, 20267–20278. [Google Scholar] [CrossRef] [PubMed]








| Properties | Beam Materials | Symbol | Unit | Value |
|---|---|---|---|---|
| Young’s modulus | Copper | Ep | GPa | 110 [19] |
| Metglas 2826 | Ea | 105 [20] | ||
| Density | Copper | ρp | kg/m3 | 8.9 × 103 [19] |
| Metglas 2826 | ρa | 7.9 × 103 [20] | ||
| Poisson’s ratio | Copper | vp | / | 0.36 [19] |
| Metglas 2826 | va | / | 0.33 [21] | |
| Length | Copper | l | mm | 1 |
| Metglas 2826 | ||||
| Width | Copper | w | mm | 0.2 |
| Metglas 2826 | ||||
| Thickness | Copper | tp | μm | 15 |
| Metglas 2826 | ta | |||
| Length ratio of mass load to the cantilever beam | Copper | a/l | / | 0, 0.1, 0.2, …, 1.0 |
| ρmAm/ρ0A0 | / | r | / | 0.5, 0.6, 0.7, 0.8, 0.9, 1 |
© 2017 by the authors. Licensee MDPI, Basel, Switzerland. This article is an open access article distributed under the terms and conditions of the Creative Commons Attribution (CC BY) license (http://creativecommons.org/licenses/by/4.0/).
Share and Cite
Zhang, K.; Zhu, Q.; Chen, Z. Effect of Distributed Mass on the Node, Frequency, and Sensitivity of Resonant-Mode Based Cantilevers. Sensors 2017, 17, 1621. https://doi.org/10.3390/s17071621
Zhang K, Zhu Q, Chen Z. Effect of Distributed Mass on the Node, Frequency, and Sensitivity of Resonant-Mode Based Cantilevers. Sensors. 2017; 17(7):1621. https://doi.org/10.3390/s17071621
Chicago/Turabian StyleZhang, Kewei, Qianke Zhu, and Zhe Chen. 2017. "Effect of Distributed Mass on the Node, Frequency, and Sensitivity of Resonant-Mode Based Cantilevers" Sensors 17, no. 7: 1621. https://doi.org/10.3390/s17071621
APA StyleZhang, K., Zhu, Q., & Chen, Z. (2017). Effect of Distributed Mass on the Node, Frequency, and Sensitivity of Resonant-Mode Based Cantilevers. Sensors, 17(7), 1621. https://doi.org/10.3390/s17071621
