Flourishing in Darkness: Protist Communities of Water Sites in Shulgan-Tash Cave (Southern Urals, Russia)
Abstract
1. Introduction
2. Materials and Methods
2.1. Cave Site Description and Sampling

2.2. DNA Extraction, PCR Amplification, and Sequencing
2.3. Bioinformatic Treatment and Data Analysis
2.4. Functional Annotation of ASVs
3. Results
3.1. Diversity and Taxonomic Composition of Protist Communities
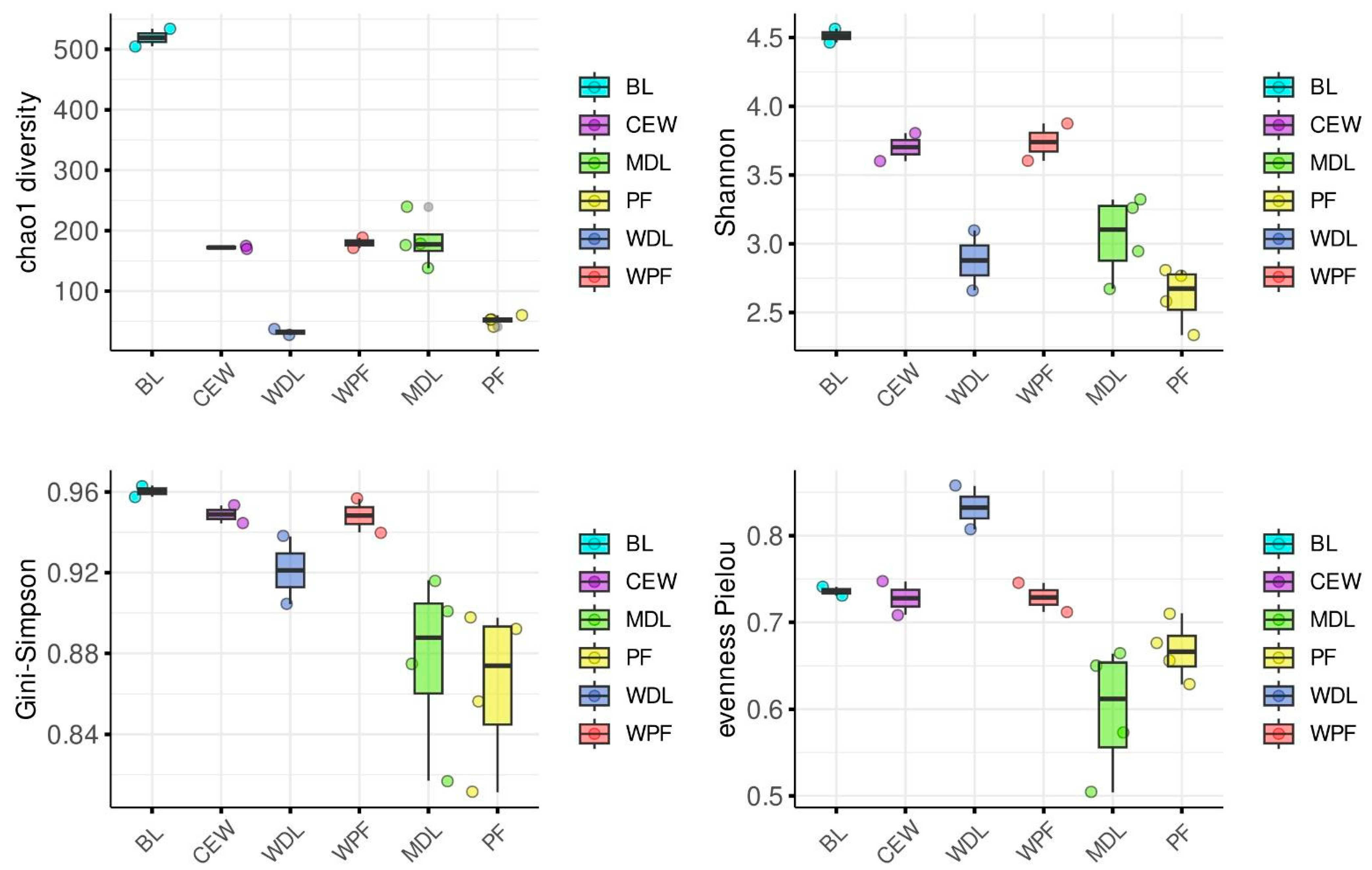
3.1.1. Alpha Diversity
3.1.2. Beta Diversity
3.1.3. Taxonomic Composition
3.2. Protist Taxa with Differential Abundance between Main Groups of Samples
3.3. Functional Composition of Protist Communities
4. Discussion
Supplementary Materials
Author Contributions
Funding
Data Availability Statement
Acknowledgments
Conflicts of Interest
References
- Sallstedt, T.; Ivarsson, M.; Lundberg, J.; Sjöberg, R.; Romaní, J.R.V. Speleothem and Biofilm Formation in a Granite/dolerite Cave, Northern Sweden. Int. J. Speleol. 2014, 43, 7. [Google Scholar] [CrossRef]
- Brar, A.K.; Bergmann, D. Culture-Based Analysis of “Cave Silver” Biofilms on Rocks in the Former Homestake Mine in South Dakota, USA. Int. J. Speleol. 2019, 48, 3. [Google Scholar] [CrossRef]
- Reboul, G.; Moreira, D.; Bertolino, P.; Hillebrand-Voiculescu, A.M.; López-García, P. Microbial Eukaryotes in the Suboxic Chemosynthetic Ecosystem of Movile Cave, Romania. Environ. Microbiol. Rep. 2019, 11, 464–473. [Google Scholar] [CrossRef] [PubMed]
- Gogoleva, N.; Chervyatsova, O.; Balkin, A.; Kuzmina, L.; Shagimardanova, E.; Kiseleva, D.; Gogolev, Y. Microbial Tapestry of the Shulgan-Tash Cave (Southern Ural, Russia): Influences of Environmental Factors on the Taxonomic Composition of the Cave Biofilms. Environ. Microbiome 2023, 18, 82. [Google Scholar] [CrossRef]
- Morse, K.V.; Richardson, D.R.; Brown, T.L.; Vangundy, R.D.; Cahoon, A.B. Longitudinal Metabarcode Analysis of Karst Bacterioplankton Microbiomes Provide Evidence of Epikarst to Cave Transport and Community Succession. PeerJ 2021, 9, e10757. [Google Scholar] [CrossRef] [PubMed]
- Thompson, B.; Richardson, D.; Vangundy, R.; Cahoon, A.B. Metabarcoding Comparison of Prokaryotic Microbiomes from Appalachian Karst Caves to Surface Soils in Southwest Virginia, USA. J. Caves Karst Stud. 2019, 81, 244–253. [Google Scholar] [CrossRef]
- Stomeo, F.; Portillo, M.C.; Gonzalez, J.M.; Laiz, L.; Saiz-Jimenez, C. Pseudonocardia in White Colonizations in Two Caves with Paleolithic Paintings. Int. Biodeterior. Biodegrad. 2008, 62, 483–486. [Google Scholar] [CrossRef]
- Spilde, M.N.; Northup, D.E.; Caimi, N.A.; Boston, P.J.; Stone, F.D.; Smith, S. Microbial mat communities in Hawaiian lava caves. Geol. Soc. Am. Abstr. Programs 2016, 48, 283965. [Google Scholar] [CrossRef]
- Gonzalez-Pimentel, J.L.; Martin-Pozas, T.; Jurado, V.; Miller, A.Z.; Caldeira, A.T.; Fernandez-Lorenzo, O.; Sanchez-Moral, S.; Saiz-Jimenez, C. Prokaryotic Communities from a Lava Tube Cave in La Palma Island (Spain) Are Involved in the Biogeochemical Cycle of Major Elements. PeerJ 2021, 9, e11386. [Google Scholar] [CrossRef]
- Sherr, E.B.; Sherr, B.F. Phagotrophic Protists: Central Roles in Microbial Food Webs. In Aquatic Microbial Ecology and Biogeochemistry: A Dual Perspective; Glibert, P., Kana, T., Eds.; Springer: Cham, Switzerland, 2016. [Google Scholar] [CrossRef]
- Garner, R.E.; Kraemer, S.A.; Onana, V.E.; Huot, Y.; Gregory-Eaves, I.; Walsh, D.A. Protist Diversity and Metabolic Strategy in Freshwater Lakes Are Shaped by Trophic State and Watershed Land Use on a Continental Scale. mSystems 2022, 7, e0031622. [Google Scholar] [CrossRef]
- Gittleson, S.M.; Hoover, R.L. Cavernicolous Protozoa: Review of the Literature and New Studies in Mammoth Cave, Kentucky. Ann. Speleol. 1969, 24, 737–776. [Google Scholar]
- Gittleson, S.M.; Hoover, R.L. Protozoa of Underground Waters in Caves. Ann. Econ. Soc. Civilis. 1970, 25, 91–106. [Google Scholar]
- Hill, B.F.; Small, E.B.; Iliffe, T.M. Euplotes Iliffei n. Sp.: A New Species of Euplotes (Ciliophora, Hypotrichida) from the Marine Caves of Bermuda. J. Wash. Acad. Sci. 1986, 76, 244–249. [Google Scholar]
- Walochnik, J.; Mulec, J. Free-Living Amoebae in Carbonate Precipitating Microhabitats of Karst Caves and a New Vahlkampfiid Amoeba, Allovahlkampfia Spelaea Gen. Nov., Sp. Nov. Acta Protozool. 2009, 48, 25–33. [Google Scholar]
- Sigala-Regalado, I.; Mayen-Estrada, R.; Morales-Malacara, J. Spatial and Temporal Distribution of Protozoa at Cueva de Los Riscos, Querétaro, México. J. Caves. Karst Stud. 2011, 73, 55–62. [Google Scholar] [CrossRef]
- Bharti, D.; Kumar, S.; Buonanno, F.; Ortenzi, C.; Montanari, A.; Quintela-Alonso, P.; La Terza, A. Free Living Ciliated Protists from the Chemoautotrophic Cave Ecosystem of Frasassi (Italy). SBC 2022, 44, 167–198. [Google Scholar] [CrossRef]
- Zepeda Mendoza, M.L.; Lundberg, J.; Ivarsson, M.; Campos, P.; Nylander, J.A.A.; Sallstedt, T.; Dalen, L. Metagenomic Analysis from the Interior of a Speleothem in Tjuv-Ante’s Cave, Northern Sweden. PLoS ONE 2016, 11, e0151577. [Google Scholar] [CrossRef] [PubMed]
- Kajan, K.; Cukrov, N.; Cukrov, N.; Bishop-Pierce, R.; Orlić, S. Microeukaryotic and Prokaryotic Diversity of Anchialine Caves from Eastern Adriatic Sea Islands. Microb. Ecol. 2022, 83, 257–270. [Google Scholar] [CrossRef]
- Tsouggou, N.; Oikonomou, A.; Papadimitriou, K.; Skandamis, P.N. 16S and 18S rDNA Amplicon Sequencing Analysis of Aesthetically Problematic Microbial Mats on the Walls of the Petralona Cave: The Use of Essential Oils as a Cleaning Method. Microorganisms 2023, 11, 2681. [Google Scholar] [CrossRef]
- del Campo, J.; Massana, R. Emerging Diversity within Chrysophytes, Choanoflagellates and Bicosoecids Based on Molecular Surveys. Protist 2011, 162, 435–448. [Google Scholar] [CrossRef]
- Harder, C.B.; Rønn, R.; Brejnrod, A.; Bass, D.; Al-Soud, W.A.; Ekelund, F. Local Diversity of Heathland Cercozoa Explored by in-Depth Sequencing. ISME J. 2016, 10, 2488–2497. [Google Scholar] [CrossRef] [PubMed]
- Alonso, L.; Pommier, T.; Kaufmann, B.; Dubost, A.; Chapulliot, D.; Doré, J.; Douady, C.J.; Moënne-Loccoz, Y. Anthropization Level of Lascaux Cave Microbiome Shown by Regional-Scale Comparisons of Pristine and Anthropized Caves. Mol. Ecol. 2019, 28, 3383–3394. [Google Scholar] [CrossRef] [PubMed]
- Dobàt, K. “Höhlenalgen” Bedrohen Die Eiszeitmalereien von Lascaux. Die Höhle 1963, 14, 41–45. [Google Scholar]
- Bontemps, Z.; Alonso, L.; Pommier, T.; Hugoni, M.; Moënne-Loccoz, Y. Microbial Ecology of Tourist Paleolithic Caves. Sci. Total Environ. 2022, 816, 151492. [Google Scholar] [CrossRef] [PubMed]
- Lyakhnitsky, Y.; Minnikov, O.; Yushko, A. Drawings and Signs of Shulgan-Tash (Kapova) Cave, Catalogue of Images; Kitap: Ufa, Russia, 2013; ISBN 9785295058479. [Google Scholar]
- Dublyansky, Y.; Moseley, G.E.; Lyakhnitsky, Y.; Cheng, H.; Edwards, L.R.; Scholz, D.; Koltai, G.; Spötl, C. Late Palaeolithic Cave Art and Permafrost in the Southern Ural. Sci. Rep. 2018, 8, 12080. [Google Scholar] [CrossRef]
- Kuzmina, L.Y.; Galimzyanova, N.F.; Chervyatsova, O.Y.; Sailfullina, N.M.; Kapralov, S.A.; Ryabova, A.S. Biogenous Fouling in Shulgan-Tash Cave (kapova, Southern Urals) and Factors Influencing on Their Expansion. Èkobioteh 2019, 2, 128–142. [Google Scholar] [CrossRef]
- Galimzianova, N.F.; Gilvanova, E.A.; Ryabova, A.S.; Guvatova, Z.G.; Kudryavtseva, A.V.; Melentiev, A.I. Phylogenetic Diversity of Prokaryotes in Microbial Communities Inhabiting Rock Surfaces of Shulgan-Tash (kapova) Cave, Southern Urals. Èkobioteh 2020, 3, 298–304. [Google Scholar] [CrossRef]
- Chervyatsova, O.Y.; Potapov, S.S.; Kuz’mina, L.Y.; Leonova, L.V. Subaqueous stalactoids in the Dal’nee Verkhnee Lake of the Shilgan-Tash Cave (Southern Urals). News Ural State Min. Univ. 2018, 2, 20–25. [Google Scholar] [CrossRef]
- Chervyatsova, O.; Grigoryev, N.; Kuzmina, L.; Dublyansky, Y.; Akhmedyanov, R.; Potapov, S. Documentations of the Sudden Karst Lake Drainage Event in the Shulgan River Valley (Southern Ural, Russia). J. Cave Karst Stud. 2024; in press. [Google Scholar]
- Svoyskiy, Y.M.; Romanenko, E.V.; Grigoryev, N.N.; Levanova, E.S. Experience in Documenting Shul’gan-Tash (Kapova) Cave and the Surrounding Landscape with Modern Methods. Brief Commun. Inst. Archaeol. 2020, 261, 67–81. [Google Scholar] [CrossRef]
- Melim, A.; Shinglman, K.M.; Boston, P.J.; Northup, D.E.; Spilde, M.N.; Michael Queen, J. Evidence for Microbial Involvement in Pool Finger Precipitation, Hidden Cave, New Mexico. Geomicrobiol. J. 2001, 18, 311–329. [Google Scholar] [CrossRef]
- Simon, M.; Jardillier, L.; Deschamps, P.; Moreira, D.; Restoux, G.; Bertolino, P.; López-García, P. Complex Communities of Small Protists and Unexpected Occurrence of Typical Marine Lineages in Shallow Freshwater Systems. Environ. Microbiol. 2015, 17, 3610–3627. [Google Scholar] [CrossRef] [PubMed]
- Bower, S.M.; Carnegie, R.B.; Goh, B.; Jones, S.R.; Lowe, G.J.; Mak, M.W. Preferential PCR Amplification of Parasitic Protistan Small Subunit rDNA from Metazoan Tissues. J. Eukaryot. Microbiol. 2004, 51, 325–332. [Google Scholar] [CrossRef] [PubMed]
- Martin, M. Cutadapt Removes Adapter Sequences from High-Throughput Sequencing Reads. EMBnet J. 2011, 17, 10–12. [Google Scholar] [CrossRef]
- Callahan, B.J.; McMurdie, P.J.; Rosen, M.J.; Han, A.W.; Johnson, A.J.A.; Holmes, S.P. DADA2: High-Resolution Sample Inference from Illumina Amplicon Data. Nat. Methods 2016, 13, 581–583. [Google Scholar] [CrossRef]
- Guillou, L.; Bachar, D.; Audic, S.; Bass, D.; Berney, C.; Bittner, L.; Boutte, C.; Burgaud, G.; de Vargas, C.; Decelle, J.; et al. The Protist Ribosomal Reference Database (PR2): A Catalog of Unicellular Eukaryote Small Sub-Unit rRNA Sequences with Curated Taxonomy. Nucleic Acids Res. 2013, 41, D597–D604. [Google Scholar] [CrossRef] [PubMed]
- McMurdie, P.J.; Holmes, S. Phyloseq: An R Package for Reproducible Interactive Analysis and Graphics of Microbiome Census Data. PLoS ONE 2013, 8, e61217. [Google Scholar] [CrossRef]
- Wickham, H. ggplot2: Elegant Graphics for Data Analysis; 2197-5736; Springer: Cham, Switzerland, 2016; ISBN 9783319242774. [Google Scholar]
- Xu, S.; Zhan, L.; Tang, W.; Wang, Q.; Dai, Z.; Zhou, L.; Feng, T.; Chen, M.; Wu, T.; Hu, E.; et al. MicrobiotaProcess: A Comprehensive R Package for Deep Mining Microbiome. Innovation 2023, 4, 100388. [Google Scholar] [CrossRef]
- Lahti, L.; Shetty, S. Tools for Microbiome Analysis in R. Available online: https://www.bioconductor.org/packages/devel/bioc/vignettes/microbiome/inst/doc/vignette.html (accessed on 19 July 2023).
- Lozupone, C.; Knight, R. UniFrac: A New Phylogenetic Method for Comparing Microbial Communities. Appl. Environ. Microbiol. 2005, 71, 8228–8235. [Google Scholar] [CrossRef]
- Segata, N.; Izard, J.; Waldron, L.; Gevers, D.; Miropolsky, L.; Garrett, W.S.; Huttenhower, C. Metagenomic Biomarker Discovery and Explanation. Genome Biol. 2011, 12, R60. [Google Scholar] [CrossRef]
- Cao, Y.; Dong, Q.; Wang, D.; Zhang, P.; Liu, Y.; Niu, C. microbiomeMarker: An R/Bioconductor Package for Microbiome Marker Identification and Visualization. Bioinformatics 2022, 38, 4027–4029. [Google Scholar] [CrossRef]
- Singer, D.; Seppey, C.V.W.; Lentendu, G.; Dunthorn, M.; Bass, D.; Belbahri, L.; Blandenier, Q.; Debroas, D.; de Groot, G.A.; de Vargas, C.; et al. Protist Taxonomic and Functional Diversity in Soil, Freshwater and Marine Ecosystems. Environ. Int. 2021, 146, 106262. [Google Scholar] [CrossRef] [PubMed]
- Carvalho da Silva, V.; Fernandes, N. Protist Taxonomic and Functional Diversity in Aquatic Ecosystems of the Brazilian Atlantic Forest. PeerJ 2023, 11, e15762. [Google Scholar] [CrossRef] [PubMed]
- Howe, A.T.; Bass, D.; Chao, E.E.; Cavalier-Smith, T. New Genera, Species, and Improved Phylogeny of Glissomonadida (Cercozoa). Protist 2011, 162, 710–722. [Google Scholar] [CrossRef] [PubMed]
- Howe, A.T.; Bass, D.; Vickerman, K.; Chao, E.E.; Cavalier-Smith, T. Phylogeny, Taxonomy, and Astounding Genetic Diversity of Glissomonadida Ord. Nov., the Dominant Gliding Zooflagellates in Soil (Protozoa: Cercozoa). Protist 2009, 160, 159–189. [Google Scholar] [CrossRef] [PubMed]
- Groult, B.; St-Jean, V.; Lazar, C.S. Linking Groundwater to Surface Discharge Ecosystems: Archaeal, Bacterial, and Eukaryotic Community Diversity and Structure in Quebec (Canada). Microorganisms 2023, 11, 1674. [Google Scholar] [CrossRef]
- Baković, N.; Siemensma, F.; Puljas, S.; Baković, R.; Ozimec, R.; Ostojić, A.; Mesić, Z. First Data on Testate Amoebae Associated with the Endemic Cave Bivalve Congeria Jalzici Morton & Bilandžija, 2013 with a Description of Psammonobiotus Dinarica Sp. Nov. SBC 2023, 45, 53–74. [Google Scholar] [CrossRef]
- Cahoon, A.B.; VanGundy, R.D. Alveolates (dinoflagellates, Ciliates and Apicomplexans) and Rhizarians Are the Most Common Microbial Eukaryotes in Temperate Appalachian Karst Caves. Environ. Microbiol. Rep. 2022, 14, 538–548. [Google Scholar] [CrossRef]
- Kofoid, C.A. The Plankton of Echo River, Mammoth Cave. Trans. Am. Microsc. Soc. 1900, 21, 113–126. [Google Scholar] [CrossRef]
- Jungblut, A.D.; Vincent, W.F.; Lovejoy, C. Eukaryotes in Arctic and Antarctic Cyanobacterial Mats. FEMS Microbiol. Ecol. 2012, 82, 416–428. [Google Scholar] [CrossRef]
- Vimercati, L.; Darcy, J.L.; Schmidt, S.K. The Disappearing Periglacial Ecosystem atop Mt. Kilimanjaro Supports Both Cosmopolitan and Endemic Microbial Communities. Sci. Rep. 2019, 9, 10676. [Google Scholar] [CrossRef]
- Takishita, K.; Miyake, H.; Kawato, M.; Maruyama, T. Genetic Diversity of Microbial Eukaryotes in Anoxic Sediment around Fumaroles on a Submarine Caldera Floor Based on the Small-Subunit rDNA Phylogeny. Extremophiles 2005, 9, 185–196. [Google Scholar] [CrossRef]
- Malygina, A.; Balkin, A.; Polyakova, E.; Stefanov, S.; Potekhin, A.; Gogoleva, N. Taxonomic Diversity of the Microbial Biofilms Collected along the Thermal Streams on Kunashir Island. Ecologies 2023, 4, 106–123. [Google Scholar] [CrossRef]
- Grant, J.; Tekle, Y.I.; Anderson, O.R.; Patterson, D.J.; Katz, L.A. Multigene Evidence for the Placement of a Heterotrophic Amoeboid Lineage Leukarachnion Sp. among Photosynthetic Stramenopiles. Protist 2009, 160, 376–385. [Google Scholar] [CrossRef]
- Abdullin, S.R.; Sharipova, M.Y. Algoflora of the Shulgan-Tash Cave (Kapova) in Various Years. Bull. Bashkir Univ. 2005, 3, 49–50. [Google Scholar]
- Claus, G. Algae and Their Mode of Life in the Baradla Cave at Aggtelek II. Int. J. Speleol. 1964, 1, 2. [Google Scholar] [CrossRef][Green Version]
- Abdullin, S.R.; Bagmet, V.B. Mixotrophy of Cyanobacteria and Algae in Cave Conditions. J. Gen. Biol. 2016, 77, 54–62. [Google Scholar]
- Letcher, P.M.; Powell, M.J. A Taxonomic Summary and Revision of Rozella (Cryptomycota). IMA Fungus 2018, 9, 383–399. [Google Scholar] [CrossRef]
- Jurado, V.; del Rosal, Y.; Gonzalez-Pimentel, J.L.; Hermosin, B.; Saiz-Jimenez, C. Biological Control of Phototrophic Biofilms in a Show Cave: The Case of Nerja Cave. NATO Adv. Sci. Inst. Ser. E Appl. Sci. 2020, 10, 3448. [Google Scholar] [CrossRef]
- Karunarathna, S.C.; Dong, Y.; Karasaki, S.; Tibpromma, S.; Hyde, K.D.; Lumyong, S.; Xu, J.; Sheng, J.; Mortimer, P.E. Discovery of Novel Fungal Species and Pathogens on Bat Carcasses in a Cave in Yunnan Province, China. Emerg. Microbes Infect. 2020, 9, 1554–1566. [Google Scholar] [CrossRef]
- Biagioli, F.; Coleine, C.; Piano, E.; Nicolosi, G.; Poli, A.; Prigione, V.; Zanellati, A.; Varese, C.; Isaia, M.; Selbmann, L. Microbial Diversity and Proxy Species for Human Impact in Italian Karst Caves. Sci. Rep. 2023, 13, 689. [Google Scholar] [CrossRef]
- Martin-Pozas, T.; Nováková, A.; Jurado, V.; Cuezva, S.; Fernandez-Cortes, A.; Saiz-Jimenez, C.; Sanchez-Moral, S. A Second Fungal Outbreak in Castañar Cave, Spain, Discloses the Fragility of Subsurface Ecosystems. Microb. Ecol. 2024, 87, 53. [Google Scholar] [CrossRef]
- Lorch, J.M.; Palmer, J.M.; Vanderwolf, K.J.; Schmidt, K.Z.; Verant, M.L.; Weller, T.J.; Blehert, D.S. Malassezia Vespertilionis Sp. Nov.: A New Cold-Tolerant Species of Yeast Isolated from Bats. Persoonia 2018, 41, 56–70. [Google Scholar] [CrossRef]
- Martin-Sanchez, P.M.; Nováková, A.; Bastian, F.; Alabouvette, C.; Saiz-Jimenez, C. Use of Biocides for the Control of Fungal Outbreaks in Subterranean Environments: The Case of the Lascaux Cave in France. Environ. Sci. Technol. 2012, 46, 3762–3770. [Google Scholar] [CrossRef] [PubMed]
- Novarino, G.; Warren, A.; Butler, H.; Lambourne, G.; Boxshall, A.; Bateman, J.; Kinner, N.E.; Harvey, R.W.; Mosse, R.A.; Teltsch, B. Protistan Communities in Aquifers: A Review. FEMS Microbiol. Rev. 1997, 20, 261–275. [Google Scholar] [CrossRef] [PubMed]
- Santoferrara, L.; Burki, F.; Filker, S.; Logares, R.; Dunthorn, M.; McManus, G.B. Perspectives from Ten Years of Protist Studies by High-Throughput Metabarcoding. J. Eukaryot. Microbiol. 2020, 67, 612–622. [Google Scholar] [CrossRef]
- Bachy, C.; Dolan, J.R.; López-García, P.; Deschamps, P.; Moreira, D. Accuracy of Protist Diversity Assessments: Morphology Compared with Cloning and Direct Pyrosequencing of 18S rRNA Genes and ITS Regions Using the Conspicuous Tintinnid Ciliates as a Case Study. ISME J. 2013, 7, 244–255. [Google Scholar] [CrossRef] [PubMed]
- Decelle, J.; Romac, S.; Sasaki, E.; Not, F.; Mahé, F. Intracellular Diversity of the V4 and V9 Regions of the 18S rRNA in Marine Protists (radiolarians) Assessed by High-Throughput Sequencing. PLoS ONE 2014, 9, e104297. [Google Scholar] [CrossRef] [PubMed]
- Grossmann, L.; Bock, C.; Schweikert, M.; Boenigk, J. Small but Manifold—Hidden Diversity in “Spumella-like Flagellates”. J. Eukaryot. Microbiol. 2016, 63, 419–439. [Google Scholar] [CrossRef]
- Jeong, M.; Kim, J.I.; Nam, S.W.; Shin, W. Molecular Phylogeny and Taxonomy of the Genus Spumella (Chrysophyceae) Based on Morphological and Molecular Evidence. Front. Plant Sci. 2021, 12, 758067. [Google Scholar] [CrossRef]





Disclaimer/Publisher’s Note: The statements, opinions and data contained in all publications are solely those of the individual author(s) and contributor(s) and not of MDPI and/or the editor(s). MDPI and/or the editor(s) disclaim responsibility for any injury to people or property resulting from any ideas, methods, instructions or products referred to in the content. |
© 2024 by the authors. Licensee MDPI, Basel, Switzerland. This article is an open access article distributed under the terms and conditions of the Creative Commons Attribution (CC BY) license (https://creativecommons.org/licenses/by/4.0/).
Share and Cite
Gogoleva, N.E.; Nasyrova, M.A.; Balkin, A.S.; Chervyatsova, O.Y.; Kuzmina, L.Y.; Shagimardanova, E.I.; Gogolev, Y.V.; Plotnikov, A.O. Flourishing in Darkness: Protist Communities of Water Sites in Shulgan-Tash Cave (Southern Urals, Russia). Diversity 2024, 16, 526. https://doi.org/10.3390/d16090526
Gogoleva NE, Nasyrova MA, Balkin AS, Chervyatsova OY, Kuzmina LY, Shagimardanova EI, Gogolev YV, Plotnikov AO. Flourishing in Darkness: Protist Communities of Water Sites in Shulgan-Tash Cave (Southern Urals, Russia). Diversity. 2024; 16(9):526. https://doi.org/10.3390/d16090526
Chicago/Turabian StyleGogoleva, Natalia E., Marina A. Nasyrova, Alexander S. Balkin, Olga Ya. Chervyatsova, Lyudmila Yu. Kuzmina, Elena I. Shagimardanova, Yuri V. Gogolev, and Andrey O. Plotnikov. 2024. "Flourishing in Darkness: Protist Communities of Water Sites in Shulgan-Tash Cave (Southern Urals, Russia)" Diversity 16, no. 9: 526. https://doi.org/10.3390/d16090526
APA StyleGogoleva, N. E., Nasyrova, M. A., Balkin, A. S., Chervyatsova, O. Y., Kuzmina, L. Y., Shagimardanova, E. I., Gogolev, Y. V., & Plotnikov, A. O. (2024). Flourishing in Darkness: Protist Communities of Water Sites in Shulgan-Tash Cave (Southern Urals, Russia). Diversity, 16(9), 526. https://doi.org/10.3390/d16090526

