Abstract
We quantified morphological variation among genetically identified specimens of Fusconaia flava, F. subrotunda, Pleurobema cordatum, P. plenum, P. sintoxia, and P. rubrum inhabiting the Green River, Kentucky, species with shells that are morphologically similar to each other and thus difficult to identify. Molecular identifications then were compared with phenotype-based identifications by experts, who on average correctly identified 70% of the specimens. Expert identification of the putative species P. rubrum and P. sintoxia resulted in them usually being identified as the latter. Multi-variable decision tree analysis was conducted to determine the best suite of morphological variables for identifying live mussels and shells to species. Cross-validation error rates for these analyses were 12.6% and 4.14% for live mussels and shells, respectively. Both random forest and decision tree analyses showed the most important variables to be the presence/absence of a sulcus and shell shape (trapezoidal, circular, oval, equilateral triangle, or isosceles triangle). Dichotomous keys for identifying shells and live mussels were developed based on key morphological characteristics readily identifiable in the field, including foot color, beak direction, and beak position relative to the anterior margin. However, a definitive identification of these species may still need to rely on molecular methods, especially for endangered species.
1. Introduction
Shell morphology is important for describing mussel species and especially for identifying specimens in the field [1]. The identification of species in the freshwater mussel genera Fusconaia (Simpson, 1900) and Pleurobema (Rafinesque, 1819) is challenging because the morphological characteristics of the shell and soft body parts can overlap and vary based on the age and size of a particular specimen. Morphological similarities among species in these genera are generally the result of their close evolutionary relatedness [2]. A comparative morphological analysis is essential for understanding phylogenetic relationships and for identifying the best suite of shell and soft-part characteristics useful for species identification in the field. Quantitative shell characteristics include hinge length, beak cavity depth, height, wet weight, width, and the reproductive traits of soft-body anatomy, such as the number and color of gills used to brood glochidia. An analysis of the shell outline also has shown to be useful for quantifying morphological variation among phylogenetic lineages using different morphological-based methods [3]. However, species can show considerable variation in shell morphology, depending on the size and sex of the mussel specimen (sexual dimorphism) or environment (including clinal variation in the shell along the length of the stream) [4,5,6]. Further, sexual dimorphism is absent in Fusconaia, while it is absent or weak in Pleurobema [7]; hence, this characteristic cannot be used to help identify species in these genera.
Examples of qualitative morphological characteristics useful for the identification of species include the categorical identification of shell shape and outline, shell color, and ray pattern. Qualitative and quantitative characteristics that are useful for distinguishing species in these two genera are foot color and the number of gills used to brood larvae (four vs. two gills), which in Fusconaia is generally an orange foot color with four brooding gills, and in Pleurobema a white foot color with only the outer two gills used for brooding. However, even the foot-color trait is known to be variable in some species of Fusconaia and Pleurobema [8].
For the purposes of species identification, some of the most important reproductive traits are the shape of the conglutinate and number of gills used as marsupia to brood eggs and glochidia, which can differ morphologically among species [7,9,10,11,12]. These conglutinates and glochidia are eaten by host fish, infesting glochidia onto their gills and metamorphosing to the juvenile stage in the process [7]. For example, conglutinates are slender and sub-cylindrical in Fusconaia species and broad and leaf-like with numerous egg layers in Pleurobema species. Further, various adaptations occur in conglutinates, such as F. flava, where larval threads have been observed to help suspend conglutinates in the water column [11,12].
In part, at least some of the morphological characteristics that can be used in the development of a dichotomous key in these look-alike species can be obtained from the species descriptions [13,14,15,16]. For example, in the case of P. plenum, the nacre is white, and the shell has a tall, triangular shape. Pleurobema cordatum (Rafinesque, 1820) is characterized by a slightly twisted shell with white nacre and the presence of a shallow sulcus, and the beak is located at or behind the anterior margin of the shell, as in P. rubrum. However, P. rubrum can have either white or pink nacre. The principal difference between P. rubrum and P. cordatum is that P. rubrum often has the shape of a scalene triangle, while P. cordatum has the shape of an equilateral triangle. In individuals of P. sintoxia, there is a lack of sulcus, and they show a shallow or not-very-deep beak cavity, and the nacre color can be either white or pink. This species also is more rounded than F. flava, which has a more triangular shape, deeper beak cavity, prominent beaks that face each other, white nacre, and the presence of a wide, shallow sulcus. Fusconaia subrotunda (Lea, 1831) has a round-to-oval profile, especially when young and small, prominent anterior beaks, compressed and deep beak cavities, no sulcus, and the shell elongates with age.
From these general descriptions, important characteristics of the shell (e.g., beak position, presence of sulcus, nacre and periostracum color) and soft-body anatomy (e.g., foot color and number of marsupial gills) can and have been used traditionally to identify mussel specimens in the field, and also can be used to construct a dichotomous key [17]. However, how reliably this suite of shell and soft-part characteristics identifies these species has not been tested. The Green River of Kentucky is a diversity hotspot for freshwater mussels in North America, including harboring all of the aforementioned Fusconaia and Pleurobema species [2]. Hence, we used this river and mussels from these two genera as a test bed to first molecularly assign mussels to their correct species, then characterize the most prominent morphological characteristics associated with each species, and use these characteristics to develop a dichotomous key to improve field identifications of these species in the Green River, Kentucky, USA.
2. Materials and Methods
2.1. Sample Collection
In 2015 and 2017, at total of 258 mussel specimens were collected from two main sites in the Green River, Kentucky (Figure 1) and were identified using molecular markers [2]. Individuals of Fusconaia flava (Rafinesque, 1820), F. subrotunda, P. cordatum, Pleurobema plenum (Lea, 1840), Pleurobema rubrum (Rafinesque, 1820), and Pleurobema sintoxia (Rafinesque, 1820) were collected from Pool 4 (GPS coordinates = 37.18286, −86.6296; river mile = 149) and Mammoth Cave National Park (GPS coordinates 37.17819, −86.1154; river mile = 197), and to increase the number of specimens in the respective size-classes, especially of smaller mussels (<50 mm), individuals and tissue samples also were collected at the Western Kentucky University Green River BioPreserve just upstream of Mammoth Cave National Park at approximately river mile = 200 (Not shown on map). Tissue samples for DNA isolation were obtained non-lethally by swabbing the mussel foot with a DDK-50 swab (Isohelix, Harriettsham, UK). Mussels were tagged and maintained at the Minor E. Clark Fish Hatchery (Morehead, KY, USA, operated by the Kentucky Department of Fish and Wildlife Resources) until morphological data were collected. All specimens were first genetically identified using mitochondrial DNA (mtDNA) sequences [2] before the morphological characteristics were quantified and characterized for the construction of dichotomous keys. Species delimitation was assessed using two mtDNA genes—the cytochrome oxidase subunit I and NADH dehydrogenase 1—with sequences concatenated together and then analyzed using a Bayesian phylogenetic tree-building method and the Automatic Barcode Gap Discovery method [2]. Selected individuals of F. flava, F. subrotunda, P. cordatum, P. rubrum, and P. sintoxia were sacrificed to record categorical (nacre color) and quantitative (beak depth) variables and stored in 75% alcohol in 473 mL containers. Because the mtDNA phylogenetic analysis [2,5,18] showed that P. sintoxia and P. rubrum were the same taxon, we used expert field identification of the shells to try to further separate these two forms. These two shell forms can be very distinct and thus a separate suite of shell characteristics may be needed to identify the two forms in the field without any input or guidance from experts.

Figure 1.
(A). The location of Kentucky within the United States. (B). Sampling locations for freshwater mussel species in the genera Fusconaia and Pleurobema collected in 2015 and 2017 from Pool 4 (GPS coordinates = 37.18286, −86.6296; river mile = 149) and Mammoth Cave National Park (GPS coordinates 37.17819, −86.1154; river mile = 197) in the Green River, Kentucky.
2.2. Expert Identification and Validation
Mussels were identified using morphological traits by five experts, Leroy Koch (Senior Biologist, Kentucky Ecological Services Field Station—U.S. Fish and Wildlife Service), Dr. Wendell Haag (Fisheries Research Biologist, U.S. Forest Service, stationed at the Center for Mollusk Conservation, Kentucky Department of Wildlife Resources), Chad Lewis (Malacologist, Lewis Environmental Consulting), Dr. Monte McGregor (State Malacologist, Center for Mollusk Conservation, Kentucky Department of Wildlife Resources), and Adam Shephard (Ichthyologist and Mussel Biologist, Center for Mollusk Conservation, Kentucky Department of Wildlife Resources). The experts’ probability of correctly identifying a mussel, as well as identification errors for each species, were calculated. Each expert identified the mussels to respective species based on their existing knowledge of the shell and soft-body characteristics and the field training taught to them by other experts and by species descriptions as defined in Stansbery [13] and Watters et al. [15]. Hence, no prior discussion or training of the shell characteristics occurred before the experts identified the mussels to ensure that the scores reflected their existing training and knowledge. Further, each mussel expert identified the same set of genetically identified mussels.
2.3. Decision Tree and Random Forest Analyses
We used decision tree analysis to build a tree with the most important variables for identification of live mussel specimens and shells, and random forest analysis to find the most important characteristics to use for the field identification of mussels to each respective species. Foot color was recorded as the principal soft-body characteristic. However, foot color for the endangered P. plenum was observed in the field or the hatchery without sacrificing the mussel. Soft-part color and shell characteristics were used to characterize each species morphologically in decision tree and random forest analyses and to develop the identification keys (Table 1). Decision tree analysis was performed using the party 1.3-3 [19] and rpart 4.1-15 [20] packages implemented in R. Rpart has previously been shown to be effective at delineating closely related morphologically similar mussel species in the genus Lampsilis [21]. We conducted random forest analysis using the randomForest [22] and caret [23] packages implemented in R. Both analyses allowed us to identify the best-supported morphological characteristics for the development of the dichotomous key, which was supplemented with original photographs of genetically identified specimens.
Table 1.
A summary of the categorical and quantitative morphological variables used to describe and identify species belonging to the genera Fusconaia and Pleurobema in the Green River, Kentucky. Morphological variables were used to conduct the decision tree and random forest analyses.
The suite of shell characteristics used for the decision tree and random forest analyses included quantitative characteristics such as maximum length, hinge length, beak cavity depth, perpendicular height, width, and wet weight (Figure 2). The following shell measurements were used to calculate the morphometric ratios used in this study: (1) hinge length–maximum length, (2) beak cavity depth–maximum length, (3) relative height (perpendicular height–maximum length), (4) shell obesity (width–maximum length), and (5) wet weight–maximum length. These characteristics were measured in millimeters or grams using a caliper or a digital scale. These ratios were tested for normality by observing their distribution in a normal probability curve. Categorical characteristics—including beak direction, beak position in relation to the anterior margin, shell shape, sulcus presence, nacre color, and foot color—were used in the decision tree analysis (Figure 3). For the analysis of live mussel specimens, we included all these variables but without nacre color and the ratio of beak depth–maximum length. For shell analysis, we did not use the foot color and wet weight–maximum length ratio. The sample sizes of mussel specimens used in these analyses are reported in Table 2. To record data for the beak position, we aligned the hinge parallel to a horizontal line. The sulcus was considered broad if it represented at least 2/3 of the shell width (Figure 3).
Figure 2.
The morphology of a freshwater mussel. Length (mm) measurements of the shell that were used for decision tree and random forest analyses are illustrated. (A). Exterior of left valve; (B). Interior of left valve.

Figure 3.
The categorical variables used to conduct the decision tree and random forest analyses for species in the genera Fusconaia and Pleurobema sampled from the Green River, Kentucky. Variables used include (A) beak direction, either facing each other or face forward, (B) beak position to anterior margin, (C) foot color, (D) nacre color, (E) shell shape, and (F) sulcus. These characteristics were recorded for mussel specimens of species belonging to the genera Fusconaia and Pleurobema collected from the Green River, Kentucky.
Table 2.
Sample sizes of mussel specimens used for conducting decision tree and random forest analyses for the identification of species belonging to the genera Fusconaia and Pleurobema in the Green River, Kentucky. Sample sizes are shown for the six categorical variables and five quantitative variables that were used for the decision tree and random forest analyses. Mussels were sorted into the following size classes: small (20–60 mm), medium (60–100 mm), large (>100 mm) individuals. “:” indicates the ratio of two morphological characteristics.
We constructed two decision trees, one for the classification of live mussels and one for shells. The study species (F. flava, F. subrotunda, P. cordatum, P. plenum, and the two shell forms of P. sintoxia) was the response variable. For both the live-specimen and shell decision trees, the data were randomly partitioned 80% into the training data set (119 observations) and 20% into the validating data set (23 observations). To trim the tree, we set the Type-I error rate from 95% to 90% because the sample size of mussel specimens per species and for the three size-classes were not large (Table 2). We set up the tree analysis so that a branch would split into two if the number of mussel specimens was at least 1, and K-fold cross-validation with K = 10 was performed to validate the model.
Similarly, we performed two random forest tree analyses, one for live specimens and another for shells. For the random forest analysis, we used 70% of the data (100 mussel specimens) as a training data set and 30% (42 mussel specimens) as a validating data set.
The number of trees to be analyzed was determined after plotting the out-of-bag (OOB) error rate and observing how it declined and then stabilized. For live mussel specimens, we analyzed 900 trees, while for shells we analyzed 200 trees. In addition, we obtained the Gini index which determines the best feature to split on at each node during the tree-building process. The Gini index is a measure of the randomness in the values of a data set; it aims to decrease the randomness at the root nodes at the top of decision tree to the leaf nodes farther down the decision tree model.
2.4. Dichotomous Key
The dichotomous key was developed using the most important variables identified by the decision tree and random forest analyses. Shapes (circular, equilateral triangular, isosceles triangular, oval, and trapezoidal) were used to describe the mussels, and sulcus characteristics (absent, broad and deep, broad and shallow, narrow and deep, and narrow and shallow), nacre color (pink and white), foot color (orange and white), position of the beak regarding the anterior margin, and beak direction are characteristics that are easy to observe in the field and less subjective (Figure 3). Photographs of each species and individuals within species were used to document morphological variation, for use in decision tree and random forest analyses, and to develop the dichotomous key.
3. Results
3.1. Identification of Shells by Experts
On average, experts identified a mussel correctly 70% of the time to their respective species, with Fusconaia flava being the species that was correctly identified the most by the experts at 95% of the time (Table 3, Figure 4). Specifically, 25 out of 30 individuals were consistently identified as F. flava by most of the experts. Further, our results support the current understanding based on field survey data that only two species in the genus Fusconaia occur in the Green River. While species in this genus typically have an orange-colored foot, in the F. flava samples that we analyzed, the foot color was either orange or white. This observation explains why some F. flava mussel specimens were erroneously identified as Pleurobema species (4%), which typically have a white-colored foot, such as in P. plenum or P. sintoxia/rubrum.
Table 3.
The probability of five experts correctly identifying mussel species in the genera Fusconaia and Pleurobema collected in 2015 from Pool 4 in the Green River, Kentucky. All mussels were held at the Minor E. Clark Fish Hatchery, Morehead, KY, and were subsequently identified to species genetically using the mtDNA gene ND1.
Figure 4.
Identification by the five experts for each Fusconaia and Pleurobema species that were molecularly identified. Some of the experts did not have the opportunity to identify all specimens; this lack of identification is indicated as “No ID”.
F. subrotunda often was erroneously identified as either F. flava or P. sintoxia/rubrum (Table 3). Out of 19 mussels, 12 were confused at least once by an expert as P. sintoxia; hence, variation in misidentification rates among experts for F. subrotunda was as high as 70% (Table 3, Figure 4). Schilling 2015 [8] showed that F. subrotunda can have a white-to-orange foot color in rivers throughout the upper Tennessee River basin, primarily the Clinch River in Tennessee. However, all F. subrotunda specimens that we collected and genetically identified in the Green River in Kentucky had an orange foot.
The Pleurobema species were more difficult to identify by experts than the two Fusconaia species. The classification error rates for Pleurobema species were as follows: P. cordatum = 41%, P. plenum = 33%, and P. sintoxia/rubrum = 23% (Table 3, Figure 4). These three species all had a white-colored foot, meaning that their identification mostly relied on shell characteristics. The morphology of P. sintoxia/rubrum appears more similar to P. sintoxia, as most individuals were identified as such by at least one expert. Only one individual was identified as P. rubrum by the five experts, with all other individuals identified as P. sintoxia (Figure 4).
Because mtDNA molecular identification resulted in little to no genetic differentiation between individuals initially morphologically identified as either P. rubrum and P. sintoxia [2], we used expert identification based on morphology to try to further separate mussel specimens belonging to these two nominal taxa. The experts identified these taxa as either F. subrotunda, P. cordatum, P. plenum, P. sintoxia, or P. rubrum, with 74% of the identifications made as P. sintoxia (Figure 4). The P. rubrum and P. sintoxia individuals were mostly misidentified as P. plenum (13% of the identifications). Experts identified the P. rubrum and P. sintoxia specimens as P. rubrum only 7% of the time, and only one specimen was consistently identified as P. rubrum by the five experts. This specimen separated into an additional clade when its COI and ND1 mtDNA haplotypes were combined together in a phylogenetic analysis; however, the DNA sequence divergence was still very low and insufficient to consider it as a different species based on mitochondrial DNA [2]. The shell of this specimen had a “shallow and broad” sulcus, the beaks faced forward and passed the anterior margin of the shell, the shape was isosceles triangular, its foot was white, and the nacre (which was not observed at the time of field identification) was pink. These characteristics are typical of P. rubrum as traditionally understood by experts. However, the high identification error rate of the experts and having only one representative specimen was not enough to create an additional group for our morphometric decision trees, and random forest analyses. Hence, we grouped all of the genetically identified specimens into a single P. sintoxia group. In addition, we had morphometric data for six individuals that were identified as P. sintoxia by the experts. These specimens showed a rounded triangular shell (most of the time equilateral), an absence of sulcus, beaks facing each other and not close to the anterior margin, a white foot, and a nacre (which was not observed at the time of field identification) either white or pink.
3.2. Decision Trees
As the data distribution of the morphological variables had normal bell-shaped curves, we did not transform the data before running the decision tree analysis. Both decision trees, one for the analysis of live individuals and the other for analysis of the shells, show the probability of correctly identifying a species by following the respective branches (Figure 5 and Figure 6). In the decision tree for live specimens (Figure 5), the error rate for the training data ranged from 0% for both Fusconaia species to slightly more than 20% for P. plenum and P. sintoxia, and for the validation data the error rate was zero for all species except P. sintoxia, which was at 25% (Table 4). The decision tree for live mussel specimens (Figure 5) showed that the most important variables for identifying the species were sulcus presence, beak direction, and shell shape. In the decision tree for shells (Figure 6), the error rate for the training data also was 0% for both Fusconaia species, and then ranged from 3.3% for P. sintoxia to 8.6% for P. cordatum, and the error rate for the validation data was zero for all species (Table 4). The decision tree for shells showed that the most important variables for the identification of these species were sulcus presence, shell shape, nacre color, shell width, and beak position. Overall, misclassification rates for live mussel specimens and for shells in the three Pleurobema species were higher than between the two Fusconiaia species (Table 4).
Figure 5.
Decision tree analysis showing external shell variables used to identify live mussel specimens of species in the genera Fusconaia and Pleurobema in the Green River, Kentucky. The tree was constructed using 80% of the data as training data and 20% as validation data. The 10 K-fold cross validation was performed in order to validate the model. The number of mussel specimens analyzed is represented by “n”.
Figure 6.
Decision tree analysis showing external and internal shell variables used to identify shells only of Fusconaia and Pleurobema in the Green River, Kentucky. Decision tree was constructed using 80% of the data as training data and 20% as validation data. The 10 K-fold cross validation was performed in order to validate the model. Number of mussel specimens analyzed represented by “n”.
Table 4.
Confusion matrices obtained from the decision tree analysis for the identification of live mussels and shells of Fusconaia and Pleurobema species in the Green River, Kentucky. The confusion matrix shows predicted and actual identifications made to show the misclassification for each species. “-” indicates no value recorded for a given pairwise combination.
3.3. Random Forest Analyses
For live specimens, K-fold validation with K = 10 resulted in an error rate of 3.5%. The number of variables tested at each split was set at 2, as this was the optimal value with respect to the out-of-bag (OOB) error rate estimate. The OOB error rate estimate was 6%, meaning that the model has about 94% accuracy in identifying live mussel specimens to the correct species. Classification errors occurred mostly for P. cordatum (6.5%), P. plenum (13.3%), and P. sintoxia (7.7%) (Table 5). This analysis also allowed for the identification of the most important morphological variables for making accurate species identifications. Species predictions made using the validating data set resulted in an accuracy of 1.00 (95% CI = 0.96–1.00), meaning that all live specimens were correctly classified. On the other hand, predictions using the testing data set had an accuracy of 0.90 (95% CI = 0.77–0.97). The mean decrease in accuracy and the mean decrease in Gini graphs (showed that the most important morphological variables for the identification of these species were sulcus presence followed by beak direction and shape (Figure 7).
Table 5.
Confusion matrix for random forest analysis of live mussel specimens and shells of species belonging to the genera Fusconaia and Pleurobema collected from the Green River, Kentucky. The confusion matrix presents the predicted and actual identifications based on the validation data to show the misclassifications for each species. Classification error for each species shows the percentage of misclassified mussel specimens. “-” indicates no value recorded.
Figure 7.
The most important morphological variables used for identifying mussel species in the genera Fusconaia and Pleurobema in the Green River, Kentucky. Variable importance was determined by a mean decrease in identification accuracy for (A) live mussel specimens and (B) shells. A mean decrease in Gini (node purity, which measures the probability of misclassification) for (C) living mussel specimens and (D) shells found using random forest analysis. Shell obesity represents shell width (mm)–maximum length, while relative height represents height–maximum length.
For shells, the K-fold validation with K = 10 resulted in an error rate of 2.8%. The number of variables tested at each split was set at 3, the optimal value with respect to the OOB error rate estimate. The OOB error rate estimate was 3%, meaning that the model had approximately 97% accuracy for the identification of shells to the correct species. However, classification errors occurred for P. plenum (6.7%) and P. sintoxia (7.7%), with the model predicting that both of these species can be confused with P. cordatum (Table 5). The results of this analysis allowed us to identify morphological variables that were most important for the classification of shells to the correct species. Model predictions using the validating data set resulted in an accuracy of 1 (95% CI = 0.96–1.00), meaning that all shells were classified to the correct species. On the other hand, predictions using the testing data set had an accuracy of 0.90 (95% CI = 0.77–0.97). The mean decrease in accuracy and the mean decrease in Gini graphs (Figure 7) showed that the most important characteristic for identifying shells to their respective species was sulcus presence, followed by shape, nacre color, and beak direction.
3.4. Dichotomous Key
The dichotomous keys were developed using the categorical and quantitative characteristics shown to be most important in decision tree analysis, which were the same characteristics found most important by the random forest analysis. We provide a table summarizing the most important categorical and quantitative variables for identifying each species (Table 1), graphs showing the proportion of expression of these characteristics in each species (Figure 8), and box plots showing distributions of quantitative variables (Figure 9). Using this information, we developed dichotomous keys for the identification of live specimens and shells. In both keys, we utilized the characteristics that were easiest to identify in both field and hatchery settings.
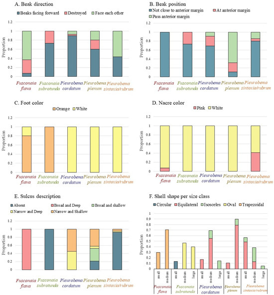
Figure 8.
Categorical variables and their proportion in each species belonging to the genera Fusconaia and Pleurobema. The categorical variables that were recorded for each mussel specimen were (A) beak direction, (B) beak position to anterior margin, (C) foot color, (D) nacre color, (E) sulcus description, and (F) shell shape. Morphological characteristics were recorded for mussel specimens belonging to species in the genera Fusconaia and Pleurobema collected from the Green River, Kentucky.
Figure 9.
The ratios of quantitative morphological variables recorded for mussel specimens in the genera Fusconaia and Pleurobema collected from the Green River, Kentucky, including (A) beak depth–maximum length, (B) hinge length–maximum length, (C) perpendicular height–maximum length, (D) wet weight–maximum length, and (E) width–maximum length.
In the dichotomous key for live specimens (Appendix A), the most important characteristic was foot color, a characteristic easy to identify in the field. Generally, the foot color for specimens of Fusconaia is orange, and white for specimens of Pleurobema. However, for the Green River, we also observed F. flava specimens with a white foot. A characteristic not used in the decision tree was beak position relative to the anterior margin, but this characteristic was useful to separate specimens of P. plenum where the beak extends beyond the anterior margin and P. sintoxia where the beak does not extend beyond to the anterior margin.
In the dichotomous key for shells (Appendix B), shape was the most important characteristic to separate F. subrotunda (circular or ovular) from the other species, which typically had a more triangular (equilateral and isosceles) or trapezoidal shape. Since it is easy to confuse trapezoidal with triangular shapes, we used beak direction to separate F. flava and P. sintoxia (beaks facing each other) from P. cordatum, P. plenum, and P. sintoxia/rubrum (beaks facing forward). We used sulcus presence and beak position relative to the anterior margin to separate these species.
4. Discussion
Our study has shown that many of the traditional shell and soft-body characteristics used to identify species in the Fusconaia and Pleurobema genera are useful for identifying species occurring in the Green River, KY. The quantification of these characteristics has allowed us to identify which ones are the most useful for identifying mussels in the field and for the development of dichotomous keys for identifying live individuals and shells. We have also shown that experts relying on their knowledge and field training to identify these species can exhibit identification errors ranging from 5% to 41% depending on the species. The mussels proving easiest to identify were Fusconaia flava and F. subrotunda because they commonly have an orange foot, while the Pleurobema species have a white foot. Hence, the experts struggled the most with identifying the Pleurobema species due to the close morphological similarity of their shells and white foot color. It is well known that mussel size and shape can be affected by a range of environmental factors, such as stream nutrient richness (e.g., dissolved calcium and bicarbonate) [24], river size (depth and width) [25,26], sediment type [27,28], stream flow variation [24,29,30], wind and current exposure, and food availability [31,32]. For example, morphological differences among specimens of F. flava could be the result of Ortmann’s [4] early observation that stream position causes clinal variation in shell shape within a species, resulting in compressed shells in small streams and inflated shells in large streams. However, in our study, the principal limitations to testing clinal variation in the shell morphology of these and other species in the Green River were the small sample sizes and limited geographic range within this system. Thus, as mussels grow in size and experience a range of environmental conditions, the characteristics used to identify them will need to be calibrated based on age and even the stream systems they live in.
The advantage of the decision tree and random forest analyses was the simultaneous use of both categorical and continuous variables to identify phenotypic differences among our study species. The most important morphological traits influencing tree accuracy and the associated Gini values were mussel shape and presence or absence of sulcus. However, field assessment and quantifications can vary depending on the judgment of the person scoring the phenotype of a specimen. Someone who is very experienced in mussel identification may prove more accurate in the scoring of categorical variables and hence in correctly identifying a species. While white nacre color was most frequently observed among specimens of each respective species, pink nacre was not infrequent and has been hypothesized to be the result of staining by chemical compounds in the water [33]. However, while nacre color has traditionally been an important characteristic to distinguish in Venustaconcha trabalis and V. troostensis, recent hatchery-based evidence suggests a genetic basis for this color trait in these species [34,35]. In addition, P. sintoxia has been described as having a polymorphic nacre color, either white, pink, or orange [32]. In this study, nacre color was found to be either pink or white for P. sintoxia/rubrum and F. flava, whereas individuals of F. subrotunda, P. cordatum, and P. plenum had only white nacre.
One of the main issues with species identification was that the umbos of many specimens in the medium and large size classes were at times eroded, which, if severe, affected the scoring of shell shape and the positions of landmarks. One characteristic that did not vary much among the study species was periostracum color, basically being uniformly chestnut brown among the study species. However, smaller and younger specimens sometimes had a lighter brown periostracum color relative to the larger and older specimens. While foot color was an easy characteristic to identify and useful for separating most Fusconaia and Pleurobema species in the Green River, KY, awareness of the caveats of how this trait varied is important. Our results indicated that F. subrotunda in the Green River have an orange-colored foot, and so in concert with the shell traits, individuals of this species should not be erroneously identified as any of the other white-footed Pleurobema species in the river. While specimens of F. flava typically had an orange foot, some individuals occasionally were white-footed. Hence, some white-footed individuals of F. flava in the Green River could potentially be erroneously identified as a Pleurobema species. However, the trapezoidal shell shape and sharp posterior-ridge of F. flava can also be used to reliably identify this species in the field.
The morphological identification of the two shell forms of P. sintoxia was challenging, as the molecular identification did not separate individuals into distinct groups or clades [2]. Further, Johnson et al. [18] recently confirmed that these two shell forms are the same species using greater mitochondrial DNA coverage and using nuclear single nucleotide polymorphisms (SNPs). However, based on the traditional shell characteristics, we observed the consistent identification of the P. rubrum and P. sintoxia shell forms by the experts. The recorded morphological characteristics matched the description from other studies for the Green River and other watersheds [14,16]. Three of the most important characteristics to differentiate these two shell forms is the presence of a sulcus in P. rubrum while the sulcus is absent in P. sintoxia, an isosceles triangular shape for P. rubrum and an equilateral triangular shape with rounded edges for P. sintoxia, and beaks passing the anterior shell margin in P. rubrum while not passing the shell margin in P. sintoxia. In some river systems such as the Clinch River of northeastern Tennessee and southwestern Virginia, these two shell forms co-occur, but intergrades do not exist. Further, the shell characteristics distinguishing these two forms are noticeable even at a young age (2–3 years), including the early development of a sulcus in P. rubrum. Similarly, in the Green River, the two shell forms are also distinguishable by experts, as shown in our study. However, the lack of genetic differentiation in mitochondrial DNA and the limited number of specimens available in our study for the P. rubrum shell form precluded us from reaching strong conclusions about how best to identify these two shell forms, especially regarding how to morphologically characterize the different size classes of these two forms in the Green River. Thus, our dichotomous keys emphasize the use of the non-sulcus shell characteristic to identify P. sintoxia in the Green River. Of course, the isosceles triangular shell form nominally identified as P. rubrum does occur in the Green River but it is uncommon relative to the P. sintoxia shell form and can be identified using the characteristics provided in this study.
In summary, we have developed, for the first time, dichotomous keys that have been genetically corroborated and quantitatively characterized for identifying mussel species in the genera Fusconaia and Pleurobema in the Green River, KY. Because mussels even of the same species in other watersheds may show other characteristics or shapes that were not considered in this study, we believe our keys are tailored to the specific shell and soft-body characteristics and their phenotypic expression in the Green River watershed. For effective use of the keys, field researchers will need to be trained in visualizing and assessing the different shell-shape categories to correctly identify these species. Hence, a mussel identification workshop is necessary to test the dichotomous keys before and after mussel biologists have been trained in their use and to assess whether their identification scores would increase after the workshop. Thus, the proposed dichotomous keys still need to be tested in such a way by experts. However, the morphological variability of the mussel shapes as well as the traits shared among these species likely will result in error rates even among experts in the 10–20% range, especially if training does not occur to improve the identification skills of field biologists. In cases of management importance, we suggest that species identification will need to be corroborated by the use of molecular markers, especially for species of conservation concern such as the endangered P. plenum. Finally, these dichotomous keys are useful for the identification of mussels from the Green River, Kentucky, but may not apply to other river systems.
Author Contributions
Conceptualization, J.W.J. and E.M.H.; methodology, M.O.-H. and J.W.J.; validation, M.O.-H. and J.W.J.; formal analysis, M.O.-H. and J.W.J.; resources, J.W.J. and E.M.H.; data curation, M.O.-H.; writing—original draft preparation, M.O.-H.; writing—review and editing, M.O.-H. and J.W.J.; E.M.H.; visualization, M.O.-H. and J.W.J.; supervision, J.W.J. and E.M.H.; project administration, J.W.J. and E.M.H.; funding acquisition, J.W.J. All authors have read and agreed to the published version of the manuscript.
Funding
Funding for this research was provided by the U.S. Fish and Wildlife Service, Frankfort, the Kentucky Field Office, and the Kentucky Waterway Alliance.
Institutional Review Board Statement
Not applicable for studies not involving humans or vertebrate animals.
Data Availability Statement
The data presented in this study are available on request from the corresponding author.
Acknowledgments
Mussel sampling in the Green River, KY was conducted in collaboration with Chad Lewis and his crew at Lewis Environmental Consulting, LLC. DNA collection and tagging were conducted with the help from Aaron Adkins, Anna Dellapenta, Caitlin Carey, Tim Lane, and Lee Stephens at the Freshwater Mollusk Conservation Center (FMCC) at Virginia Tech. FMCC graduate student Murray Hyde helped with DNA collection, mussel tagging, and lab work. Field identifications of the species were performed by Leroy Koch, Wendell Haag, Chad Lewis, Monte McGregor, and Adam Shephard. Insightful input for the methods and discussion was provided by Emmanuel Frimpong and Pawel Michalak. The participation of Eric Hallerman was supported in part by the Virginia Agricultural Experiment Station through the USDA National Institute for Food and Agriculture. All views expressed in this article are those of the authors and do not necessarily represent the views of the U.S. Fish and Wildlife Service. Any use of trade, firm, or product names is for descriptive purposes only and does not imply endorsement by the U.S. Government.
Conflicts of Interest
The authors declare no conflicts of interest.
Abbreviations
The following abbreviations are used in this manuscript:
| COI | Cytochrome oxidase subunit 1 |
| GPS | Global positioning system |
| mtDNA | Mitochondrial DNA |
| ND1 | NADH dehydrogenase subunit 1 |
| OOB | Out-of-bag error rate |
Appendix A
A dichotomous key to identify live mussel specimens of the Fusconaia and Pleurobema species occurring in the Green River, Kentucky. Disclaimer: This dichotomous key has been developed to be used only for Fusconaia and Pleurobema species collected from the Green River, Kentucky.
| (1) A. Orange foot (1a) | 2 |
| B. White foot (1b) | 3 |
| 1a | 1b | |
![]() | ![]() | |
| (2). A. Shell shape: trapezoidal (2a) | Fusconaia flava | |
| B. Shell shape: circular (2b) or oval (2c) | Fusconaia subrotunda | |
| 2a | 2b | 2c |
![]() | ![]() | ![]() |
| 2d | 2e | |
![]() | ![]() | |
Mussel shape: (2a) trapezoidal, (2b) circular, (2c) oval, (2d) equilateral, and (2e) isosceles.
| (3) A. Beak direction: facing each other (3a) | 4 | |
| B. Beak direction: facing forward (3b) | 5 | |
| 3a | 3b | |
![]() | ![]() | |
Beak direction: (3a) facing each other and (3b) facing forward.
| (4) A. Shell shape: trapezoidal (2a) | Fusconaia flava |
| B. Shell shape: equilateral (2d) or isosceles (2e) | 6 |
| (5) A. Shell sulcus: absent (4a) | Pleurobema sintoxia/rubrum |
| B. Shell sulcus: present and either broad and shallow (4b) or narrow and | |
| deep (4c) or narrow and shallow (4d) | 7 |
| 4A | 4B |
![]() | ![]() |
| 4C | 4D |
![]() | ![]() |
Sulcus presence: (4A) absent, (4B) broad and shallow, (4C) narrow and deep, and (4D) narrow and shallow.
| (6) A. Shell sulcus: absent (4a) | Pleurobema sintoxia/rubrum | |||
| B. Shell sulcus: narrow and shallow (4d) | Pleurobema cordatum | |||
| (7) A. Position of beak with respect to anterior margin: does not extend beyond | ||||
| anterior margin (5a) | Pleurobema cordatum | |||
| B. Position of beak with respect to anterior margin: extends beyond | ||||
| anterior margin (5b) | Pleurobema plenum | |||
| 5a | 5b | |||
![]() | ![]() | |||
Position of the beak with respect to the anterior margin: (5a) beak does not extend beyond the anterior margin and (5b) beak extends beyond anterior margin.
Appendix B
A dichotomous key to identify dead mussel specimens (shell without soft parts) of the Fusconaia and Pleurobema species occurring in the Green River, Kentucky.
Disclaimer: This dichotomous key has been developed to be used only for Fusconaia and Pleurobema species collected from the Green River, Kentucky.
| (1) A. Shape: circular (1a) or oval (1b) | Fusconaia subrotunda |
| B. Shape: equilateral (1c), isosceles (1d), or trapezoidal (1e) | 2 |
| 1a | 1b | 1c |
![]() | ![]() | ![]() |
| 1d | 1e | |
![]() | ![]() | |
Shell shape: (1a) circular, (1b) oval, (1c) equilateral, (1d) isosceles, and (1e) trapezoidal shape.
| (2) A. Beak direction: facing each other (2a) | 3 | |
| B. Beak direction: facing forward (2b) | 4 | |
| 2a | 2b | |
![]() | ![]() | |
Beak direction: (2a) facing each other and (2b) facing forward.
| 3a | 3b |
![]() | ![]() |
| 3c | 3d |
![]() | ![]() |
Sulcus presence: absent (3a), broad and shallow (3b), narrow and deep (3c), and narrow and shallow (3d).
| (3) A. Shell shape: trapezoidal (1a) | Fusconaia flava | |||
| B. Shell shape: equilateral (1d) or isosceles (1e) triangular | 6 | |||
| (4) A. Shell sulcus: absent (3a) | Pleurobema sintoxia/rubrum | |||
| B. Shell sulcus: broad and shallow (3b) or narrow and deep (3c) or narrow | ||||
| and shallow (3d) | 7 | |||
| (5) A. Shell sulcus: absent (3a) | Pleurobema sintoxia/rubrum | |||
| B. Shell sulcus: narrow and shallow (3d) | Pleurobema cordatum | |||
| (6) A. Position of beak with respect to anterior margin: not close to anterior | ||||
| margin (4a) | Pleurobema cordatum | |||
| B. Position of beak with respect to anterior margin: past anterior | ||||
| margin (4b) | Pleurobema plenum | |||
| 4a | 4b | |||
![]() | ![]() | |||
Position of the beak with respect to the anterior margin: (4a) beak is not anterior the anterior margin and (4b) beak passes anterior margin.
References
- Zieritz, A.; Aldridge, D.C. Identification of ecophenotypic trends within three European freshwater mussel species (Bivalvia: Unionoida) using traditional and modern morphometric techniques. Biol. J. Linnaean Soc. 2009, 98, 814–825. [Google Scholar] [CrossRef]
- Olivera-Hyde, M.; Jones, J.W.; Hallerman, E.M. Phylogenetic assessment of endangered and look-alike pigtoe species in a freshwater mussel diversity hotspot. Ecol. Evol. 2023, 13, e9717. [Google Scholar] [CrossRef] [PubMed]
- Crampton, J.S.; Maxwell, P.A. Size: All it’s shaped up to be? Evolution of shape through the lifespan of the Cenozoic bivalve Spissatella (Crassatellidae). Geol. Soc. Lond. Spec. Publ. 2000, 177, 399–423. [Google Scholar] [CrossRef]
- Ortmann, A.E. Correlation of shape and station in fresh-water mussels (Naiades). Proc. Am. Philos. Soc. 1920, 59, 269–312. [Google Scholar]
- Inoue, K.; Hayes, D.M.; Harris, J.L.; Christian, A.D. Phylogenetic and morphometric analyses reveal ecophenotypic plasticity in freshwater mussels Obovaria jacksoniana and Villosa arkansasensis (Bivalvia: Unionidae). Ecol. Evol. 2013, 3, 2670–2683. [Google Scholar] [CrossRef]
- Simeone, D.; Tagliaro, C.H.; Lima, J.O.; Beasley, C.R. Relative importance of the environment and sexual dimorphism in determining shell shape in the Amazonian freshwater mussel Castalia ambigua (Unionida: Hyriidae) along a hydrological gradient. Zoomorphology 2022, 141, 233–243. [Google Scholar] [CrossRef]
- Grabarkiewicz, J.D.; Davis, W.S. An Introduction to Freshwater Fishes as Biological Indicators; EPA-260-R-08-015; Office of Environmental Information, U.S. Environmental Protection Agency: Washington, DC, USA, 2008. [Google Scholar]
- Schilling, D.E. Assessment of Morphological and Molecular Genetic Variation of Freshwater Mussel Species Belonging to the Genera Fusconaia, Pleurobema, and Pleuronaia in the Upper Tennessee River Basin. Master’s Thesis, Virginia Polytechnic Institute and State University, Blacksburg, VA, USA, 2015. [Google Scholar]
- Lydeard, C.; Mulvey, M.; Davis, G.M. Molecular systematics and evolution of reproductive traits of North American freshwater unionacean mussels (Mollusca: Bivalvia) as inferred from 16S rRNA gene sequences. Philos. Trans. Royal Soc. Lond. B Biol. Sci. 1996, 351, 1593–1603. [Google Scholar]
- Lydeard, C.; Minton, R.L.; Williams, J.D. Prodigious polyphyly in imperiled freshwater pearly-mussels (Bivalvia: Unionidae): A phylogenetic test of species and generic designations. Geol. Soc. Lond. Spec. Publ. 2000, 177, 145–158. [Google Scholar] [CrossRef]
- Haag, W.R.; Warren, M.L. Host fishes and infection strategies of freshwater mussels in large Mobile Basin streams, USA. J. N. Am. Benthol. Soc. 2003, 22, 78–91. [Google Scholar] [CrossRef]
- Barnhart, M.C.; Haag, W.R.; Roston, W.N. Adaptations to host infection and larval parasitism in Unionoida. J. N. Am. Benthol. Soc. 2008, 27, 370–394. [Google Scholar] [CrossRef]
- Stansbery, D.H. A Provisional Classification of the Pleurobema cordatum Complex in the Mississippi Drainage Basin of North America; Ohio State Museum: Columbus, OH, USA, 1967; 2p. [Google Scholar]
- Cicerello, R.R.; Schuster, G.A. A Guide to the Freshwater Mussels of Kentucky; Kentucky State Nature Preserves Commission: Frankfort, KY, USA, 2003. [Google Scholar]
- Watters, G.T.; Hoggarth, M.A.; Stansbery, D.H. The Freshwater Mussels of Ohio; The Ohio State University Press: Columbus, OH, USA, 2009. [Google Scholar]
- Pennsylvania Chapter, American Fisheries Society. A Field Guide to Pennsylvania’s Freshwater Mussels; Pennsylvania Chapter, American Fisheries Society: Bethesda, MD, USA, 2018; Available online: https://pa.fisheries.org/wp-content/uploads/2018/02/Mussel-ID-workshop-field-guide-2-9-18.pdf (accessed on 23 October 2019).
- Watters, G.T.; Byrne, C. Freshwater Mussel Identification Workshop. Museum of Biological Diversity; The Ohio State University: Columbus, OH, USA, 2016. [Google Scholar]
- Johnson, N.A.; Henderson, A.R.; Jones, J.W.; Beaver, C.E.; Ahlstedt, S.A.; Dinkins, G.R.; Eckert, N.L.; Endries, M.J.; Garner, J.T.; Harris, J.L.; et al. Glacial vicariance and secondary contact shape demographic histories in a freshwater mussel species complex. J. Hered. 2014, 115, 72–85. [Google Scholar] [CrossRef] [PubMed]
- Hothorn, T.; Zeileis, A.; Hornik, K. Package ‘Party’. 2019. Available online: http://cran.r-project.org/web/packages/party/party.pdf (accessed on 23 October 2019).
- Therneau, T.; Atkinson, B.; Ripley, B.; Ripley, M.B. Package ‘Rpart’. 2015. Available online: http://cran.r-project.org/web/packages/rpart/rpart.pdf (accessed on 23 October 2019).
- Keogh, S.M.; Simons, A.M. Molecules and morphology reveal “new” widespread North American freshwater mussel species (Bivalvia: Unionidae). Molec. Phylogenet. Evol. 2019, 138, 182–192. [Google Scholar] [CrossRef] [PubMed]
- Liaw, A. Package ‘randomForest’. 2018. Available online: http://cran.r-project.org/web/packages/randomForest/randomForest.pdf (accessed on 28 October 2019).
- Kuhn, M. The Caret Package. 2012. Available online: http://cran.r-project.org/package=caret (accessed on 28 October 2019).
- Bartsch, M.R.; Bartsch, L.A.; Richardson, W.B.; Vallazza, J.M.; Moraska Lafrancois, B. Effects of food resources on the fatty acid composition, growth and survival of freshwater mussels. PLoS ONE 2017, 12, e0173419. [Google Scholar] [CrossRef] [PubMed]
- Ball, G.H. Variation in fresh-water mussels. Ecology 1922, 3, 93–121. [Google Scholar] [CrossRef]
- Hornbach, D.J.; Kurth, V.J.; Hove, M.C. Variation in freshwater mussel shell sculpture and shape along a river gradient. Amer. Midl. Natural. 2010, 164, 22–36. [Google Scholar] [CrossRef]
- Hinch, S.G.; Bailey, R.C.; Green, R.H. Growth of Lampsilis radiata (Bivalvia: Unionidae) in sand and mud: A reciprocal transplant experiment. Canad. J. Fish. Aquat. Sci. 1986, 43, 548–552. [Google Scholar] [CrossRef]
- Bailey, R.C.; Green, R.H. Within-basin variation in the shell morphology and growth rate of a freshwater mussel. Canad. J. Zool. 1988, 66, 1704–1708. [Google Scholar] [CrossRef]
- Dycus, J.C.; Wisniewski, J.M.; Peterson, J.T. The effects of flow and stream characteristics on the variation in freshwater mussel growth in a southeast US river basin. Freshwat. Biol. 2015, 60, 395–409. [Google Scholar] [CrossRef]
- Keogh, S.M.; Pfeiffer, J.M.; Simons, A.M.; Edie, S.M. Riverine flow rate drives widespread convergence in the shell morphology of imperiled freshwater mussels. Evolution 2024, 78, 39–52. [Google Scholar] [CrossRef]
- Haag, W.R.; Rypel, A.L. Growth and longevity in freshwater mussels: Evolutionary and conservation implications. Biol. Rev. 2011, 86, 225–247. [Google Scholar] [CrossRef]
- Haag, W.R. North American Freshwater Mussels: Natural History, Ecology, and Conservation; Cambridge University Press: Cambridge, UK, 2012. [Google Scholar]
- Rosenberg, G.D.; Henschen, M.T. Sediment particles as a cause of nacre staining in the freshwater mussel, Amblema plicata (Say) (Bivalvia: Unionidae). Hydrobiologia 1986, 135, 167–178. [Google Scholar] [CrossRef]
- Parmalee, P.W.; Bogan, A.E. The Freshwater Mussels of Tennessee; University of Tennessee Press: Knoxville, TN, USA, 1998. [Google Scholar]
- Lane, T.W.; Hallerman, E.M.; Jones, J.W. Population genetic assessment of two critically endangered freshwater mussel species, Tennessee bean Venustaconcha trabalis and Cumberland bean Venustaconcha troostensis. Conserv. Genet. 2019, 20, 759–779. [Google Scholar] [CrossRef]
Disclaimer/Publisher’s Note: The statements, opinions and data contained in all publications are solely those of the individual author(s) and contributor(s) and not of MDPI and/or the editor(s). MDPI and/or the editor(s) disclaim responsibility for any injury to people or property resulting from any ideas, methods, instructions or products referred to in the content. |
© 2025 by the authors. Licensee MDPI, Basel, Switzerland. This article is an open access article distributed under the terms and conditions of the Creative Commons Attribution (CC BY) license (https://creativecommons.org/licenses/by/4.0/).



























