Dynamic Voltage-Frequency and Workload Joint Scaling Power Management for Energy Harvesting Multi-Core WSN Node SoC
Abstract
:1. Introduction
2. Related Works
3. Problem Modeling and Terms
3.1. Hardware Description
3.2. Application Model
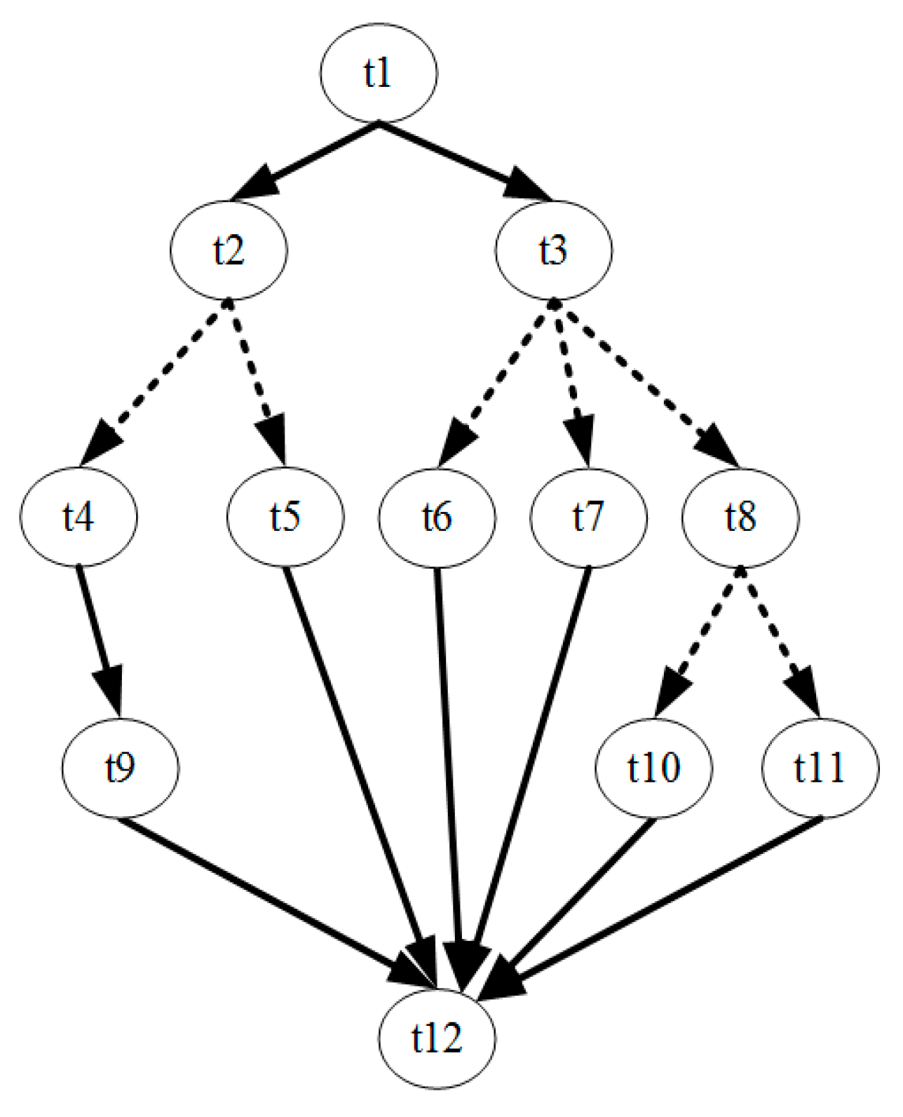
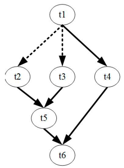
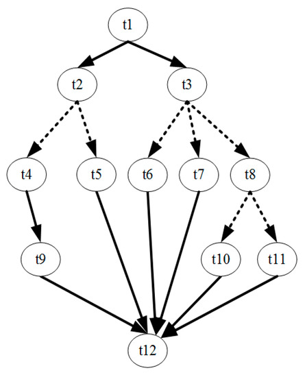
- ProgramA program is the implementation of a function or application of the system. The programs are independently and can run concurrently. For example, a WSN node may run sampling and processing programs for several sensors, a routing program, a location program, and so on separately. A program consists of a group of conjoint tasks executing on various PEs and can be expressed by a Task Flow Graph (TFG). We assume that every program has a hard deadline, considering the WSNs are usually real-time systems. A program will be cancelled when it has not been completed by its deadline. Besides, assume that all programs are periodic as is typical in WSN applications.
- Task and WorkloadEach task has a workload and different executing speeds on different PEs. Besides, some tasks in some programs have multiple work modes, corresponding to different levels of working effort, such as the rate of sensor sampling or self-testing, the data accuracy of processing, or the number of iterations of a learning algorithm. Workload is introduced as a unified measurement of the quantity of the works done by a task. It is the normalized amount of operations of a task. For different tasks of different applications workload can refer to the efforts in different metrics, e.g., the accuracy or reliability. Some tasks have fixed workload, and some tasks have scalable workload. There is a valid range of workload of each task, the lower bound is the least work to be done to maintain the task’s function and the upper bound is the maximum amount of meaningful work within a time window. Excess workload has no contribution to the quality of service.
3.3. Problem Description
3.3.1. Task Scheduling
3.3.2. Configuration Optimization
4. Task Scheduling Algorithm
5. Configuration Optimization
- Start from the configuration of the minimum workload and the lowest supply voltage, and then check the timing slacks. Increase the PE’s voltages and frequencies when execute the tasks on the paths having timing violations to meet the time constraint. A steepest drop algorithm is applied. It repeats scaling up the voltage and frequency of the task with the highest ratio of the performance improvement to the power increment and then updating the time slacks until all deadlines are met. For the mutual exclusive tasks, the paths are handled separately.
- Check the power budget, if the energy slack is sufficient, go to Step 3, otherwise finish the optimization and output the result. Should there be a violation of power budget, this will be reported to the power budget planning module, which will take measures such as down regulating the power budget of the incoming time windows to compensate the energy deficit. For the conditional tasks, the product of their energy consumption and execution probability is taken as their energy for estimation instead.
- Scale up the workload of the tasks on the paths with positive timing slack. This procedure starts from the path with the minimum timing slack and is repeated until no positive timing slack left on any path. During the workload scaling, the tasks on a path are scaled along the direction of edges. A task will be scaled after all the precedence tasks on this path have been scaled. In addition, the power budget will be updated after each task scaling, so that the scaling of the later tasks will not cause violation of the former scaled tasks. At that time, if no surplus energy budget remains, the optimization will finish, otherwise, go to Step 4.
- Increase the workload of the tasks together with the voltage, ensuring that each task’s execution time is unchanged until all surplus energy is utilized. In this step, the tasks with higher reward/energy ratios are scaled first. If either the voltages of all PEs or the workloads of all tasks already reach their upper bounds, finish the optimization and output the result. The surplus energy will be stored for later use.
6. Test Results
7. Conclusions
Acknowledgments
Author Contributions
Conflicts of Interest
References
- Levron, Y.; Shmilovitz, D.; Martínez-Salamero, L. A power management strategy for minimization of energy storage reservoirs in wireless systems with energy harvesting. IEEE Trans. Circuits Syst. I: Regul. Pap. 2011, 58, 633–643. [Google Scholar] [CrossRef]
- Shakhsheer, Y.; Zhang, Y.; Otis, B.; Calhoun, B.H. A custom processor for node and power management of a battery-less body sensor node in 130 nm CMOS. In Proceedings of the 2012 IEEE Custom Integrated Circuits Conference (CICC), San Jose, CA, USA, 9–12 September 2012; pp. 1–4.
- Liu, Q.; Mak, T.; Luo, J.; Luk, W.; Yakovlev, A. Power adaptive computing system design in energy harvesting environment. In Proceedings of the 2011 International Conference on Embedded Computer Systems (SAMOS), Samos, Greece, 18–21 July 2011; pp. 33–40.
- Stojčev, M.K.; Kosanović, M.R.; Golubović, L.R. Power management and energy harvesting techniques for wireless sensor nodes. In Proceedings of the 9th International Conference on Telecommunications in Modern Satellite, Cable, and Broadcasting Services, Niš, Serbia, 7–9 October 2009; pp. 65–72.
- Wang, J.; Ying, B.; Liu, Y.; Yang, H.; Wang, H. Energy efficient architecture of sensor network node based on compression accelerator. In Proceedings of the 19th ACM Great Lakes Symposium on VLSI, Boston Area, MA, USA, 10–12 May 2009.
- Hempstead, M.; Brooks, D.; Wei, G.-Y. An accelerator-based wireless sensor network processor in 130 nm cmos. IEEE J. Emerg. Sel. Top. Circuits Syst. 2011, 1, 193–202. [Google Scholar] [CrossRef]
- Xu, J.; Parnas, D.L. Scheduling processes with release times, deadlines, precedence and exclusion relations. IEEE Trans. Softw. Eng. 1990, 16, 360–369. [Google Scholar] [CrossRef]
- Dargie, W. Dynamic power management in wireless sensor networks: State-of-the-art. IEEE Sens. J. 2012, 12, 1518–1528. [Google Scholar] [CrossRef]
- Kansal, A.; Hsu, J.; Zahedi, S.; Srivastava, M.B. Power management in energy harvesting sensor networks. ACM Trans. Embed. Comput. Syst. 2007, 6, 32. [Google Scholar] [CrossRef]
- Ibarra, E.; Antonopoulos, A.; Kartsakli, E.; Rodrigues, J.J.P.C.; Verikoukis, C. QoS-aware energy management in body sensor nodes powered by human energy harvesting. IEEE Sens. J. 2016, 16, 542–549. [Google Scholar] [CrossRef]
- Liu, Q.; Mak, T.; Zhang, T.; Niu, X.; Luk, W.; Yakovlev, A. Power-Adaptive Computing System Design for Solar-Energy-Powered Embedded Systems. IEEE Trans. Very Large Scale Integr. Syst. 2015, 23, 1402–1414. [Google Scholar] [CrossRef]
- Yang, H.; Zhang, Y. A task scheduling algorithm based on supercapacitor charge redistribution and energy harvesting for wireless sensor nodes. J. Energy Storage 2016, 6, 186–194. [Google Scholar] [CrossRef]
- Chen, J.; Wei, T.; Liang, J. State-Aware Dynamic Frequency Selection Scheme for Energy-Harvesting Real-Time Systems. IEEE Trans. Very Large Scale Integr. Syst. 2014, 22, 1679–1692. [Google Scholar] [CrossRef]
- Wang, X.; Li, Z.; Yang, M.; Jiang, Y.; Daneshtalab, M.; Mak, T. Agile frequency scaling for adaptive power allocation in many-core systems powered by renewable energy sources. In Proceedings of the 2014 IEEE 19th Asia and South Pacific Design Automation Conference (ASP-DAC), Singapore, 20–23 January 2014.
- Li, H.; Liu, Y.; Fu, C.; Xue, C.J.; Yue, D.X.J.; Li, J.; Zhang, D.; Hu, J.; Yang, H. Performance-aware task scheduling for energy harvesting nonvolatile processors considering power switching overhead. In Proceedings of the 53rd Annual Design Automation Conference, Austin, TX, USA, 5–9 June 2016.
- Rao, V.S.; Prasad, R.V.; Niemegeers, I.G.M.M. Optimal task scheduling policy in energy harvesting wireless sensor networks. In Proceedings of the 2015 IEEE Wireless Communications and Networking Conference (WCNC), New Orleans, LA, USA, 9–12 March 2015.
- Severini, M.; Squartini, S.; Piazza, F. Energy-aware lazy scheduling algorithm for energy-harvesting sensor nodes. Neural Comput. Appl. 2013, 23, 1899–1908. [Google Scholar] [CrossRef]
- Zhang, D.; Liu, Y.; Sheng, X.; Li, J.; Wu, T.; Xue, C.J.; Yang, H. Deadline-aware task scheduling for solar-powered nonvolatile sensor nodes with global energy migration. In Proceedings of the 2015 52nd ACM/EDAC/IEEE Design Automation Conference (DAC), San Francisco, CA, USA, 8–12 June 2015.
- Yi, X. A Semi-Dynamic Resource Management Framework for Multicore Embedded Systems with Energy Harvesting. Ph.D. Thesis, Colorado State University, Fort Collins, CO, USA, 2016. [Google Scholar]
- Yi, X.; Pasricha, S. Run-Time Management for Multicore Embedded Systems with Energy Harvesting. IEEE Trans. Very Large Scale Integr. Syst. 2015, 23, 2876–2889. [Google Scholar]
- Bogdan, P.; Marculescu, R.; Jain, S.; Gavila, R.T. An optimal control approach to power management for multi-voltage and frequency islands multiprocessor platforms under highly variable workloads. In Proceedings of the 2012 Sixth IEEE/ACM International Symposium on Networks on Chip (NoCS), Lyngby, Denmark, 9–11 May 2012.
- Lu, J.; Qiu, Q. Scheduling and mapping of periodic tasks on multi-core embedded systems with energy harvesting. In Proceedings of the IEEE 2011 International Green Computing Conference and Workshops (IGCC), Orlando, FL, USA, 25–28 July 2011.
- Wang, X.; Zhao, B.; Mak, T.; Yang, M.; Jiang, Y.; Daneshtalab, M. An efficient runtime power allocation scheme for many-core systems inspired from auction theory. Integr. VLSI J. 2015, 50, 147–157. [Google Scholar] [CrossRef]
- Lin, X.; Wang, Y.; Yue, S.; Chang, N.; Pedram, M. A framework of concurrent task scheduling and dynamic voltage and frequency scaling in real-time embedded systems with energy harvesting. In Proceedings of the 2013 International Symposium on Low Power Electronics and Design, Beijing, China, 4–6 September 2013.
- Zhang, X.; Kim, G.-B.; Bae, H.-Y. A reliable dynamic power management method for Wireless Body Area Network. In Proceedings of the IEEE 2014 International Conference on Information and Communication Technology Convergence (ICTC), Busan, Korea, 22–24 October 2014.
- Dang, N.; Bozorgzadeh, E.; Venkatasubramanian, N. QuARES: Quality-aware data collection in energy harvesting sensor networks. In Proceedings of the IEEE 2011 International Green Computing Conference and Workshops (IGCC), Orlando, FL, USA, 25–28 July 2011.
- Srbinovski, B.; Magno, M.; O’Flynn, B.; Pakrashi, V.; Popovici, E. Energy aware adaptive sampling algorithm for energy harvesting wireless sensor networks. In Proceedings of the 2015 IEEE Sensors Applications Symposium (SAS), Zadar, Croatia, 13–15 April 2015.
- Zhang, B.; Simon, R.; Aydin, H. Harvesting-aware energy management for time-critical wireless sensor networks with joint voltage and modulation scaling. IEEE Trans. Ind. Inform. 2013, 9, 514–526. [Google Scholar] [CrossRef]
- Lawler, E.L.; Martel, C.U. Scheduling periodically occurring tasks on multiple processors. Inf. Process. Lett. 1981, 12, 9–12. [Google Scholar] [CrossRef]
- Winter, J.A.; Albonesi, D.H.; Shoemaker, C.A. Scalable thread scheduling and global power management for heterogeneous many-core architectures. In Proceedings of the 19th International Conference on Parallel Architectures and Compilation Techniques, Vienna, Austria, 11–15 September 2010.
- Zhang, Y.; Sharon Hu, X.; Chen, D.Z. Task scheduling and voltage selection for energy minimization. In Proceedings of the 39th annual Design Automation Conference, New Orleans, LA, USA, 10–14 June 2002.
- Xie, Y.; Wolf, W. Allocation and scheduling of conditional task graph in hardware/software co-synthesis. In Proceedings of the Conference on Design, Automation and Test in Europe, Munich, Germany, 12–16 March 2001.
- Dick, R.P.; Rhodes, D.L.; Wolf, W. TGFF: Task graphs for free. In Proceedings of the Sixth International Workshop on Hardware/Software Codesign (CODES/CASHE ‘98), Seattle, WA, USA, 18 March 1998.









| Number of Tasks | Clock Cycle | CPU Time (ms) | Memory (Bytes) |
|---|---|---|---|
| 19 | 357,842 | 17.9 | 15,072 |
| 25 | 728,543 | 36.42 | 28,874 |
| 45 | 3,387,457 | 169.37 | 137,872 |
© 2017 by the authors. Licensee MDPI, Basel, Switzerland. This article is an open access article distributed under the terms and conditions of the Creative Commons Attribution (CC BY) license ( http://creativecommons.org/licenses/by/4.0/).
Share and Cite
Li, X.; Xie, N.; Tian, X. Dynamic Voltage-Frequency and Workload Joint Scaling Power Management for Energy Harvesting Multi-Core WSN Node SoC. Sensors 2017, 17, 310. https://doi.org/10.3390/s17020310
Li X, Xie N, Tian X. Dynamic Voltage-Frequency and Workload Joint Scaling Power Management for Energy Harvesting Multi-Core WSN Node SoC. Sensors. 2017; 17(2):310. https://doi.org/10.3390/s17020310
Chicago/Turabian StyleLi, Xiangyu, Nijie Xie, and Xinyue Tian. 2017. "Dynamic Voltage-Frequency and Workload Joint Scaling Power Management for Energy Harvesting Multi-Core WSN Node SoC" Sensors 17, no. 2: 310. https://doi.org/10.3390/s17020310
APA StyleLi, X., Xie, N., & Tian, X. (2017). Dynamic Voltage-Frequency and Workload Joint Scaling Power Management for Energy Harvesting Multi-Core WSN Node SoC. Sensors, 17(2), 310. https://doi.org/10.3390/s17020310

