Ecology of the River Darter in Canadian Waters: Distribution, Relative Abundance, Life-History Traits, Diet, and Habitat Characteristics
Abstract
:1. Introduction
2. Materials and Methods
2.1. Incidental River Darter Surveys
2.2. Targeted River Darter Surveys
2.3. Laboratory Analysis
2.4. Data Analysis
3. Results
3.1. Distribution
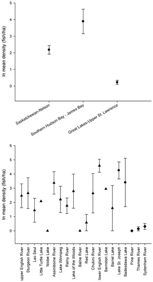
3.2. Relative Abundance
3.3. Life History Characteristics
3.4. Diet
3.5. Habitat Characteristics
4. Discussion
5. Conclusions
Acknowledgments
Author Contributions
Conflicts of Interest
References
- Page, L.M.; Burr, B.M. Peterson Field Guide to Freshwater Fishes of North America North of Mexico, 2nd ed.; Houghton Mifflin Company: Boston, MD, USA, 2011; pp. 522–523. [Google Scholar]
- Jelks, H.L.; Walsh, S.J.; Burkhead, N.M.; Contreras-Balderas, S.; Díaz-Pardo, E.; Hendrickson, D.A.; Lyons, J.; Mandrak, N.E.; McCormick, F.; Nelson, J.S.; et al. Conservation status of imperiled North American freshwater and diadromous fishes. Fisheries 2008, 33, 372–407. [Google Scholar] [CrossRef]
- Scott, W.B.; Crossman, E.J. Freshwater fishes of Canada; Fisheries Research Board of Canada Bulletin 184: Ottawa, ON, Canada, 1973; pp. 806–808. [Google Scholar]
- Freedman, J.A.; Stecko, T.D.; Criswell, R.W.; Stauffer, J.R., Jr. Extensions of the known ranges of Percina shumardi Girard and three species of Etheostoma (subgenus Nothonotus) in Pennsylvania. J. Pa. Acad. Sci. 2009, 83, 42–44. [Google Scholar]
- Nature Serve Explorer: An Online Encyclopedia of Life. Version 7.1. Available online: http://www.natureserve.org (accessed on 26 August 2016).
- Dalton, K.W. Status of the river darter, Percina shumardi, in Canada. Can. Field Nat. 1990, 104, 59–63. [Google Scholar]
- Committee on the Status of Endangered Wildlife in Canada (COSEWIC). Guidelines for Recognizing Designatable Units. Available online: http://www.cosewic.gc.ca/images/Fig2-FreshwaterBiogeographicZones_Eng.jpg (accessed on 25 November 2015).
- Brown, J.H.; Lomolino, M.V. Biogeography, 2nd ed.; Sinauer Associates, Incorporated: Sunderland, MA, USA, 1998. [Google Scholar]
- Committee on the Status of Endangered Wildlife in Canada (COSEWIC). COSEWIC Assessment and Status Report on the River Darter (Percina shumardi) in Canada; Committee on the Status of Endangered Wildlife in Canada: Ottawa, ON, Canada, 2016. [Google Scholar]
- Herzog, D.P.; Barko, V.A.; Scheibe, J.S.; Hrabik, R.A.; Ostendorf, D.E. Efficacy of a benthic trawl for sampling small-bodied fishes in large river systems. N. Am. J. Fish. Manag. 2005, 25, 594–603. [Google Scholar] [CrossRef]
- Herzog, D.P.; Ostendorf, D.E.; Hrabik, R.A.; Barko, V.A. The mini-Missouri trawl: A useful methodology for sampling small-bodied fishes in small and large river systems. J. Freshw. Ecol. 2009, 24, 103–108. [Google Scholar] [CrossRef]
- International Council for the Exploration of the Sea (ICES). Workshop on age reading of European and American eel (WKAREA). In Proceedings of the ICES CM 2009/ACOM 48, Bordeaux, France, 20–24 April 2009.
- Warren, L.W., Jr.; Burr, B.M.; Walsh, S.J.; Bart, H.L., Jr.; Cashner, R.C.; Etnier, D.A.; Freeman, B.J.; Kuhajda, B.R.; Mayden, R.L.; Robison, H.W.; et al. Diversity, distribution, and conservation status of the native freshwater fishes of the southern United States. Fisheries 2000, 25, 7–29. [Google Scholar] [CrossRef]
- Phelps, Q.E.; Tripp, S.J.; Garvey, J.E.; Herzog, D.P.; Ostendorf, D.E.; Ridings, J.W.; Crites, J.W.; Hrabik, R.A. Habitat use during early life history infers recovery needs for shovelnose sturgeon and pallid sturgeon in the Middle Mississippi River. Trans. Am. Fish. Soc. 2010, 139, 1060–1068. [Google Scholar] [CrossRef]
- Ridings, J.W.; Schell, S.R. Evaluation of a substrate-disturbing brail added to the mini-Missouri trawl for capture of madtoms, sculpins, and darters. J. Freshw. Ecol. 2014, 25, 337–344. [Google Scholar] [CrossRef]
- Burkett, E.M.; Jude, D.J. Long-term impacts of invasive round goby Neogobius melanostomus on fish community diversity and diets in the St. Clair River, Michigan. J. Gt. Lakes Res. 2015, 41, 862–872. [Google Scholar] [CrossRef]
- Thomas, D.L. An ecological study of four darters of the Genus Percina (Percidae) in the Kaskaskia River, Illinois. III. Natl. Hist. Surv. Biol. Notes 1970, 70, 1–18. [Google Scholar]
- Trautman, M.B. The Fishes of Ohio, 2nd ed.; Ohio State University Press: Columbus, OH, USA, 1981. [Google Scholar]
- Smith, P.W. The Fishes of Illinois; University of Illinois Press: Urbana, IL, USA, 1979; pp. 267–268. [Google Scholar]
- Bunnell, D.B.; Madenjian, C.P.; Croley, T.E. Long-term trends of bloater (Coregonus hoyi) recruitment in Lake Michigan: Evidence for the effect of sex ratio. Can. J. Fish. Aquat. Sci. 2006, 63, 832–844. [Google Scholar] [CrossRef]
- Balesic, H. Comparative Ecology of Four Species of Darters (Etheostominae) in Lake Dauphin and Its Tributary, the Valley River. Master’s Thesis, University of Manitoba, Winnipeg, MB, Canada, 1971. [Google Scholar]
- Starnes, W.C. The Ecology and Life History of the Endangered Snail Darter, Percina (Imostoma) tanasi Etnier. Ph.D. Thesis, University of Tennessee, Knoxville, TN, USA, 1977. [Google Scholar]
- Haag, W.R.; Warren, M.L., Jr. Seasonal feeding specialization on snails by River Darters (Percina shumardi) with a review of snail feeding by other darter species. Copeia 2006, 4, 604–612. [Google Scholar] [CrossRef]
- Kuehne, R.A.; Barbour, W.A. The American Darters; University Press of Kentucky: Lexington, KY, USA, 1983. [Google Scholar]
- Becker, G.C. Fishes of Wisconsin; University of Wisconsin Press: Madison, WI, USA, 1983; pp. 912–914. [Google Scholar]
- Pfleiger, W.L. A distributional study of Missouri fishes. Univ. Kans. Publ. Mus. Natl. Hist. 1971, 20, 225–570. [Google Scholar]
- Cooper, E.L. Fishes of Pennsylvania and the Northeastern United States; The Pennsylvania State University Press: University Park, PA, USA, 1983; pp. 206–207. [Google Scholar]
- Sanders, R.E.; Yoder, C.O. Recent collections and food items of River Darters, Percina shumardi (Percidae), in the Markland Dam Pool of the Ohio River. Ohio J. Sci. 1989, 89, 33–35. [Google Scholar]
- Chu, C.; Minns, C.K.; Lester, N.P.; Mandrak, N.E. An updated assessment of human activities, the environment, and freshwater fish biodiversity in Canada. Can. J. Fish. Aquat. Sci. 2014, 72, 135–148. [Google Scholar] [CrossRef]





| Ecoregion | Waterbody | Latitude and Longitude | Historic Site | Date(s) | Gear Type | Number Captured |
|---|---|---|---|---|---|---|
| Saskatchewan-Nelson | Assiniboine River | Captures from 99 sites | Yes | 28/08/1996 to 23/07/2009 | trawl and boat efishing | 366 |
| Saskatchewan-Nelson | Bird Lake/Bird River | 50°28.984; −95°15.981 | New | 14/08/2003 to 02/10/2003 | boat efishing | 19 |
| Saskatchewan-Nelson | Boundary Creek | 50°30.521; −96°58.537 | New | 23/06/2004 | backpack efishing | 1 |
| Saskatchewan-Nelson | Crowduck Lake | 50°06.389; −95°16.198 | New | 01/09/2009 and 02/09/2009 | seine | 4 |
| Saskatchewan-Nelson | Icelandic River | 50°57.887; −97°02.329 | New | 16/07/2004 | backpack efishing | 1 |
| Saskatchewan-Nelson | La Salle River | 49°41.659; −97°15.748 | New | 17/04/2002 | backpack efishing | 1 |
| Saskatchewan-Nelson | Lake Winnipeg | 51°47.315; −96°52.347 | Yes | 27/07/2006 | trawl | 1 |
| Saskatchewan-Nelson | Manigotogan River | 51°06.091; −96°17.029 | Yes | 03/09/2003 | boat efishing | 9 |
| Saskatchewan-Nelson | Norquay Channel | 49°31.921; −97°51.847 | New | 28/05/2002 | backpack efishing | 4 |
| Saskatchewan-Nelson | Ochre River | 50°54.266; −99°49.150 | New | 10/05/1999 | unknown | 1 |
| Saskatchewan-Nelson | Ochre River | 51°03.083; −99°47.192 | New | 23/07/2002 | backpack efishing | 4 |
| Saskatchewan-Nelson | Rainy River | 48°38.677; −94°05.680 | Yes | 28/07/2004 | boat efishing | 2 |
| Saskatchewan-Nelson | Riviere Aux Marais | 49°08.004; −97°17.523 | New | 23/07/2003 | backpack efishing | 1 |
| Saskatchewan-Nelson | Seine River Diversion | 49°41.840; −97°05.985 | New | 30/07/2004 | backpack efishing | 18 |
| Saskatchewan-Nelson | Swan River | 52°13.668; −100°59.552 | New | 05/08/2004 | backpack efishing | 10 |
| Saskatchewan-Nelson | Unnamed tributary to Boyne River | 49°32.464; −98°24.885 | New | 27/08/2002 | backpack efishing | 1 |
| Saskatchewan-Nelson | Wilson River | 51°11.973; −100°06.277 | New | 30/06/2004 | backpack efishing | 1 |
| Saskatchewan-Nelson | Winnipeg River | 50°13.373; −95°34.397 | Yes | 15/09/2003 and 16/09/2003 | boat efishing | 2 |
| Saskatchewan-Nelson | Vermillion River | 51°10.185; −100°03.225 | New | 20/07/2004 | backpack efishing | 3 |
| Ecoregion | Waterbody | Latitude and Longitude | Historic Site | Date(s) | Gear Type | Effort | Mean Length (m) | River Darters Captured | Density (Fish/ha) |
|---|---|---|---|---|---|---|---|---|---|
| Saskatchewan-Nelson | Rainy River | 48°34.155; −93°27.610 | Yes | 19/06/2013 to 22/06/2013 | trawl | 60 | 306.0 | 152 | 52.0 (11.3) |
| 48°30.926; −93°40.764 | 08/08/2013 to 13/08/2013 | boat efishing | 24 | 1609.3 | 168 | 17.4 (7.2) | |||
| 48°32.474; −93°30.261 | 11/09/2013 to 12/09/2013 | trawl | 12 | 282.0 | 17 | 20.7 (8.6) | |||
| 48°31.687; −93°35.274 | 13/06/2014 | trawl | 2 | 365.0 | 3 | 10.3 (10.3) | |||
| Saskatchewan-Nelson | Lake of the Woods | 48°58.276; −94°33.213 | Yes | 13/06/2014 | trawl | 5 | 174.8 | 21 | 97.5 (65.6) |
| Saskatchewan-Nelson | Balne River | 49°48.933; −94°13.300 | Yes | 14/06/2014 | trawl | 4 | 151.8 | 0 | - |
| Saskatchewan-Nelson | Red Lake | 51°05.279; −93°48.536 | Yes | 15/06/2014 | trawl | 7 | 121.0 | 1 | 8.1 (8.1) |
| Saskatchewan-Nelson | Chukini River | 50°56.117; −93°36.264 | New | 16/06/2014 | trawl | 3 | 173.3 | 5 | 43.9 (32.2) |
| Saskatchewan-Nelson | English River (lower and upper) | 50°37.531; −93°15.808 | Yes | 16/06/2014 | trawl | 5 | 134.2 | 27 | 140.4 (53.5) |
| 49°38.028; −91°21.913 | 13/09/2014 | trawl | 6 | 273.3 | 17 | 37.6 (20.4) | |||
| Saskatchewan-Nelson | Barnston Lake | 50°34.567; −93°28.223 | Yes | 16/06/2014 | trawl | 1 | 220.0 | 1 | 18.8 |
| Saskatchewan-Nelson | Barrel Lake | 49°39.468; −91°29.369 | Yes | 19/06/2014 | trawl | 2 | 215.0 | 1 | 11.8 (11.8) |
| Saskatchewan-Nelson | Sturgeon River | 50°06.886; −91°43.192 | New | 14/09/2014 | trawl | 5 | 411.2 | 26 | 49.5 (20.2) |
| Saskatchewan-Nelson | Lac Seul | 50°12.163; −91°50.705 | Yes | 14/09/2014 | trawl | 4 | 330.0 | 2 | 8.8 (5.4) |
| Saskatchewan-Nelson | Little Turtle Lake | 48°46.804; −92°36.968 | New | 16/09/2014 | trawl | 1 | 570.0 | 1 | 7.0 |
| Saskatchewan-Nelson | Niobe Lake | 48°43.631; −91°19.549 | N/A | 16/09/2014 | trawl | 1 | 380.0 | 0 | - |
| Saskatchewan-Nelson | Assiniboine River | 49°42.245; −99°40.109 | Yes | 09/10/2014 | trawl | 8 | 169.9 | 36 | 96.8 (40.4) |
| Saskatchewan-Nelson | Lake Winnipeg | 51°07.195; −96°21.271 | Yes | 08/10/2014 | trawl | 10 | 66.0 | 33 | 182.1 (12.5) |
| Southern Hudson Bay-James Bay | Lake St. Joseph | 51°05.877; −90°17.529 | Yes | 12/09/2014 | trawl | 4 | 305.0 | 30 | 117.8 (68.5) |
| Southern Hudson Bay-James Bay | Badesdawa Lake | 51°43.728; −89°46.994 | New | 12/09/2014 | trawl | 3 | 306.7 | 38 | 109.7 (55.5) |
| Great Lakes-Upper St. Lawrence | Pine River | 48°02.615; −89°30.579 | N/A | 17/09/2014 | trawl | 1 | 730.0 | 0 | - |
| Great Lakes-Upper St. Lawrence | Thames River | 42°36.586; −81°49.170 | Yes | 24/06/2014 to 26/06/2014 | trawl | 26 | 100.0 | 1 | 1.5 (1.5) |
| Great Lakes-Upper St. Lawrence | Sydenham River | 42°35.887; −82°21.545 | Yes | 20/09/2012 | trawl | 24 | 100.0 | 2 | 3.3 (2.3) |
| Waterbody | Date | Latitude and Longitude | Catalogue Number |
|---|---|---|---|
| Saskatchewan River | 24/08/1990 | 53° 40.800; −103° 23.700 | 60976 |
| Thames River | 26/07/1991 | 42° 35.467; −81° 53.066 | 62116 |
| Barnston Lake | 18/08/1993 | 50° 34.083; −93° 30.300 | 68403 |
| Barnston Lake | 18/08/1993 | 50° 34.133; −93° 30.767 | 68407 |
| Barnston Lake | 18/08/1993 | 50° 34.100; −93° 30.466 | 68523 |
| Barnston Lake | 19/08/1993 | 50° 35.250; −93° 30.400 | 68524 |
| Barnston Lake | 19/08/1993 | 50° 34.333; −93° 31.400 | 68529 |
| English River | 23/07/1994 | 50° 34.930; −93° 27.719 | 87830 |
| Bear Creek | 05/08/1997 | 42° 47.266; −82° 18.533 | 70777 |
| Bear Creek | 07/08/1997 | 42° 45.933; −82° 19.766 | 70779 |
| Bear Creek | 07/08/1997 | 42° 45.933; −82° 19.766 | CID 96376 B |
| Bear Creek | 07/08/1997 | 42° 45.933; −82° 19.766 | CID 96830 W |
| Sydenham River (East) | 07/08/1997 | 42° 35.417; −82° 16.033 | CID 96972 W |
| Sydenham River (East) | 01/10/1997 | 42° 35.850; −82° 22.066 | CID 105941 W |
| Sturgeon River | 08/08/1998 | 48° 39.266; −94° 01.550 | CID 106175 E |
| Sydenham River | 18/06/2001 | 42° 35.300; −82° 13.250 | 72613 |
| Rainy River | 19/09/2002 | 48° 35.939; −93° 25.892 | 75863 |
| Rainy River | 19/09/2002 | 48° 36.338; −93° 25.111 | 75867 |
| Rainy River | 19/09/2002 | 48° 36.445; −93° 24.831 | 75869 |
| North Sydenham River | 10/09/2003 | 42° 39.442; −82° 22.540 | 79743 |
| North Sydenham River | 11/09/2003 | 42° 38.927; −82° 22.414 | CID 120653 E |
| Lake St Clair | 10/08/2006 | 42° 19.762; −82° 26.767 | 89210 |
| Lake St Clair | 16/07/2013 | 42° 20.816; −82° 25.650 | 95703 |
| Waterbody | Date(s) | ROM Catalogue Number | Sample Size for Lt and Weight | Mean Lt (mm) | Length Range (mm) | Mean Weight (g) | Sex Ratio | Sample Size for Aging | Mean Age (Years) | Age Range |
|---|---|---|---|---|---|---|---|---|---|---|
| Rainy River | 19/06/2013 to 22/06/2013 | 145 (l); 144 (w) | 53.0 (0.4) | 43-67.5 | 1.2 (0.04) | 6♂:71♀ | 98 | 2.6 | 1–4 | |
| 08/08/2013 to 13/08/2013 | 167 | 42.5 (0.7) | 30–72 | 0.6 (0.04) | 65 | 0.7 | 0–3 | |||
| 11/09/2013 to 12/09/2013 | 16 | 46.7 (1.9) | 40–64.5 | 0.8 (0.12) | 3♂:13♀ | 9 | 2.1 | 1–3 | ||
| Lake of the Woods | 13/06/2014 | 096714 | 17 | 43.6 (0.5) | 40–47 | 0.6 (0.02) | 4♂:11♀ | 13 | 1.4 | 1–2 |
| Red Lake | 15/06/2014 | 1 | 42 | 0.43 | 0♂:1♀ | 1 | 1 | |||
| Chukini River | 16/06/2014 | 096711 | 5 | 42.4 (1.8) | 37–48 | 0.6 (0.07) | 1♂:1♀ | 4 | 1.8 | 1–2 |
| English River | 16/06/2014 | 27 | 41.4 (0.6) | 35–47 | 0.5 (0.03) | 7♂:17♀ | 25 | 1.2 | 1–2 | |
| 13/09/2014 | 096708 | 17 | 40.3 (1.6) | 30–53 | 0.5 (0.06) | 2♂:14♀ | 15 | 0.6 | 0–3 | |
| Barnston Lake | 16/06/2014 | 096715 | 1 | 41 | 0.38 | |||||
| Barrel Lake | 19/06/2014 | 096717 | 1 | 48.5 | 0.5 | |||||
| Sturgeon River | 14/09/2014 | 096713 | 26 | 42.3 (1.4) | 35–60 | 0.7 (0.09) | 13♂:11♀ | 21 | 0.4 | 0–3 |
| Lac Seul | 14/09/2014 | 096712 | 1 | 30 | 0.2 | |||||
| Little Turtle Lake | 16/09/2014 | 096707 | 1 | 41 | 0.5 | |||||
| Assiniboine River | 09/10/2014 | 096716 | 36 | 69.3 (1.4) | 48–93 | 2.9 (0.20) | 0♂:35♀ | 36 | 2.8 | 1–4 |
| Lake Winnipeg | 08/10/2014 | 31 | 43.5 (1.6) | 33–66 | 0.7 (0.10) | 8♂:18♀ | 31 | 0.8 | 0–3 | |
| Lake St. Joseph | 12/09/2014 | 096709 | 30 | 33.9 (0.6) | 30–40 | 0.3 (0.02) | 8♂:17♀ | 27 | 0.1 | 0–1 |
| Badesdawa Lake | 12/09/2014 | 096710 | 32 | 36.1 (0.4) | 32–43 | 0.3 (0.01) | 11♂:14♀ | 22 | 0.3 | 0–1 |
| Waterbody | Date(s) | Depth (m) | Temperature (°C) | pH | Turbidity (NTUs) | Dissolved Oxygen (mg/L) |
|---|---|---|---|---|---|---|
| Lake of the Woods | 13/06/2014 | 3.7 | 15.63 | 7.55 | 6.3 | 9.12 |
| Red Lake | 15/06/2014 | 3.4 | 8.52 | 7.51 | 0.4 | 10.39 |
| Chukini River | 16/06/2014 | 3.6 | 10.78 | 7.56 | 2.5 | 9.59 |
| English River | 16/06/2014 | 3.5 | 12.65 | 7.71 | 5.6 | 10.16 |
| 13/09/2014 | 4.6 | 14.07 | 8.10 | 1.2 | 9.63 | |
| Barnston Lake | 16/06/2014 | 3.0 | 13.79 | 7.56 | 5.8 | 10.03 |
| Barrel Lake | 19/06/2014 | 3.8 | 15.41 | 7.62 | 1.3 | 9.02 |
| Lake St. Joseph | 12/09/2014 | 4.8 | 14.44 | 7.10 | 1.3 | 9.67 |
| Badesdawa Lake | 12/09/2014 | 2.5 | 10.45 | 7.91 | 3.1 | 10.54 |
| Sturgeon River | 14/09/2014 | 5.0 | 14.56 | 8.02 | 1.1 | 10.01 |
| Lac Seul | 14/09/2014 | 4.2 | 13.32 | 7.89 | 1.7 | 9.17 |
| Little Turtle Lake | 16/09/2014 | 2.0 | 12.96 | 7.80 | 5.8 | 9.90 |
© 2016 by the authors; licensee MDPI, Basel, Switzerland. This article is an open access article distributed under the terms and conditions of the Creative Commons Attribution (CC-BY) license (http://creativecommons.org/licenses/by/4.0/).
Share and Cite
Pratt, T.C.; Gardner, W.M.; Watkinson, D.A.; Bouvier, L.D. Ecology of the River Darter in Canadian Waters: Distribution, Relative Abundance, Life-History Traits, Diet, and Habitat Characteristics. Diversity 2016, 8, 22. https://doi.org/10.3390/d8040022
Pratt TC, Gardner WM, Watkinson DA, Bouvier LD. Ecology of the River Darter in Canadian Waters: Distribution, Relative Abundance, Life-History Traits, Diet, and Habitat Characteristics. Diversity. 2016; 8(4):22. https://doi.org/10.3390/d8040022
Chicago/Turabian StylePratt, Thomas C., William M. Gardner, Douglas A. Watkinson, and Lynn D. Bouvier. 2016. "Ecology of the River Darter in Canadian Waters: Distribution, Relative Abundance, Life-History Traits, Diet, and Habitat Characteristics" Diversity 8, no. 4: 22. https://doi.org/10.3390/d8040022
APA StylePratt, T. C., Gardner, W. M., Watkinson, D. A., & Bouvier, L. D. (2016). Ecology of the River Darter in Canadian Waters: Distribution, Relative Abundance, Life-History Traits, Diet, and Habitat Characteristics. Diversity, 8(4), 22. https://doi.org/10.3390/d8040022
