Do Newly Built Urban Parks Support Higher Bird Diversity? Evidence from the High-Density Urban Built-Up Area of Zhengzhou, China
Abstract
1. Introduction
- Newly built parks (constructed within the last decade) having incorporated modern ecological design principles support significantly higher bird abundance, species richness, and functional diversity compared to older, traditionally designed parks.
- At the local scale, greater habitat diversity and a higher proportion of multi-layered vegetation structure are the primary factors driving enhanced bird diversity in newer parks.
- At the landscape scale, higher connectivity to surrounding green infrastructure positively affects bird diversity across all parks, with particularly strong benefits for species dispersal in newer parks.
2. Materials and Methods
2.1. Study Area and Park Selection
2.2. Bird Census in Urban Parks
2.3. Bird Diversity Metrics
2.4. Environmental Variables
2.5. Statistical Analysis
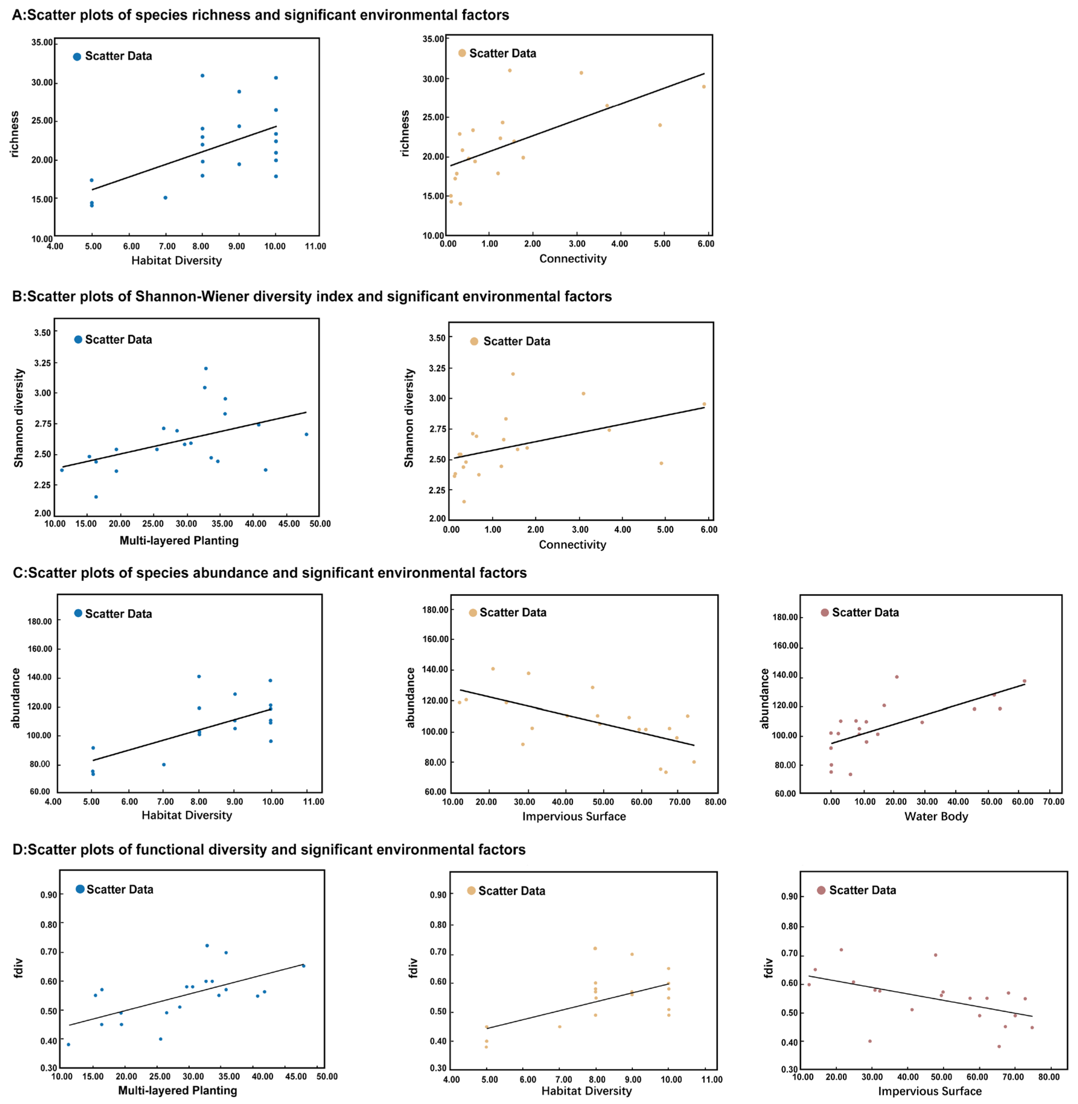
3. Results
3.1. Overall Bird Community
3.2. Comparison of Bird Diversity Between New and Old Parks
3.3. Drivers of Bird Diversity
4. Discussion
4.1. The Efficacy of Biodiversity-Friendly Design: Why New Parks Perform Better
4.2. Interpreting the Multi-Scale Drivers of Avian Diversity
4.3. Rethinking the Importance of Park Area and Population Density
4.4. Management Implications and Planning Recommendations
4.5. Limitations and Future Directions
5. Conclusions
Supplementary Materials
Author Contributions
Funding
Data Availability Statement
Conflicts of Interest
References
- Pörtner, H.-O.; Scholes, R.J.; Arneth, A.; Barnes, D.K.A.; Burrows, M.T.; Diamond, S.E.; Duarte, C.M.; Kiessling, W.; Leadley, P.; Managi, S.; et al. Overcoming the coupled climate and biodiversity crises and their societal impacts. Science 2023, 380, eabl4881. [Google Scholar] [CrossRef]
- Li, G.; Fang, C.; Li, Y.; Wang, Z.; Sun, S.; He, S.; Qi, W.; Bao, C.; Ma, H.; Fan, Y.; et al. Global impacts of future urban expansion on terrestrial vertebrate diversity. Nat. Commun. 2022, 13, 1628. [Google Scholar] [CrossRef] [PubMed]
- Diamant, E.S.; Oswald, K.N.; Awoyemi, A.G.; Gaston, K.J.; MacGregor-Fors, I.; Berger-Tal, O.; Roll, U. The importance of biome in shaping urban biodiversity. Trends Ecol. Evol. 2025, 40, 601–612. [Google Scholar] [CrossRef]
- Piano, E.; Souffreau, C.; Merckx, T.; Baardsen, L.F.; Backeljau, T.; Bonte, D.; Brans, K.I.; Cours, M.; Dahirel, M.; Debortoli, N.; et al. Urbanization drives cross-taxon declines in abundance and diversity at multiple spatial scales. Glob. Change Biol. 2020, 26, 1196–1211. [Google Scholar] [CrossRef]
- zu Ermgassen, S.O.S.E.; Utamiputri, P.; Bennun, L.; Edwards, S.; Bull, J.W. The Role of “No Net Loss” Policies in Conserving Biodiversity Threatened by the Global Infrastructure Boom. One Earth 2019, 1, 305–315. [Google Scholar] [CrossRef]
- Lewin, A.; Murali, G.; Rachmilevitch, S.; Roll, U. Global evaluation of current and future threats to drylands and their vertebrate biodiversity. Nat. Ecol. Evol. 2024, 8, 1448–1458. [Google Scholar] [CrossRef]
- Chen, Y.; Weng, Q.; Tang, L.; Wang, L.; Xing, H.; Liu, Q. Developing an intelligent cloud attention network to support global urban green spaces mapping. ISPRS J. Photogramm. Remote Sens. 2023, 198, 197–209. [Google Scholar] [CrossRef]
- Batáry, P.; Kurucz, K.; Suarez-Rubio, M.; Chamberlain, D.E. Non-linearities in bird responses across urbanization gradients: A meta-analysis. Glob. Change Biol. 2017, 24, 1046–1054. [Google Scholar] [CrossRef]
- Cao, Y.; Li, B.; He, D.; Wu, Z.; Wang, Z.; Lei, Y. Change of urban park use before and during the COVID-19 pandemic determined by on-site observation: A comparative study in Zhengzhou, China. J. Outdoor Recreat. Tour. 2025, 49, 100855. [Google Scholar] [CrossRef]
- Beger, M.; Metaxas, A.; Balbar, A.C.; McGowan, J.A.; Daigle, R.; Kuempel, C.D.; Treml, E.A.; Possingham, H.P. Demystifying ecological connectivity for actionable spatial conservation planning. Trends Ecol. Evol. 2022, 37, 1079–1091. [Google Scholar] [CrossRef] [PubMed]
- Yang, X.; Tan, X.; Chen, C.; Wang, Y. The influence of urban park characteristics on bird diversity in Nanjing, China. Avian Res. 2020, 11, 45. [Google Scholar] [CrossRef]
- Watson, J.E.M.; Whittaker, R.J.; Freudenberger, D. Bird community responses to habitat fragmentation: How consistent are they across landscapes? J. Biogeogr. 2005, 32, 1353–1370. [Google Scholar] [CrossRef]
- Chamberlain, D.E.; Cannon, A.R.; Toms, M.P.; Leech, D.I.; Hatchwell, B.J.; Gaston, K.J. Avian productivity in urban landscapes: A review and meta-analysis. Ibis 2008, 151, 1–18. [Google Scholar] [CrossRef]
- Donnelly, R.; Marzluff, J.M. Importance of Reserve Size and Landscape Context to Urban Bird Conservation. Conserv. Biol. 2004, 18, 733–745. [Google Scholar] [CrossRef]
- Kontsiotis, V.J.; Chatzigiovanakis, S.; Valsamidis, E.; Xofis, P.; Liordos, V. Normalized Difference Vegetation Index as a Proxy of Urban Bird Species Presence and Distribution at Different Spatial Scales. Diversity 2023, 15, 1139. [Google Scholar] [CrossRef]
- Li, X.; Ou, X.; Sun, X.; Li, H.; Li, Y.; Zheng, X. Urban biodiversity conservation: A framework for ecological network construction and priority areas identification considering habit differences within species. J. Environ. Manag. 2024, 365, 121512. [Google Scholar] [CrossRef] [PubMed]
- Evans, K.L.; Newson, S.E.; Gaston, K.J. Habitat influences on urban avian assemblages. Ibis 2008, 151, 19–39. [Google Scholar] [CrossRef]
- Blair, R. The Effects of Urban Sprawl on Birds at Multiple Levels of Biological Organization. Ecol. Soc. 2004, 9, 2. [Google Scholar] [CrossRef]
- Liker, A.; Papp, Z.; Bókony, V.; Lendvai, Á.Z. Lean birds in the city: Body size and condition of house sparrows along the urbanization gradient. J. Anim. Ecol. 2008, 77, 789–795. [Google Scholar] [CrossRef] [PubMed]
- Patankar, S.; Jambhekar, R.; Suryawanshi, K.R.; Nagendra, H. Which Traits Influence Bird Survival in the City? A Review. Land 2021, 10, 92. [Google Scholar] [CrossRef]
- Cao, Y.; Natuhara, Y. Effect of Anthropogenic Disturbance on Floristic Homogenization in the Floodplain Landscape: Insights from the Taxonomic and Functional Perspectives. Forests 2020, 11, 1036. [Google Scholar] [CrossRef]
- Clergeau, P.; Jokimäki, J.; Savard, J.L. Are urban bird communities influenced by the bird diversity of adjacent landscapes? J. Appl. Ecol. 2001, 38, 1122–1134. [Google Scholar] [CrossRef]
- Lepczyk, C.A.; Flather, C.H.; Radeloff, V.C.; Pidgeon, A.M.; Hammer, R.B.; Liu, J. Human Impacts on Regional Avian Diversity and Abundance. Conserv. Biol. 2008, 22, 405–416. [Google Scholar] [CrossRef]
- Wang, Y.; Pan, Y.; Meng, X.; Zhu, M.; Lin, L.; Ding, Z. Exploring recreational ecosystem services and influencing factors in megaparks using mobile phone data—Evidence from the Yangtze River Delta region. Ecol. Indic. 2024, 165, 112195. [Google Scholar] [CrossRef]
- Sedayu, A.; Putri, N.; Aminudin, A.; Mawardi, M.; Noer, M.I.; Maulana, L. Fern Species-Area Relationship in Urban Anthropogenic Islands in Slawi, Tegal, Central Java. J. Trop. Biodivers. Biotechnol. 2024, 9, 87781. [Google Scholar] [CrossRef]
- Threlfall, C.G.; Ossola, A.; Hahs, A.K.; Williams, N.S.G.; Wilson, L.; Livesley, S.J. Variation in Vegetation Structure and Composition across Urban Green Space Types. Front. Ecol. Evol. 2016, 4, 66. [Google Scholar] [CrossRef]
- Marzluff, J.M.; Ewing, K. Restoration of Fragmented Landscapes for the Conservation of Birds: A General Framework and Specific Recommendations for Urbanizing Landscapes. Restor. Ecol. 2001, 9, 280–292. [Google Scholar] [CrossRef]
- Morelli, F.; Benedetti, Y.; Su, T.; Zhou, B.; Moravec, D.; Šímová, P.; Liang, W. Taxonomic diversity, functional diversity and evolutionary uniqueness in bird communities of Beijing’s urban parks: Effects of land use and vegetation structure. Urban For. Urban Green. 2017, 23, 84–92. [Google Scholar] [CrossRef]
- Oropeza-Sánchez, M.T.; Solano-Zavaleta, I.; Cuandón-Hernández, W.L.; Martínez-Villegas, J.A.; Palomera-Hernández, V.; Zúñiga-Vega, J.J. Urban green spaces with high connectivity and complex vegetation promote occupancy and richness of birds in a tropical megacity. Urban Ecosyst. 2024, 28, 50. [Google Scholar] [CrossRef]
- Cao, Y.; Wang, S.; Tian, G.; Dong, N.; Lei, Y. Coupling Biodiversity and Human Pressures to Indicate Conservation Priorities for Threatened Waterfowl Species: A Case in the Henan Yellow River Wetland National Nature Reserve. Land 2023, 12, 1250. [Google Scholar] [CrossRef]
- Franke, S.; Brandl, R.; Heibl, C.; Mattivi, A.; Müller, J.; Pinkert, S.; Thorn, S. Predicting regional hotspots of phylogenetic diversity across multiple species groups. Divers. Distrib. 2020, 26, 1305–1314. [Google Scholar] [CrossRef]
- Dylewski, Ł.; Białas, J.T.; Szymysł, A.; Banaszak-Cibicka, W. Pollinator assemblages in grasslands along river valleys depend on the urban matrix and local habitat scale variables. Ecol. Indic. 2024, 159, 111687. [Google Scholar] [CrossRef]
- Moore, A.A.; Palmer, M.A. Invertebrate biodiversity in agricultural and urban headwater streams: Implications for conservation and management. Ecol. Appl. 2005, 15, 1169–1177. [Google Scholar] [CrossRef]
- Baguette, M.; Blanchet, S.; Legrand, D.; Stevens, V.M.; Turlure, C. Individual dispersal, landscape connectivity and ecological networks. Biol. Rev. 2012, 88, 310–326. [Google Scholar] [CrossRef] [PubMed]
- Sahle, M.; Lahoti, S.A.; Mohammed, A.; Tura, T.T.; Degefa, S.; Saito, O.; Kumar, P. Evaluating Nature-Positive Urban Renewal Green Infrastructure Projects in Addis Ababa: A Multi-Dimensional Approach Using the Urban Nature Futures Framework. Urban Sci. 2025, 9, 161. [Google Scholar] [CrossRef]
- Jim, C.Y. Sustainable urban greening strategies for compact cities in developing and developed economies. Urban Ecosyst. 2012, 16, 741–761. [Google Scholar] [CrossRef]
- Lovell, S.T.; Johnston, D.M. Designing Landscapes for Performance Based on Emerging Principles in Landscape Ecology. Ecol. Soc. 2009, 14, 44. [Google Scholar] [CrossRef]
- Luo, M.; Cai, J.; Zeng, Z.; Zheng, Y.; Lin, T. Development and practices of nature-based solutions in China. Nat.-Based Solut. 2023, 5, 100109. [Google Scholar] [CrossRef]
- Finnerty, P.B.; Carthey, A.J.R.; Banks, P.B.; Brewster, R.; Grueber, C.E.; Houston, D.; Martin, J.M.; McManus, P.; Roncolato, F.; van Eeden, L.M.; et al. Urban rewilding to combat global biodiversity decline. BioScience 2025, 75, 545–558. [Google Scholar] [CrossRef] [PubMed]
- Jin, X.; Qian, S.; Yuan, J. Identifying urban rewilding opportunity spaces in a metropolis: Chongqing as an example. Ecol. Indic. 2024, 160, 111778. [Google Scholar] [CrossRef]
- van der Walt, M.; Berner, J.M.; Breed, C.A. The vitality of native grassland plants in current urban climatic conditions in Gauteng, South Africa. Ecol. Indic. 2023, 158, 111332. [Google Scholar] [CrossRef]
- Sun, L.; Chen, J.; Li, Q.; Huang, D. Dramatic uneven urbanization of large cities throughout the world in recent decades. Nat. Commun. 2020, 11, 5366. [Google Scholar] [CrossRef]
- Horton, K.G.; Buler, J.J.; Anderson, S.J.; Burt, C.S.; Collins, A.C.; Dokter, A.M.; Guo, F.; Sheldon, D.; Tomaszewska, M.A.; Henebry, G.M. Artificial light at night is a top predictor of bird migration stopover density. Nat. Commun. 2023, 14, 7466. [Google Scholar] [CrossRef]
- La Sorte, F.A.; Fink, D.; Blancher, P.J.; Rodewald, A.D.; Ruiz-Gutierrez, V.; Rosenberg, K.V.; Hochachka, W.M.; Verburg, P.H.; Kelling, S. Global change and the distributional dynamics of migratory bird populations wintering in Central America. Glob. Change Biol. 2017, 23, 5284–5296. [Google Scholar] [CrossRef] [PubMed]
- Díaz-Cháux, J.T.; Velasquez-Valencia, A.; Martínez-Salinas, A.; Casanoves, F. Functional Diversity and Ecosystem Services of Birds in Productive Landscapes of the Colombian Amazon. Diversity 2025, 17, 305. [Google Scholar] [CrossRef]
- Häkkilä, M.; Le Tortorec, E.; Brotons, L.; Rajasärkkä, A.; Tornberg, R.; Mönkkönen, M. Degradation in landscape matrix has diverse impacts on diversity in protected areas. PLoS ONE 2017, 12, e0184792. [Google Scholar] [CrossRef] [PubMed]
- Bibby, C.J.; Hill, D.A.; Burgess, N.D.; Mustoe, S. Bird Census Techniques, 2nd ed.; Academic Press: London, UK, 2000. [Google Scholar]
- Cooke, R.S.C.; Bates, A.E.; Eigenbrod, F. Global trade-offs of functional redundancy and functional dispersion for birds and mammals. Glob. Ecol. Biogeogr. 2019, 28, 484–495. [Google Scholar] [CrossRef]
- Thompson, R.; Tamayo, M.; Sigurðsson, S. Urban bird diversity: Does abundance and richness vary unexpectedly with green space attributes? J. Urban Ecol. 2022, 8, juac017. [Google Scholar] [CrossRef]
- Gao, M.; Li, C.; Li, Y.; Wen, S.; Zhang, Y.; Liu, L.; Zhang, J.; Chen, M.; Yang, J. Integration of ecological restoration and landscape aesthetics: Mechanisms of microplastic retention by optimization of aquatic plants landscape design in urban constructed wetlands—A case study of the living water park in Chengdu. Sci. Total. Environ. 2024, 957, 177331. [Google Scholar] [CrossRef]
- Zhang, N.; Xu, H.; Cheng, Y.; Hou, Q. Quantification and analysis study for the morphological characteristics of urban waterbodies: Evidences from 42 cases in China. Ecol. Indic. 2024, 166, 112458. [Google Scholar] [CrossRef]
- Woodcock, B.; Redhead, J.; Vanbergen, A.; Hulmes, L.; Hulmes, S.; Peyton, J.; Nowakowski, M.; Pywell, R.; Heard, M. Impact of habitat type and landscape structure on biomass, species richness and functional diversity of ground beetles. Agric. Ecosyst. Environ. 2010, 139, 181–186. [Google Scholar] [CrossRef]
- Cannon, P.G.; Gilroy, J.J.; Tobias, J.A.; Anderson, A.; Haugaasen, T.; Edwards, D.P. Land-sparing agriculture sustains higher levels of avian functional diversity than land sharing. Glob. Change Biol. 2019, 25, 1576–1590. [Google Scholar] [CrossRef]
- Cohen, M.J.; Creed, I.F.; Alexander, L.; Basu, N.B.; Calhoun, A.J.K.; Craft, C.; D’aMico, E.; DeKeyser, E.; Fowler, L.; Golden, H.E.; et al. Do geographically isolated wetlands influence landscape functions? Proc. Natl. Acad. Sci. USA 2016, 113, 1978–1986. [Google Scholar] [CrossRef]
- Sol, D.; Trisos, C.; Múrria, C.; Jeliazkov, A.; González-Lagos, C.; Pigot, A.L.; Ricotta, C.; Swan, C.M.; Tobias, J.A.; Pavoine, S. The worldwide impact of urbanisation on avian functional diversity. Ecol. Lett. 2020, 23, 962–972. [Google Scholar] [CrossRef]
- Han, D.; Wang, C.; She, J.; Sun, Z.; Yin, L. Effects of Vegetation Heterogeneity on Butterfly Diversity in Urban Parks: Applying the Patch–Matrix Framework at Fine Scales. Sustainability 2025, 17, 6289. [Google Scholar] [CrossRef]
- Remeš, V.; Remešová, E.; Friedman, N.R.; Matysioková, B.; Rubáčová, L. Functional diversity of avian communities increases with canopy height: From individual behavior to continental-scale patterns. Ecol. Evol. 2021, 11, 11839–11851. [Google Scholar] [CrossRef] [PubMed]
- Carvalho, D.N.; Calixto, E.S.; Del-Claro, K. Effects of Vegetation on Bird Communities and Bird–Plant Interactions in Urban Green Areas of Riparian Forests in Brazil That Have Undergone Ecological Restoration. Diversity 2025, 17, 149. [Google Scholar] [CrossRef]
- Rotenberry, J.T.; Wiens, J.A. Habitat Structure, Patchiness, and Avian Communities in North American Steppe Vegetation: A Multivariate Analysis. Ecology 1980, 61, 1228–1250. [Google Scholar] [CrossRef]
- Sharmin, M.; Tjoelker, M.G.; Esperon-Rodriguez, M.; Katlav, A.; Gilpin, A.-M.; Rymer, P.D.; Power, S.A. Urban greening with shrubs can supercharge invertebrate abundance and diversity. Sci. Rep. 2024, 14, 8735. [Google Scholar] [CrossRef]
- Sukma, H.T.; Di Stefano, J.; Swan, M.; Sitters, H. Mammal functional diversity increases with vegetation structural complexity in two forest types. For. Ecol. Manag. 2019, 433, 85–92. [Google Scholar] [CrossRef]
- Torre, I.; Jaime-González, C.; Díaz, M. Habitat Suitability for Small Mammals in Mediterranean Landscapes: How and Why Shrubs Matter. Sustainability 2022, 14, 1562. [Google Scholar] [CrossRef]
- Lu, X.; Jia, Y.; Wang, Y. The effect of landscape composition, complexity, and heterogeneity on bird richness: A systematic review and meta-analysis on a global scale. Landsc. Ecol. 2024, 39, 132. [Google Scholar] [CrossRef]
- Li, X.; Li, Z.; Chen, Y.; Wang, Q. Enhancing Bird Diversity in Urban Parks: Insights from the Futian Mangrove Ecological Park, Shenzhen. Forests 2024, 15, 2088. [Google Scholar] [CrossRef]
- Felappi, J.F.; Sommer, J.H.; Falkenberg, T.; Terlau, W.; Kötter, T. Urban park qualities driving visitors mental well-being and wildlife conservation in a Neotropical megacity. Sci. Rep. 2024, 14, 4856. [Google Scholar] [CrossRef] [PubMed]
- Wong, J.S.; Soh, M.C.; Low, B.W.; Er, K.B. Tropical bird communities benefit from regular-shaped and naturalised urban green spaces with water bodies. Landsc. Urban Plan. 2022, 231, 104644. [Google Scholar] [CrossRef]
- Zhai, Z.; Liu, S.; Li, Z.; Ma, R.; Ge, X.; Feng, H.; Shi, Y.; Gu, C. The spatiotemporal distribution patterns and impact factors of bird species richness: A case study of urban built-up areas in Beijing, China. Ecol. Indic. 2024, 169, 112847. [Google Scholar] [CrossRef]
- La Sorte, F.A.; Clark, J.A.G.; Lepczyk, C.A.; Aronson, M.F.J. Collections of small urban parks consistently support higher species richness but not higher phylogenetic or functional diversity. Proc. R. Soc. B Biol. Sci. 2023, 290, 20231424. [Google Scholar] [CrossRef]
- Donati, G.F.A.; Brandeler, F.v.D.; Fischer, M.; Molné, F.; Schenk, N.; Grünholz, M.; Bolliger, J. Biodiversity Conservation in Human-Dominated Landscapes: Toward Collaborative Management of Blue–Green Systems. Conserv. Lett. 2025, 18, e13079. [Google Scholar] [CrossRef]
- Prugh, L.R.; Hodges, K.E.; Sinclair, A.R.E.; Brashares, J.S. Effect of habitat area and isolation on fragmented animal populations. Proc. Natl. Acad. Sci. USA 2008, 105, 20770–20775. [Google Scholar] [CrossRef] [PubMed]
- Nitoslawski, S.A.; Duinker, P.N.; Bush, P.G. A review of drivers of tree diversity in suburban areas: Research needs for North American cities. Environ. Rev. 2016, 24, 471–483. [Google Scholar] [CrossRef]
- Harvey, C.A.; Komar, O.; Chazdon, R.; Ferguson, B.G.; Finegan, B.; Griffith, D.M.; Martínez-Ramos, M.I.; Morales, H.; Nigh, R.; Soto-Pinto, L.O.; et al. Integrating Agricultural Landscapes with Biodiversity Conservation in the Mesoamerican Hotspot. Conserv. Biol. 2008, 22, 8–15. [Google Scholar] [CrossRef] [PubMed]
- Fang, J.; Wang, Z.; Zhao, S.; Li, Y.; Tang, Z.; Yu, D.; Ni, L.; Liu, H.; Xie, P.; Da, L.; et al. Biodiversity changes in the lakes of the Central Yangtze. Front. Ecol. Environ. 2006, 4, 369–377. [Google Scholar] [CrossRef]
- Fan, J.; Wang, Q.; Ji, M.; Sun, Y.; Feng, Y.; Yang, F.; Zhang, Z. Ecological network construction and gradient zoning optimization strategy in urban-rural fringe: A case study of Licheng District, Jinan City, China. Ecol. Indic. 2023, 150, 110251. [Google Scholar] [CrossRef]
- Xu, X.; Wang, S.; Rong, W. Construction of ecological network in Suzhou based on the PLUS and MSPA models. Ecol. Indic. 2023, 154, 110740. [Google Scholar] [CrossRef]
- Mills, G.S.; Dunning, J.B.; Bates, J.M. Effects of Urbanization on Breeding Bird Community Structure in Southwestern Desert Habitats. Condor 1989, 91, 416–428. [Google Scholar] [CrossRef]
- Jetz, W.; Thomas, G.H.; Joy, J.B.; Hartmann, K.; Mooers, A.O. The global diversity of birds in space and time. Nature 2012, 491, 444–448. [Google Scholar] [CrossRef] [PubMed]
- Ordóñez, C.; Threlfall, C.G.; Kendal, D.; Baumann, J.; Sonkkila, C.; Hochuli, D.F.; van der Ree, R.; Fuller, R.A.; Davern, M.; Herzog, K.; et al. Quantifying the importance of urban trees to people and nature through tree removal experiments. People Nat. 2023, 5, 1316–1335. [Google Scholar] [CrossRef]
- Wei, L.; Li, F.; Qin, Y.; Liao, H. Construction of Butterfly Ecological Landscape: Practice for Urban Biodiversity Conservation. Landsc. Arch. 2024, 31, 115–122. [Google Scholar] [CrossRef]








| Number | Park Name | District | Area (ha) | Built Year | Line Length (km) | Group |
|---|---|---|---|---|---|---|
| 1 | Lianhua Park | Huiji | 10.73 | 2011 | 1.3 | New |
| 2 | Longhu Wetland Park | Jinshui | 19.38 | 2017 | 2.3 | New |
| 3 | National Forest Park | Jinshui | 165.83 | 2018 | 6.8 | New |
| 4 | Wenhua Park | Jinshui | 8.03 | 1999 | 1.2 | Old |
| 5 | Sculpture Park | Zhongyuan | 37.43 | 2015 | 2.5 | New |
| 6 | Xiliuhu Park | Zhongyuan | 112.01 | 2012 | 5.1 | New |
| 7 | Bishagang Park | Zhongyuan | 26.84 | 1957 | 2.3 | Old |
| 8 | Renmin Park | Erqi | 31.4 | 1952 | 2.7 | Old |
| 9 | Zijingshan Park | Jinshui | 19.18 | 1960 | 1.9 | Old |
| 10 | Zhengzhouzhilin | Jinshui | 28.87 | 2006 | 3.4 | Old |
| 11 | Hongbaihua Park | Jinshui | 13.25 | 2008 | 1.6 | Old |
| 12 | Lonzihu Park | Jinshui | 65.03 | 2016 | 3.8 | New |
| 13 | Botanic Garden | Zhongyuan | 57.4 | 2009 | 3.9 | Old |
| 14 | Jialu River Park | Zhongyuan | 75.31 | 2016 | 3.6 | New |
| 15 | Shuangxiu Park | Erqi | 4.25 | 1987 | 0.8 | Old |
| 16 | Binhe Park | Guancheng | 39.82 | 2014 | 1.8 | New |
| 17 | Zhengzhou Arboretum | Erqi | 279.72 | 2015 | 8 | New |
| 18 | Diehu Park | Guancheng | 68.34 | 2020 | 4.7 | New |
| 19 | Lvgu Park | Huiji | 28.31 | 2014 | 2.1 | New |
| 20 | Jingxiu Park | Erqi | 9.08 | 1980 | 1.1 | Old |
| Scale | Variations | Definition | Data Source |
|---|---|---|---|
| Local-scale | Park area | Total area of the park | ArcGIS10.2--2020.5-8 Aerial raster data from drones |
| Multi-layered planting area | vegetated area with a clear vertical structure comprising trees, shrubs, and herbaceous ground cover | ||
| Water body area | water body cover in parks | ||
| habitat diversity | bird survey habitat variety | field survey | |
| Landscape-scale | Green space connectivity | 1 km-buffer green space connectivity | ArcGIS 10.2-(GF-2) 2020 https://www.resdc.cn/(accessed on 15 May 2020) |
| impervious surface proportion | 1 km-buffer impervious surface proportion | ||
| Green space area | 1 km-buffer green area | ||
| average building height | 1 km-buffer average building height | open street map https://master.apis.dev.openstreetmap.org/(accessed on 20 December 2020) | |
| population density | 1 km-buffer average population density | Worldpop100 m https://worldpop.Ldpop.org/(accessed on 20 December 2020) | |
| POI density | 1 km-buffer POI density | https://lbs.amap.com/(accessed on 20 December 2020) |
| Group | Count | |
|---|---|---|
| Resident Type | Resident | 47 |
| Passage Migrant | 42 | |
| Summer Visitor | 52 | |
| Winter Visitor | 14 | |
| Accidental | 4 | |
| Feeding Habits | Granivores | 14 |
| Predatory | 11 | |
| Insectivorous | 65 | |
| Omnivorous | 69 | |
| Habitat Type | Forest | 84 |
| Water | 42 | |
| Near Water | 17 | |
| Other | 16 | |
| Indicator | Model | AICc | Δ AICc | wi | adjR2 |
|---|---|---|---|---|---|
| Abundance | Habitat diversity + Impervious surface ratio + Water Body Area | 166.35 | 0 | 0.133 | 0.744 |
| Species Richness | Habitat Diversity + Connectivity | 143.96 | 0 | 0.128 | 0.676 |
| Shannon DI | Connectivity + Multi-layered Planting Area | −9.67 | 0 | 0.173 | 0.443 |
| Functional DI | Multi-layered Planting Area + Impervious surface ratio + Habitat Diversity | −33.57 | 0 | 0.122 | 0.566 |
Disclaimer/Publisher’s Note: The statements, opinions and data contained in all publications are solely those of the individual author(s) and contributor(s) and not of MDPI and/or the editor(s). MDPI and/or the editor(s) disclaim responsibility for any injury to people or property resulting from any ideas, methods, instructions or products referred to in the content. |
© 2025 by the authors. Licensee MDPI, Basel, Switzerland. This article is an open access article distributed under the terms and conditions of the Creative Commons Attribution (CC BY) license (https://creativecommons.org/licenses/by/4.0/).
Share and Cite
Liuyang, X.; Wang, X.; He, W.; Wang, L.; Cao, Y.; Li, S. Do Newly Built Urban Parks Support Higher Bird Diversity? Evidence from the High-Density Urban Built-Up Area of Zhengzhou, China. Diversity 2025, 17, 678. https://doi.org/10.3390/d17100678
Liuyang X, Wang X, He W, Wang L, Cao Y, Li S. Do Newly Built Urban Parks Support Higher Bird Diversity? Evidence from the High-Density Urban Built-Up Area of Zhengzhou, China. Diversity. 2025; 17(10):678. https://doi.org/10.3390/d17100678
Chicago/Turabian StyleLiuyang, Xiaxi, Xiangyu Wang, Wenxi He, Lei Wang, Yang Cao, and Shaokun Li. 2025. "Do Newly Built Urban Parks Support Higher Bird Diversity? Evidence from the High-Density Urban Built-Up Area of Zhengzhou, China" Diversity 17, no. 10: 678. https://doi.org/10.3390/d17100678
APA StyleLiuyang, X., Wang, X., He, W., Wang, L., Cao, Y., & Li, S. (2025). Do Newly Built Urban Parks Support Higher Bird Diversity? Evidence from the High-Density Urban Built-Up Area of Zhengzhou, China. Diversity, 17(10), 678. https://doi.org/10.3390/d17100678

