Patterns of Elevation Gradients in Plant Composition and Diversity of Pinus pumila Communities in Zalinkur Mountain
Abstract
1. Introduction
2. Materials and Methods
2.1. Overview of the Study Area
2.2. Research Methods
2.2.1. Sample Site Setup and Survey
2.2.2. Calculation of Importance Value:
2.2.3. Alpha Diversity Index (ADI)
2.2.4. Data Processing
3. Results
3.1. Characteristics of the Composition of Pinus pumila Communities at Different Elevations
3.2. Tree Plants
3.2.1. Importance Value of Tree Plants
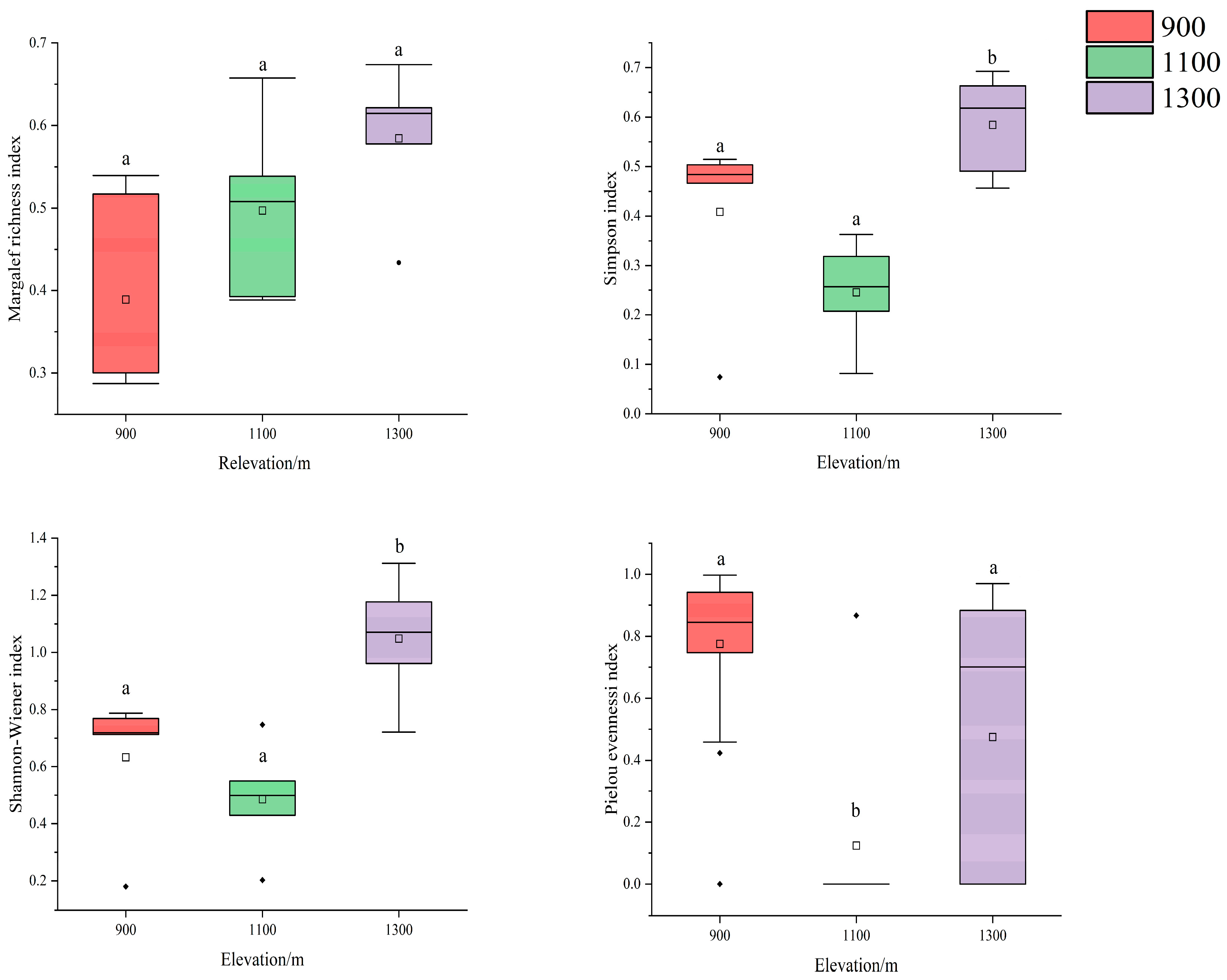
3.2.2. Changes in Tree Alpha Diversity Indices Across the Elevation Gradient
3.3. Shrub Plants
3.3.1. Importance Value of Shrub Plants
3.3.2. Differences in Shrub α-Diversity Across Elevation Gradients
3.3.3. Changes in Shrub Alpha Diversity Indices Across the Elevation Gradient
3.4. Herbaceous Plants
3.4.1. Importance Values of Herbaceous Plants
3.4.2. Differences in Herb α-Diversity Across the Elevation Gradient
3.4.3. Changes in Herb Alpha Diversity Indices over the Elevation Gradient
4. Discussion
4.1. The Effect of Elevation Gradient on Community Species Composition and Importance Value
4.2. Change Pattern of α-Diversity in Pinus pumila Communities at Different Elevations
4.3. Limitations and Next Research Direction
5. Conclusions
Author Contributions
Funding
Data Availability Statement
Conflicts of Interest
References
- Peng, Y.; Qin, F.; Mi, K.; Xue, D. Progress of research on scale effects at different levels of biodiversity and their coupling relationship. J. Ecol. 2015, 35, 577–583. [Google Scholar]
- Crawley, M.J.; Harral, J.E. Scale dependence of plant biodiversity. Science 2001, 291, 864–868. [Google Scholar] [CrossRef] [PubMed]
- Xu, M.; Li, X.; Liu, M.; Shi, Y.; Zhou, F.; Zhang, B.; Yan, J. Patterns of spatial variability of latitudinal and elevation gradients in the response of forest plant herbaceous communities to warming in the mountainous areas of the Loess Plateau of China. Environ. Exp. Bot. 2020, 172, 103983. [Google Scholar] [CrossRef]
- Moni, C.; Abadi, J.; Jill Turner, A.; Blair, F.; Elnu, A. Effects of connectivity in agriculturally dominated landscapes on animal dispersal of forest plant communities. J. Veg. Sci. 2018, 29, 167–178. [Google Scholar] [CrossRef]
- Ding, S.Y.; Song, Y.C. Progress in the study of vegetation dynamics in broad-leaved evergreen forests. J. Ecol. 2004, 24, 1769–1779. [Google Scholar]
- Liu, Z.; Li, Q.; Chen, D.; Zhai, W.; Zhao, L.; Xu, S.; Zhao, X. A study on the distribution of plant species diversity in the elevation gradient of the Qinghai-Tibetan Plateau alpine meadows and their impacts on aboveground biomass. Biodivers. Sci. 2015, 23, 451–462. [Google Scholar] [CrossRef]
- Xiang, L.; Chen, F.; Guan, S.; Wang, Y.; Lv, K. Functional diversity and spatial variability of shrubs in Rhododendron spp. communities along an elevation gradient in Jinggang Mountain, Jiangxi. J. Ecol. 2019, 39, 8144–8155. [Google Scholar] [CrossRef]
- Li, G.X.; Su, J.D.; Zhao, X.J. Response relationship between plant community diversity and elevation in Qilian Mountain National Nature Reserve, Gansu. Nat. Reserve 2024, 4, 110–122. [Google Scholar] [CrossRef]
- Yang, Q.; Chen, X. Species diversity of vegetation communities in Hangluo Mountain of Hainan Tropical Rainforest National Park in response to elevation gradient. Trop. For. 2023, 51, 4–8+15. [Google Scholar]
- Gao, J.; Han, J.; Zhang, H.; Lin, G.; Zhang, Y.; Ai, Z.; Liu, J. Changes in elevation gradient and similarity of community diversity in Sophora japonica. For. Eng. 2022, 38, 53–60. [Google Scholar]
- Mo, Y. Progress in the study of factors affecting plant species diversity in alpine meadows of the Tibetan Plateau. Mod. Agric. Sci. Technol. 2025, 3, 121–124+129. [Google Scholar]
- Fang, J.-Y.; Tang, Z. A review of elevation patterns of plant species diversity. Biodivers. Sci. 2004, 12, 20–28. [Google Scholar] [CrossRef]
- Mo, S.; Hu, X.; Ye, J.; Zhou, Y. Distribution pattern of species diversity along the elevation gradient in the rhododendron community of Yinzhu Laoshan. China Wild Plant Resour. 2025, 44, 113–119. [Google Scholar]
- Li, Z.-X.; Dao, Z.-G.; Zhao, G.-Z.; Liu, Y.-L.; Zhang, L.; Zhang, G.-Y.; Li, H.; Li, X.-Q.; Zhang, Y.; Li, J.; et al. Composition and diversity pattern of plant communities along an elevation gradient in the Yuanjiang Dry Heat River Valley. Guangxi Plant 2024, 44, 2141–2151. [Google Scholar]
- Wu, F.; Liu, N.; He, C.; Yuan, Z.; Hao, Z.; Yin, Q. Elevation gradient patterns of woody plant community structure and diversity in the Qinling Mountains. Biodiversity 2024, 32, 7–25. [Google Scholar]
- Jiang, A.-P.; Jiang, J.-M.; Liu, J. Response characteristics of sassafras leaf traits along an elevation gradient. J. Ecol. 2016, 35, 1467–1474. [Google Scholar] [CrossRef]
- Kitagawa, E.; Koide, D.; Mori, S. Differential trends in phylogeny and functional structure of plant communities across an elevation gradient. Ecol. Res. 2018, 33, 1233–1243. [Google Scholar] [CrossRef]
- Pierre, L.; Miquel, C.D. Variability in community data: Beta diversity, coefficient of variation and partitioning. Ecol. Lett. 2013, 16, 951–963. [Google Scholar]
- Wang, X.; Sun, L.; Ming, Y.; Li, Q.; Zhang, H.; Zhao, Y.; Chen, M.; Liu, J. Progress of Pinus pumila research in China. Temp. For. Res. 2019, 2, 48–53+58. [Google Scholar]
- Yan, X.; Qiu, D.; Yu, H.; Zhang, L.; Wang, Y.; Li, Z.; Zhao, J.; Liu, H.; Zhang, Y.; Li, J.; et al. Studies on growth characteristics and morphological features of cones and seeds development in Pinus sylvestris. Temp. For. Res. 2022, 5, 53–59. [Google Scholar]
- Wang, E.; Zhang, Y.; Qian, H.; Li, J.; Chen, L.; Zhao, M.; Liu, F. Species diversity and phylogenetic diversity of plant communities along the elevation gradient in Yanqi Hola Mountain. J. Grassl. Sci. 2025, 33, 1612–1621. [Google Scholar]
- Yu, H.; Yan, X.; Wei, R.; Zhang, L.; Liu, Q.; Wang, Z.; Chen, J. Study on the variation of phenotypic traits of Pinus pumila seeds from different seed sources. J. Northeast. For. Univ. 2025, 53, 108–113. [Google Scholar] [CrossRef]
- Yang, J. Radial Growth Characteristics of Northeastern Timberline Pinus pumila and Its Response to Climate Warming. Ph.D. Thesis, Northeast Forestry University, Harbin, China, 2020. [Google Scholar]
- Zhuang, H. Biomass and Growth Process of Pinus pumila in Daxinganling, Inner Mongolia. Master’s Thesis, Beijing Forestry University, Beijing, China, 2015. [Google Scholar]
- Ding, Y. Research on the Effect of National Forest Park on Individual Psychological and Physiological Recovery in Daxing’anling Area. Master’s Thesis, Northeast Forestry University, Harbin, China, 2024. [Google Scholar] [CrossRef]
- Mark, P. Large fixed sample plots: A platform for forest biodiversity localization studies. J. Plant Ecol. 2008, 2, 237. [Google Scholar]
- Hao, L.; Chen, S.; Zhang, Z.; Li, Y.; Wang, J.; Zhao, Q.; Liu, H. Composition and diversity pattern of understory herbaceous plants in forest communities of Fanjing Mountain. J. Cent. South Univ. For. Sci. Technol. 2024, 44, 114–128. [Google Scholar]
- Jiang, Y.; Zhang, J.; Zheng, X.; Wang, L.; Liu, F.; Chen, M.; Li, P. Characteristics of the elevation gradient in plant diversity and carbon stock distribution in Emei fir forests at different elevations in Gongga Mountain. J. Sichuan Agric. Univ. 2025, 43, 884–892. [Google Scholar]
- Xia, M.; Yu, H.; Ma, W.; Zhang, L.; Liu, Q.; Wang, X.; Chen, J. Community structure and diversity characteristics of Rhododendron multiflorum in Gongga Mountain National Nature Reserve. Sichuan For. Sci. Technol. 2024, 45, 50–55. [Google Scholar]
- Ren, L.; Wu, H.; Tang, S.; Li, Y.; Zhang, J.; Liu, F. Characteristics of Leishan rhododendron community and its species diversity analysis. Guizhou Sci. 2016, 34, 9–13. [Google Scholar]
- Mark, M.; Fu, B.J.; Zhou, H.F. Species diversity and landscape pattern diversity of forests in the Dongling Mountain area of Beijing. J. Ecol. 1999, 87, 3–9. [Google Scholar]
- Yang, T.; Yin, Z.; Li, X. Effects of ecological factors on the distribution pattern of seed plant diversity in Dali Cangshan. J. Southwest For. Univ. Nat. Sci. 2019, 39, 66–74. [Google Scholar]
- Wang, C.; Chen, X.; Yin, Z.; Li, Y.; Zhang, H.; Liu, J.; Zhao, Q. Characterization of seed plant composition and its zonation along the Yigongzangpu coast. Plateau Sci. Res. 2023, 7, 11–20+114. [Google Scholar]
- Duan, M.; Zhu, H.D.; Guo, Y.; Wang, L.; Li, X.; Zhang, F. Distribution pattern of species diversity along the elevation gradient in alpine grassland plant communities in northern Tibet. Grassl. Sci. 2011, 28, 1845–1850. [Google Scholar]
- Zhou, X.; Yang, F.; Tian, Q.; Li, Y.; Wang, J.; Zhao, M.; Liu, H. Quantitative study of plant community succession in a spruce-Bashan fir forest fire site on the northeastern edge of the Tibetan Plateau. For. Sci. Res. 2023, 36, 119–132. [Google Scholar]
- Liang, Y.; Tan, Y.; Qin, Z.; Lin, J.; Li, L.; Huang, D. Study on plant diversity of three plantation forests in Guidong area. Green Sci. Technol. 2014, 4, 64–67. [Google Scholar] [CrossRef]
- Zhang, J.; Zhang, B.; Qian, Z. Functional diversity of Ziziphus spp. plant communities in Shennongjia Nature Reserve, central China. For. Sci. Res. 2015, 26, 171–177. [Google Scholar]
- Wang, Y.; Shangguan, T. Some issues on the calculation method of significant value. J. Shanxi Univ. Nat. Sci. Ed. 2010, 33, 312–316. [Google Scholar]
- Li, Z.; Ye, X.; Wang, S. Ecosystem stability and its relationship with biodiversity. J. Plant Ecol. 2021, 45, 1127–1139. [Google Scholar] [CrossRef]
- He, J.; Chen, W. Characteristics of gradient changes in species diversity of terrestrial plant communities. J. Ecol. 1997, 85, 93–101. [Google Scholar]
- Jiang, J.; Dong, B.; Zhou, S.; Li, H.; Wang, Y.; Zhang, X.; Chen, L. Distribution characteristics of grassland plant diversity along the elevation gradient and its driving factors—Taking the eastern part of the northern slope of Tianshan Mountain as an example. J. Grassl. Sci. 2025, 34, 29–40. [Google Scholar]
- Lin, Y.; Li, S.; Zhou, W.; Chen, J.; Wang, H.; Liu, Q.; Zhang, F. Response of alpha and beta diversity of plant communities to elevation gradient in Bashanzuo National Park. J. Ecol. 2024, 44, 7700–7712. [Google Scholar]
- Zhao, S.; Zhan, J.; Zhao, B.; Shi, H.H.; Feng, J.Y. Composition, structure and species diversity of plant communities on an elevation gradient on the northern slopes of the Changbai Mountains, Northeast China. Biodivers. Sci. 2004, 12, 164–173. [Google Scholar] [CrossRef]
- Shi, G.; Xu, N.; Niu, Z.; Wang, L.; Zhang, Y.; Liu, M.; Chen, Q. Elevation differences in understory plant biodiversity in the eastern Daxinganling of Inner Mongolia. J. Ecol. 2024, 44, 3004–3015. [Google Scholar]
- Li, L.; Zhang, C.; Zu, X.; Wang, Y.; Chen, H.; Liu, J.; Sun, Q. Species diversity and functional diversity of different types of forests in Dinghu Mountain. J. Ecol. Environ. 2025, 34, 1219–1227. [Google Scholar]











Disclaimer/Publisher’s Note: The statements, opinions and data contained in all publications are solely those of the individual author(s) and contributor(s) and not of MDPI and/or the editor(s). MDPI and/or the editor(s) disclaim responsibility for any injury to people or property resulting from any ideas, methods, instructions or products referred to in the content. |
© 2025 by the authors. Licensee MDPI, Basel, Switzerland. This article is an open access article distributed under the terms and conditions of the Creative Commons Attribution (CC BY) license (https://creativecommons.org/licenses/by/4.0/).
Share and Cite
Wang, Y.; Liu, W.; Dong, S.; Li, B.; Mu, L. Patterns of Elevation Gradients in Plant Composition and Diversity of Pinus pumila Communities in Zalinkur Mountain. Diversity 2025, 17, 677. https://doi.org/10.3390/d17100677
Wang Y, Liu W, Dong S, Li B, Mu L. Patterns of Elevation Gradients in Plant Composition and Diversity of Pinus pumila Communities in Zalinkur Mountain. Diversity. 2025; 17(10):677. https://doi.org/10.3390/d17100677
Chicago/Turabian StyleWang, Yuewen, Wansheng Liu, Shang Dong, Bing Li, and Liqiang Mu. 2025. "Patterns of Elevation Gradients in Plant Composition and Diversity of Pinus pumila Communities in Zalinkur Mountain" Diversity 17, no. 10: 677. https://doi.org/10.3390/d17100677
APA StyleWang, Y., Liu, W., Dong, S., Li, B., & Mu, L. (2025). Patterns of Elevation Gradients in Plant Composition and Diversity of Pinus pumila Communities in Zalinkur Mountain. Diversity, 17(10), 677. https://doi.org/10.3390/d17100677
