Aptameric Recognition-Modulated Electroactivity of Poly(4-Styrenesolfonic Acid)-Doped Polyaniline Films for Single-Shot Detection of Tetrodotoxin
Abstract
:1. Introduction
2. Experimental Section
2.1. Chemicals and Materials
2.2. Electrochemical Set-Up and Measurements
2.3. Preparation of TTX Aptasensor
2.3.1. Electrodeposition of Polystyrene Sulfonic Acid-Doped Polyaniline Film (PSSA/PANI)
2.3.2. Immobilization of the Aminylated Anti-TTX Aptamer (Apt-NH2) onto PANI/PSSA Film

2.4. Microscopic and Spectroscopic Characterization
2.5. Electrochemical Studies
3. Results and Discussion
3.1. SEM and UV-Vis Analysis


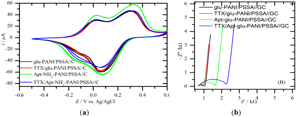
3.2. Electroanalysis of Aptasensor

3.3. Optimization of the Aptasensor
3.4. Test for Non-Specific Adsorption
3.5. Dynamic Linear Range and Limit of Detection


4. Conclusions
Acknowledgments
Conflicts of Interest
References
- Narahashi, T. Pharmacology of tetrodotoxin. J. Toxicol. Toxin Rev. 2001, 20, 67–84. [Google Scholar] [CrossRef]
- Miyazawa, K.; Noguchi, T. Distribution and origin of tetrodotoxin. Toxin Rev. 2001, 20, 11–33. [Google Scholar] [CrossRef]
- Neagu, D.; Micheli, L.; Palleschi, G. Study of a toxin-alkaline phosphatase conjugate for the development of an immunosensor for tetrodotoxin determination. Anal. Bioanal. Chem. 2006, 385, 1068–1074. [Google Scholar] [CrossRef] [PubMed]
- Chen, C.-Y.; Chou, H.-N. Detection of tetrodotoxin by High Performance Liquid Chromatography in Lined-Moon Shell and Puffer Fish. Acta Zool. Taiwan. 1998, 9, 41–48. [Google Scholar]
- Taylor, A.D.; Ladd, J.; Etheridge, S.; Deeds, J.; Hall, S.; Jiang, S. Quantitative detection of tetrodotoxin (TTX) by a surface plasmon resonance (SPR) sensor. Sens. Actuators B Chem. 2008, 130, 120–128. [Google Scholar] [CrossRef]
- Yakes, B.J.; Deeds, J.; White, K.; Degrasse, S. Evaluation of Surface Plasmon Resonance Biosensors for Detection of Tetrodotoxin in Food Matrices and Comparison to Analytical Methods. J. Agric. Food Chem. 2011, 59, 839–846. [Google Scholar] [CrossRef] [PubMed]
- Stradiotto, N.R.; Yamanaka, H.; Zanoni, M.V.B. Electrochemical Sensors: A Powerful Tool in Analytical Chemistry. J. Braz. Chem. Soc. 2003, 14, 159–173. [Google Scholar] [CrossRef]
- Moretto, L.; Kalcher, K. Environmental Analysis by Electrochemical Sensors and Biosensors: Fundamentals; Nanostructure Science and Technology; Springer-Verlag: New York, NY, USA, 2014; Volume 1. [Google Scholar]
- Patel, D.J.; Suri, A.K. Structure, recognition and discrimination in RNA aptamer complexes with cofactors, amino acids, drugs and aminoglycoside antibiotics. Rev. Mol. Biotechnol. 2000, 74, 39–60. [Google Scholar] [CrossRef]
- You, K.M.; Lee, S.H.; Im, A.; Lee, S.B. Aptamers as functional nucleic acids: In vitro selection and biotechnological applications. Biotechnol. Bioprocess Eng. 2003, 8, 64–75. [Google Scholar] [CrossRef]
- Wang, C.; Yang, G.; Luo, Z.; Ding, H. In vitro selection of high-affinity DNA aptamers for streptavid. Acta Biochim. Biophys. Sin. 2009, 41, 335–340. [Google Scholar] [CrossRef] [PubMed]
- Gopinath, S.C.B. Methods developed for SELEX. Anal. Bioanal. Chem. 2007, 387, 171–182. [Google Scholar] [CrossRef] [PubMed]
- Ketai, G. Aptamer-based capture molecules as a novel tool to isolate target cells and promote cell adhesion. In Biology; der Eberhard Karls Universität Tübingen: Tübingen, Germany, 2006; p. 160. [Google Scholar]
- Hwang, J.; Nishikawa, S. Novel approach to analyzing RNA aptamer-protein interactions: Toward further applications of aptamers. J. Biomol. Screen. 2006, 11, 599–605. [Google Scholar] [CrossRef] [PubMed]
- Huang, C.C.; Cao, Z.; Chang, H.T.; Tan, W. Protein-protein interaction studies based on molecular aptamers by affinity capillary electrophoresis. Anal. Chem. 2004, 76, 6973–6981. [Google Scholar] [CrossRef] [PubMed]
- Li, L.; Zhao, H.; Chen, Z.; Mu, X.; Guo, L. Aptamer-based electrochemical approach to the detection of thrombin by modification of gold nanoparticles. Anal. Bioanal. Chem. 2010, 398, 563–570. [Google Scholar] [CrossRef] [PubMed]
- Qiu, H.; Sun, Y.; Huang, X.; Qu, Y. A sensitive nanoporous gold-based electrochemical aptasensor for thrombin detection. Colloids Surf B Biointerfaces 2010, 79, 304–308. [Google Scholar] [CrossRef] [PubMed]
- Qureshi, A.; Gurbuz, Y.; Kallempudi, S.; Niazi, J.H. Label-free RNA aptamer-based capacitive biosensor for the detection of C-reactive protein. Phys. Chem. Chem. Phys. 2010, 12, 9176–9182. [Google Scholar] [CrossRef] [PubMed]
- Barthelmebs, L.; Jonca, J.; Hayat, A.; Prieto-Simonc, B.; Marty, J.L. Enzyme-linked aptamer assays (ELAAs), based on a competition format for a rapid and sensitive detection of ochratoxin A in wine. Food Control 2011, 22, 737–743. [Google Scholar] [CrossRef]
- Sheng, L.; Ren, J.; Miao, Y.; Wang, J.; Wang, E. PVP-coated graphene oxide for selective determination of ochratoxin A via quenching fluorescence of free aptamer. Biosens. Bioelectron. 2011, 26, 3494–3499. [Google Scholar] [CrossRef] [PubMed]
- Tang, J.; Yu, T.; Guo, L.; Xie, J.; Shao, N.; He, Z. In vitro selection of DNA aptamer against abrin toxin and aptamer-based abrin direct detection. Biosens. Bioelectron. 2007, 22, 2456–2463. [Google Scholar] [CrossRef] [PubMed]
- Tombelli, S.; Minunni, M.; Mascini, M. Aptamers-based assays for diagnostics, environmental and food analysis. Biomol. Eng. 2007, 24, 191–200. [Google Scholar] [CrossRef] [PubMed]
- Elnashar, M.M. Immobilized molecules using biomaterials and nanobiotechnology. J. Biomater. Nanobiotechnol. 2010, 1, 61–77. [Google Scholar] [CrossRef]
- Gaihre, B.; Alici, G.; Spinks, G.M.; Cairney, J.M. Synthesis and performance evaluation of thin film PPy-PVDF multilayer electroactive polymer actuators. Sens. Actuators A Phys. 2011, 165, 321–328. [Google Scholar] [CrossRef]
- Millner, P.A.; Hays, H.C.W.; Vakurov, A.; Pchelintsev, N.A.; Billah, M.M.; Rodgers, M.A. Nanostructured Transducer Surfaces for Electrochemical Biosensor Construction—Interfacing the Sensing Component with the Electrode, in Seminars in Cell & Developmental Biology; University of Leeds: Leeds, UK, 2009; pp. 34–40. [Google Scholar]
- Fomo, G. Ionophoric and Aptameric Recognition-Modulated Electroactive Polyaniline Films for the Determination of Tetrodotoxin, in Chemistry; University of the Western Cape: Cape Town, South Africa, 2015; p. 343. [Google Scholar]
- Shao, B.; Gao, X.; Yang, F.; Chen, W.; Miao, T.; Peng, J. Screening and Structure Analysis of the Aptamer Against Tetrodotoxin. J. Chin. Inst. Food Sci. Technol. 2012, 2, 347–351. [Google Scholar]
- Migneault, I.D.C.; Bertrand, M.J.; Waldron, K.C. Glutaraldehyde: Behavior in aqueous solution, reaction with proteins, and application to enzyme crosslinking. BioTechniques 2004, 37, 790–806. [Google Scholar] [PubMed]
- Prabhakar, N.M.Z.; Malhotra, B.D. Polyaniline Langmuir-Blodgett film based aptasensor for ochratoxin A detection. Biosens. Bioelectron. 2011, 26, 4006–4011. [Google Scholar] [CrossRef] [PubMed]
- Klink, M.J.; Iwuoha, E.I.; Ebenso, E.E. Electrochemical Properties of Nanotubes and Nanomicelles from Novel Polyaniline and Derivative. Int. J. Electrochem. Sci. 2012, 7, 3031–3046. [Google Scholar]
- Njomo, N.; Waryo, T.; Masikini, M.; Ikpo, C.O.; Mailu, S.; Tovide, O.; Ross, N.; Williams, A.; Matinise, N.; Sunday, C.E. Graphenated tantalum (IV) oxide and poly (4-styrene sulphonic acid)-doped polyaniline nanocomposite as cathode material in an electrochemical capacitor. Electrochim. Acta 2014, 128, 226–237. [Google Scholar] [CrossRef]
- El-Deab, M.S.; Ohsaka, T. An extraordinary electrocatalytic reduction of oxygen on gold nanoparticles-electrodeposited gold electrodes. Electrochem. Commun. 2002, 4, 288–292. [Google Scholar] [CrossRef]
- Prabhakar, N.; Arora, K.; Singh, H.; Malhotra, B.D. Polyaniline based nucleic acid sensor. J. Phys. Chem. B 2008, 11, 4808–4816. [Google Scholar] [CrossRef] [PubMed]
- Snyder, K.A.; Ferraris, C.; Martys, N.S.; Garboczi, E.J. Using Impedance Spectroscopy to Assess the Viability of the Rapid Chloride Test for Determining Concrete Conductivity. J. Res. Natl. Inst. Stand. Technol. 2000, 105, 497–509. [Google Scholar] [CrossRef]
- Yoo, H.J.; Hoof, C.V. Integrated Circuits and Systems; Bio-Medical CMOS ICs; Massachusetts Institute of Technology: Cambridge, MA, USA, 2011. [Google Scholar]
- Kentar, K.; Tadayoshi, S.; Yonekazu, H. Application of immunoaffinity chromatography for detection of tetrodotoxin from urine samples of poisoned patients. Toxicon 1999, 37, 325–333. [Google Scholar]
- Cho, H.E.; Ahn, S.Y.; Son, I.S.; In, S.; Hong, R.S.; Kim, D.W.; Woo, S.H.; Moon, D.C.; Kim, S. Determination and validation of tetrodotoxin in human whole blood using hydrophilic interaction liquid chromatography-tandem mass spectroscopy and its application. Forensic Sci. Int. 2012, 217, 76–80. [Google Scholar] [CrossRef] [PubMed]
- Chou, J.C.; Chen, C.C.; Lee, C.C. Development of Microcontroller Applied to Chlorine Ion Measurement System. IEEE Sens. J. 2012, 12, 2215–2221. [Google Scholar] [CrossRef]
- Tsai, Y.H.; Hwang, D.F.; Cheng, C.A.; Hwang, C.C.; Deng, J.F. Determination of tetrodotoxin in human urine and blood using C18 cartridge column, ultrafiltration and LC-MS. J. Chromatogr. B 2006, 832, 75–80. [Google Scholar] [CrossRef] [PubMed]
- Matsui, T.; Ohtsuka, Y.; Sakai, J. Recent advance of studies on fugu toxin. Yakugaku Zasshi 2000, 10, 825–837. [Google Scholar]
- Hwang, P.A.; Tsai, Y.H.; Deng, J.F.; Cheng, C.A.; Ho, P.H.; Wang, D.F. Identification of Tetrodotoxin in a Marine Gastropod (Nassarius glans) Responsible for Human Morbidity and Mortality in Taiwan. J. Food Prot. 2005, 8, 1556–1775. [Google Scholar]
- Shunsuke, K.; Hideki, H.; Osamu, S.; Takamichi, Y.; Hiroshi, S. Sensitive analysis of tetrodotoxin in human plasma by solid-phase extractions and gas chromatography/mass spectrometry. Anal. Lett. 2001, 34, 2439–2446. [Google Scholar]
- O’Leary, M.A.; Schneider, J.J.; Isbister, G.K. Use of high performance liquid chromatography to measure tetrodotoxin in serum and urine of poisoned patients. Toxicon 2004, 44, 549–553. [Google Scholar] [CrossRef] [PubMed]
- Ji, R.; Wang, J.; Luo, X.; Jiang, T.; Zhang, J. Determination of tetrodotoxin in puffer fishes using monoclonal antibody-based direct competitive inhibition enzyme-linked immunosorbent assay. Chin. J. Food Hyg. 2002, 5. [Google Scholar] [CrossRef]
- Zhou, Y.; Li, Y.; Lu, S.; Ren, H.; Li, Z.; Zhang, Y.; Pan, F.; Liu, W.; Zhang, H.; Liu, Z. Gold nanoparticle probe-based immunoassay as a new tool for tetrodotoxin detection in puffer fish tissues. Sens. Actuators B Chem. 2010, 146, 368–372. [Google Scholar] [CrossRef]
© 2015 by the authors; licensee MDPI, Basel, Switzerland. This article is an open access article distributed under the terms and conditions of the Creative Commons Attribution license (http://creativecommons.org/licenses/by/4.0/).
Share and Cite
Fomo, G.; Waryo, T.T.; Sunday, C.E.; Baleg, A.A.; Baker, P.G.; Iwuoha, E.I. Aptameric Recognition-Modulated Electroactivity of Poly(4-Styrenesolfonic Acid)-Doped Polyaniline Films for Single-Shot Detection of Tetrodotoxin. Sensors 2015, 15, 22547-22560. https://doi.org/10.3390/s150922547
Fomo G, Waryo TT, Sunday CE, Baleg AA, Baker PG, Iwuoha EI. Aptameric Recognition-Modulated Electroactivity of Poly(4-Styrenesolfonic Acid)-Doped Polyaniline Films for Single-Shot Detection of Tetrodotoxin. Sensors. 2015; 15(9):22547-22560. https://doi.org/10.3390/s150922547
Chicago/Turabian StyleFomo, Gertrude, Tesfaye T. Waryo, Christopher E. Sunday, Abd A. Baleg, Priscilla G. Baker, and Emmanuel I. Iwuoha. 2015. "Aptameric Recognition-Modulated Electroactivity of Poly(4-Styrenesolfonic Acid)-Doped Polyaniline Films for Single-Shot Detection of Tetrodotoxin" Sensors 15, no. 9: 22547-22560. https://doi.org/10.3390/s150922547
APA StyleFomo, G., Waryo, T. T., Sunday, C. E., Baleg, A. A., Baker, P. G., & Iwuoha, E. I. (2015). Aptameric Recognition-Modulated Electroactivity of Poly(4-Styrenesolfonic Acid)-Doped Polyaniline Films for Single-Shot Detection of Tetrodotoxin. Sensors, 15(9), 22547-22560. https://doi.org/10.3390/s150922547

