Riparian Bird Occupancy in a Mountain Watershed in the Colorado Mineral Belt Appears Resilient to Climate-Change-Driven Increases in Metals and Rare Earth Elements in Water and Aquatic Macroinvertebrates
Abstract
1. Introduction
2. Methods
2.1. Study Area
2.2. Sample Collection, Observations, and Analytical Methods
2.3. Data Analysis
3. Results
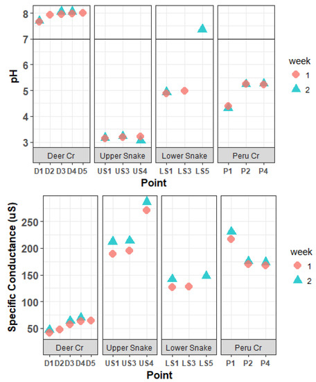
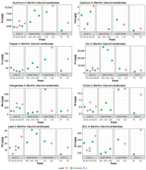
3.1. Trace-Metal and REE Concentrations in Water and Benthic Invertebrates
3.2. Relationships among Trace-Metal and REE Concentrations in Water and Invertebrates
3.3. Riparian Bird Distribution and Occupancy Models
4. Discussion
5. Conclusions
Supplementary Materials
Author Contributions
Funding
Institutional Review Board Statement
Informed Consent Statement
Data Availability Statement
Acknowledgments
Conflicts of Interest
References
- Nordstrom, D.K.; Blowes, D.W.; Ptacek, C.J. Hydrogeochemistry and microbiology of mine drainage: An update. Appl. Geochem. 2015, 57, 3–16. [Google Scholar] [CrossRef]
- Government Accountability Office. Abandoned Mines: Information on the Number of Hardrock Mines, Cost of Cleanup, and Value of Financial Assurances (Statement of Anu K. Mittal, Director, Natural Resources and Environment Team); U.S. Government Printing Office: Washington, DC, USA, 2011. [Google Scholar]
- Todd, A.S.; Manning, A.H.; Verplanck, P.L.; Crouch, C.; McKnight, D.M.; Dunham, R. Climate-change-driven deterioration of water quality in a mineralized watershed. Environ. Sci. Technol. 2012, 46, 9324–9332. [Google Scholar] [CrossRef] [PubMed]
- Rue, G.P.; McKnight, D.M. Enhanced Rare Earth Element Mobilization in a Mountain Watershed of the Colorado Mineral Belt with Concomitant Detection in Aquatic Biota: Increasing Climate Change-Driven Degradation to Water Quality. Environ. Sci. Technol. 2021, 55, 14378–14388. [Google Scholar] [CrossRef]
- Clements, W.H.; Kiffney, P.M. The influence of elevation on benthic community responses to heavy metals in Rocky Mountain streams. Can. J. Fish. Aquat. Sci. 1995, 52, 1966–1977. [Google Scholar] [CrossRef]
- Hogsden, K.L.; Harding, J.S. Consequences of acid mine drainage for the structure and function of benthic stream communities: A review. Freshw. Sci. 2012, 31, 108–120. [Google Scholar] [CrossRef]
- Lear, G.; Niyogi, D.; Harding, J.; Dong, Y.; Lewis, G. Biofilm bacterial community structure in streams affected by acid mine drainage. Appl. Environ. Microbiol. 2009, 75, 3455–3460. [Google Scholar] [CrossRef] [PubMed]
- Mendez-Garcia, C.; Pelaez, A.I.; Mesa, V.; Sanchez, J.; Golyshina, O.V.; Ferrer, M. Microbial diversity and metabolic networks in acid mine drainage habitats. Front. Microbiol. 2015, 6, 475. [Google Scholar]
- Freda, J. The effects of aluminum and other metals on amphibians. Environ. Pollut. 1991, 71, 305–328. [Google Scholar] [CrossRef]
- Todd, A.S.; McKnight, D.M.; Jaros, C.L.; Marchitto, T.M. Effects of acid rock drainage on stocked Rainbow Trout (Oncorhynchus mykiss): An in-situ, caged fish experiment. Environ. Monit. Assess. 2006, 130, 111–127. [Google Scholar] [CrossRef]
- Gray, N.F. Environmental impact and remediation of acid mine drainage: A management problem. Environ. Geol. 1997, 30, 62–71. [Google Scholar] [CrossRef]
- McKnight, D.M.; Feder, G.L. The ecological effect of acid conditions and precipitation of hydrous metal oxides in a Rocky Mountain stream. Hydrobiology 1984, 119, 129–138. [Google Scholar] [CrossRef]
- Niyogi, D.K.; McKnight, D.M.; Lewis, W.M. Influences of water and substrate quality for periphyton in a montane stream affected by acid mine drainage. Limnol. Oceanogr. 1999, 44, 804–809. [Google Scholar] [CrossRef]
- Duarte, S.; Pascoal, C.; Alves, A.; Correia, A.; Cassio, F. Copper and zinc mixtures induce shifts in microbial communities and reduce leaf litter decomposition in streams. Freshw. Biol. 2008, 53, 91–101. [Google Scholar] [CrossRef]
- Niyogi, D.K.; Lewis, W.M.; McKnight, D.M. Litter breakdown in mountain streams affected by mine drainage: Biotic mediation of abiotic controls. Ecol. Appl. 2001, 11, 506–516. [Google Scholar] [CrossRef]
- Cain, D.J.; Luoma, S.N.; Carter, J.L.; Fend, S.V. Aquatic insects as bioindicators of trace element contamination in cobble-bottom rivers and stream. Can. J. Fish. Aquat. Sci. 1992, 49, 2141–2154. [Google Scholar] [CrossRef]
- Pastorino, P.; Brizio, P.; Abete, M.C.; Bertoli, M.; Noser, A.G.O.; Piazza, G.; Prearo, M.; Elia, A.C.; Pizzul, E.; Squadrone, S. Macrobenthic invertebrates as tracers of rare earth elements in freshwater watercourses. Sci. Total Environ. 2020, 698, 134282. [Google Scholar] [CrossRef]
- Amyot, M.; Clayden, M.G.; MacMillan, G.A.; Perron, T.; Arscott-Gauvin, A. Fate and trophic transfer of rare earth elements in temperate lake food webs. Environ. Sci. Technol. 2017, 51, 6009–6017. [Google Scholar] [CrossRef]
- Farag, A.M.; Woodward, D.F.; Goldstein, J.N.; Brumbaugh, W.; Meyer, J.S. Concentrations of metals associated with mining waste in sediments, biofilm, benthic macroinvertebrates, and fish from the Coeur d’Alene Basin, Idaho. Arch. Environ. Contam. Toxicol. 1998, 34, 119–127. [Google Scholar] [CrossRef]
- Pastorino, P.; Pizzul, E.; Bertoli, M.; Perilli, S.; Brizio, P.; Salvi, G.; Esposito, G.; Abete, M.C.; Prearo, M.; Squadrone, S. Macrobenthic invertebrates as bioindicators of trace elements in high-mountain lakes. Environ. Sci. Pollut. Res. 2020, 27, 5958–5970. [Google Scholar] [CrossRef]
- Borga, K.; Campbell, L.; Gabrielsen, G.W.; Norstrom, R.J.; Muir, D.C.G.; Fisk, A.T. Regional and species specific bioaccumulation of major and trace elements in arctic seabirds. Environ. Toxicol. Chem. 2006, 25, 2927–2936. [Google Scholar] [CrossRef]
- Cristol, D.A.; Brasso, R.L.; Condon, A.M.; Fovargue, R.E.; Friedman, S.L.; Hallinger, K.K.; Monroe, A.P.; White, A.E. The movement of aquatic mercury through terrestrial food webs. Science 2008, 320, 335. [Google Scholar] [CrossRef]
- Llacuna, S.; Gorriz, A.; Sanpera, C.; Nadal, J. Metal accumulation in three species of passerine birds (Emberiza cia, Parus major, and Turdus merula) subjected to air pollution from a coal-fired power plant. Arch. Environ. Contamin. Toxicol. 1995, 28, 298–303. [Google Scholar] [CrossRef]
- Scheuhammer, A.M. The chronic toxicity of aluminum, cadmium, mercury, and lead in birds: A review. Environ. Pollut. 1987, 46, 263–295. [Google Scholar] [CrossRef] [PubMed]
- Scheuhammer, A.M. Effects of acidification on the availability of toxic metals and calcium to wild birds and mammals. Environ. Pollut. 1991, 71, 329–375. [Google Scholar] [CrossRef]
- Ormerod, S.J.; O’Halloran, J.; Gribbin, S.D.; Tyler, S.J. The ecology of dippers Cinclus cinclus in relation to stream acidity in upland wales: Breeding performance, calcium physiology and nestling growth. J. Appl. Ecol. 1991, 28, 419–433. [Google Scholar] [CrossRef]
- Mulvihill, R.S.; Newell, F.L.; Latta, S.C. Effects of acidification on the breeding ecology of a stream-dependent songbird, the Louisiana waterthrush (Seiurus motacilla). Freshw. Biol. 2008, 53, 2158–2169. [Google Scholar] [CrossRef]
- Custer, C.M.; Yang, C.; Crock, J.G.; Shearn-Bochster, V.; Smith, K.S.; Hageman, P.L. Exposure of insects and insectivorous birds to metals and other elements from abandoned mine tailings in three Summit County drainages, Colorado. Environ. Monit. Assess. 2009, 153, 161–177. [Google Scholar] [CrossRef] [PubMed]
- Kraus, J.M.; Wanty, R.B.; Schmidt, T.S.; Walters, D.M.; Wolf, R.E. Variation in metal concentrations across a large contamination gradient is reflected in stream but not linked riparian food webs. Sci. Total Environ. 2021, 769, 144714. [Google Scholar] [CrossRef] [PubMed]
- Nordstrom, D.K. Acid rock drainage and climate change. J. Geochem. Explor. 2009, 100, 97–104. [Google Scholar] [CrossRef]
- McKnight, D.M.; Bencala, K.E. The chemistry of Iron, Aluminum, and dissolved organic material in three acidic, metal-enriched, mountain streams, as controlled by watershed and in-stream processes. Water Resour. Res. 1990, 26, 3087–3100. [Google Scholar] [CrossRef]
- Sullivan, A.B.; Drever, J.I.; McKnight, D.M. Diel variation in element concentrations, Peru Creek, Summit County, Colorado. J. Geochem. Explor. 1998, 64, 141–145. [Google Scholar] [CrossRef]
- Crouch, C.M.; McKnight, D.M.; Todd, A.S. Quantifying sources of increasing zinc from acid rock drainage in an alpine catchment under a changing hydrologic regime. Hydrol. Proc. 2013, 27, 721–733. [Google Scholar] [CrossRef]
- Colorado Department of Public Health and Environment Water Quality Control Commission. Regulation #93—Colorado’s Section 303(D) List of Impaired Waters and Monitoring and Evaluation List. 5 CCR 1002-93. Available online: https://cdphe.colorado.gov/impaired-waters. (accessed on 19 April 2023).
- Theobald, P.K.; Lakin, W.; Hawkins, D.B. The precipitation of aluminum, iron and manganese at the junction of Deer Creek with the Snake River in Summit County, Colorado. Geochim. Cosmochim. Acta 1963, 27, 121–132. [Google Scholar] [CrossRef]
- Yang, C. Effects of Acid Mine Drainage on Nesting Tree Swallows. Master’s Thesis, University of Colorado, Boulder, CO, USA, 2006. [Google Scholar]
- Carrol, J.E. Dynamics of Solute Transport and Rare Earth Element Behavior in Acid Mine Drainage Impacted Alpine Rivers, Snake River CO. Master’s Thesis, University of Colorado, Boulder, CO, USA, 2017. [Google Scholar]
- Blue River Watershed Group. Snake River Watershed Plan; Prepared on behalf of Colorado Department of Public Health & Environment, Water Quality Control Division; Colorado Department of Public Health & Environment, Water Quality Control Division: Boulder, CO, USA, 2013. [Google Scholar]
- Boyer, E.W.; McKnight, D.M.; Bencala, K.E.; Brooks, P.D.; Anthony, M.W.; Zellweger, G.W.; Harnish, R.E. Streamflow and Water Quality Characteristics for the Upper Snake River and Deer Creek Catchments in Summit County, Colorado: Water Years 1980 to 1990; Institute of Arctic and Alpine Research Occasional Paper No. 53; University of Colorado: Boulder, CO, USA, 1999. [Google Scholar]
- Fey, D.L.; Church, S.E.; Unruth, D.M.; Bove, D.J. Water and Sediment Study of the Snake River Watershed, Colorado, Oct. 9–12, 2001; U.S. Geological Survey Open-File Report 02-0330; U.S. Geological Survey, U.S. Department of the Interior: Washington, DC, USA, 2001. [Google Scholar]
- Todd, A.S.; McKnight, D.M.; Duren, S.M. Water Quality Characteristics for the Snake River, North Fork of the Snake River, Peru Creek, and Deer Creek in Summit County, Colorado: 2001 to 2002; Institute of Arctic and Alpine Research, University of Colorado: Boulder, CO, USA, 2005. [Google Scholar]
- Andrews, R.; Righter, R. Colorado Birds: A Reference to Their Distribution and Habitat; Denver Museum of Natural History: Denver, CO, USA, 1992. [Google Scholar]
- Hauer, F.R.; Resh, V.H. Macroinvertebrates. In Methods in Stream Ecology, 2nd ed.; Hauer, F.R., Lamberti, G.A., Eds.; Elsevier: New York, NY, USA, 2007; pp. 435–454. [Google Scholar]
- Zbinden, N.; Kéry, M.; Keller, V.; Brotons, L.; Herrando, S.; Schmid, H. Species Richness of Breeding Birds along the Altitudinal Gradient—An Analysis of Atlas Databases from Switzerland and Catalonia (NE Spain). In Data Mining for Global Trends in Mountain Biodiversity; CRC Press: Boca Raton, FL, USA, 2009; p. 65. [Google Scholar]
- Enserink, E.L.; Maas-Diepeveen, J.L.; Van Leeuwen, C.J. Combined effects of metals: And ecotoxicological evaluation. Water Res. 1991, 25, 679–687. [Google Scholar] [CrossRef]
- Clements, W.H.; Carlisle, D.M.; Lazorchak, J.M.; Johnson, P.C. Heavy metals structure benthic communities in Colorado mountain streams. Ecol. Appl. 2000, 10, 626–638. [Google Scholar] [CrossRef]
- Environmental Protection Agency. National Recommended Aquatic Life Criteria Table. Available online: https://www.epa.gov/wqc/national-recommended-water-quality-criteria-aquatic-life-criteria-table. (accessed on 1 March 2018).
- R Core Team. R: A Language and Environment for Statistical Computing; R Foundation for Statistical Computing: Vienna, Austria, 2017; Available online: https://www.R-project.org/ (accessed on 1 October 2017).
- Burnham, K.P.; Anderson, D.R. Model Selection and Multimodel Inference: A Practical Information-Theoretic Approach, 2nd ed.; Springer: New York, NY, USA, 2003. [Google Scholar]
- Pastorino, P.; Bertoli, M.; Squadrone, S.; Brizio, P.; Piazza, G.; Noser, A.G.O.; Prearo, M.; Abete, M.C.; Pizzul, E. Detection of trace elements in freshwater microbenthic invertebrates of different functional feeding guilds: A case study in Northeast Italy. Ecohydrol. Hydrobiol. 2019, 19, 428–440. [Google Scholar] [CrossRef]
- Garca, M.A.S.; Cressa, C.; Gessner, M.O.; Feio, M.J.; Callies, K.A.; Barrios, C. Food quality, feeding preferences, survival and growth of shredders from temperate and tropical streams. Freshw. Biol. 2001, 46, 947–957. [Google Scholar] [CrossRef]
- Rodewald, P. (Ed.) . The Birds of North America; Cornell Laboratory of Ornithology: Ithaca, NY, USA, 2018. [Google Scholar]
- Hill, B.G.; Lein, M.R. Territory overlap and habitat use of sympatric chickadees. The Auk 1989, 106, 259–268. [Google Scholar]
- Baker, M.C.; Mewaldt, R. The use of space by white-crowned sparrows: Juvenile and adult ranging patterns and home range versus body size comparisons in an avian granivore community. Behav. Ecol. Sociobiol. 1979, 6, 45–52. [Google Scholar] [CrossRef]
- Sabo, S.R. Niche and habitat relations in subalpine bird communities of the White Mountains of New Hampshire. Ecol. Monogr. 1980, 50, 241–259. [Google Scholar] [CrossRef]
- Ammon, E.M. Lincoln’s Sparrow (Melospiza lincolnii), version 2.0. In The Birds of North America; Poole, A.F., Gill, F.B., Eds.; Cornell Lab of Ornithology: Ithaca, NY, USA, 1995. [Google Scholar]
- Ammon, E.M.; Gilbert, W.M. Wilson’s Warbler (Cardellina pusilla), version 2.0. In The Birds of North America; Poole, A.F., Gill, F.B., Eds.; Cornell Lab of Ornithology: Ithaca, NY, USA, 1999. [Google Scholar]
- Chilton, G.; Baker, C.; Barrentine, C.D.; Cunningham, M.A. White-crowned sparrow (Zonotrichia leucophrys), version 2.0. In The Birds of North America; Poole, A.F., Gill, F.B., Eds.; Cornell Lab of Ornithology: Ithaca, NY, USA, 1995. [Google Scholar]
- Winkler, E.W.; Hallinger, K.K.; Ardia, D.R.; Roberson, R.J.; Stutchbury, B.J.; Cohen, R.R. Tree swallow (Tachycineta bicolor), version 2.0. In The Birds of North America; Poole, A.F., Gill, F.B., Eds.; Cornell Lab of Ornithology: Ithaca, NY, USA, 2011. [Google Scholar]
- Mengelkoch, J.M.; Niemi, G.J.; Regal, R.R. Diet of the nestling tree swallow. Condor 2004, 106, 423–429. [Google Scholar] [CrossRef]
- Wheelwright, N.T. The diet of American robins: An analysis of U.S. Biological Survey records. The Auk 1986, 103, 710–725. [Google Scholar] [CrossRef]
- Kraus, J.M.; Schmidt, T.S.; Walters, D.M.; Wanty, R.B.; Zuellig, R.E.; Wolf, R.E. Cross-ecosystem impacts of stream pollution reduce resource and contaminant flux to riparian food webs. Ecol. Appl. 2014, 24, 235–243. [Google Scholar] [CrossRef] [PubMed]
- Greenwood, P.J. Mating systems, philopatry and dispersal in birds and mammals. Anim. Behav. 1980, 28, 1140–1162. [Google Scholar] [CrossRef]
- Inouye, D.W.; Barr, B.; Armitage, K.B.; Inouye, B.D. Climate change is affecting altitudinal migrants and hibernating species. Proc. Natl. Acad. Sci. USA 2000, 97, 1630–1633. [Google Scholar] [CrossRef] [PubMed]
- Johnson, D.B.; Hallberg, K.B. Acid mine drainage remediation options: A review. Sci. Total Environ. 2005, 338, 3–14. [Google Scholar] [CrossRef]










| Metal | Direction of Relationship | Adjusted r2 | p-Value |
|---|---|---|---|
| Relationships for acidic sites | |||
| Cadmium | Negative | 0.829 | 0.020 * |
| Iron | Positive | 0.717 | 0.010 * |
| Lead | Negative | 0.516 | 0.042 * |
| Common Name | Scientific Name | Naïve Occupancy |
|---|---|---|
| American Crow | Corvus brachyrhynchos | 0.20 |
| American Robin | Turdus migratorius | 0.80 |
| Dark-eyed Junco | Junco hyemalis | 0.80 |
| Lincoln’s Sparrow | Melospiza lincolnii | 0.55 |
| Mountain Chickadee | Poecile gambeli | 0.80 |
| Northern Flicker | Colaptes auratus | 0.05 |
| Pine Grosbeak | Pinicola enucleator | 0.05 |
| Ruby-crowned Kinglet | Regulus calendula | 0.75 |
| Steller’s Jay | Cyanocitta stelleri | 0.10 |
| White-crowned Sparrow | Zonotrichia leucophrys | 0.65 |
| Wilson’s Warbler | Cardellina pusilla | 0.65 |
| Yellow-rumped Warbler | Setophaga coronata | 0.65 |
| Species | Model Names | AICc | Δ AICc | Weight | Cumulative Weight |
|---|---|---|---|---|---|
| American Robin | Ψ(Elevation), p(Stemp) | 77.715 | 0.000 | 0.825 | 0.825 |
| Dark-eyed Junco | Ψ(.), p(Stemp) | 85.609 | 0.000 | 0.318 | 0.318 |
| Ψ(.), p(.) | 86.950 | 1.341 | 0.163 | 0.481 | |
| Ψ(Elevation), p(Stemp) | 87.948 | 2.339 | 0.099 | 0.579 | |
| Ψ(InvertPb), p(Stemp) | 88.294 | 2.685 | 0.083 | 0.662 | |
| Ψ(Forest300), p(Stemp) | 88.590 | 2.981 | 0.072 | 0.734 | |
| Ψ(Shrub100), p(Stemp) | 88.598 | 2.989 | 0.071 | 0.805 | |
| Lincoln’s Sparrow | Ψ(Shrub300), p(Julian) | 54.974 | 0.000 | 0.462 | 0.462 |
| Ψ(Forest100), p(Julian) | 56.801 | 1.827 | 0.185 | 0.647 | |
| Mountain Chickadee | Ψ(.), p(Julian) | 67.352 | 0.000 | 0.253 | 0.253 |
| Ψ(PC1inverts), p(Julian) | 68.214 | 0.861 | 0.165 | 0.418 | |
| Ψ(Shrub100), p(Julian) | 68.459 | 1.106 | 0.146 | 0.564 | |
| Ψ(Elevation), p(Julian) | 68.805 | 1.453 | 0.123 | 0.686 | |
| Ruby-crowned Kinglet | Ψ(.), p(Julian + Noise) | 81.668 | 0.000 | 0.376 | 0.376 |
| Ψ(PC1inverts), p(Julian + Noise) | 84.364 | 2.696 | 0.098 | 0.473 | |
| White-crowned Sparrow | Ψ(Forest100 + InvertPb), p(Julian) | 55.342 | 0.000 | 0.463 | 0.463 |
| Ψ(Shrub100 + InvertPb), p(Julian) | 55.348 | 0.006 | 0.462 | 0.925 | |
| Wilson’s Warbler | Ψ(Shrub300), p(.) | 58.425 | 0.000 | 0.417 | 0.417 |
| Ψ(Forest100), p(.) | 58.453 | 0.028 | 0.411 | 0.828 | |
| Yellow-rumped Warbler | Ψ(.), p(Noise) | 80.543 | 0.000 | 0.182 | 0.182 |
| Ψ(.), p(.) | 80.747 | 0.204 | 0.164 | 0.346 | |
| Ψ(Forest300 + CCU), p(Noise) | 81.047 | 0.504 | 0.141 | 0.487 | |
| Ψ(Forest300), p(Noise) | 81.159 | 0.617 | 0.133 | 0.620 | |
| Ψ(CCU), p(Noise) | 81.619 | 1.077 | 0.106 | 0.726 | |
| Ψ(PC1water), p(Noise) | 82.484 | 1.941 | 0.069 | 0.795 | |
| Ψ(PC1inverts), p(Noise) | 82.659 | 2.117 | 0.063 | 0.858 | |
| Ψ(Elevation), p(Noise) | 83.096 | 2.554 | 0.051 | 0.909 | |
| Ψ(Shrub300), p(Noise) | 83.374 | 2.831 | 0.044 | 0.953 |
| Species | Parameter | Model-Averaged Beta Estimate | 95% Confidence Interval |
|---|---|---|---|
| American Robin | Elevation (Ψ) | 34.37 | −128.79–197.54 |
| Stemp (p) | 0.07 | −0.01–0.14 | |
| Dark-eyed Junco | Elevation (Ψ) | 1.22 | −2.19–4.64 |
| InvertPb (Ψ) | −0.09 | −0.42–0.24 | |
| Forest300 (Ψ) | −0.02 | −0.17–0.12 | |
| Shrub100 (Ψ) | −0.02 | −0.11–0.07 | |
| Stemp (p) | −0.07 | −0.15–0 | |
| Lincoln’s Sparrow | Shrub300 (Ψ) | 0.15 | −0.01–0.3 |
| Forest100 (Ψ) | −0.03 | −0.08–0.03 | |
| Julian (p) | 0.33 * | 0.06–0.59 | |
| Mountain Chickadee | PC1inverts (Ψ) | 0.78 | −0.92–2.48 |
| Shrub100 (Ψ) | −0.06 | −0.18–0.06 | |
| Elevation (Ψ) | 1.03 | −0.85–2.91 | |
| Julian (p) | −0.23 * | −0.35–−0.11 | |
| Ruby-crowned Kinglet | PC1inverts (Ψ) | −0.25 | −0.81–0.32 |
| Julian (p) | 0.1 | −0.01–0.21 | |
| Noise1 (p) | −2.21 * | −3.85–−0.58 | |
| White-crowned Sparrow | InvertPb (Ψ) | 3.72 | −7.38–14.82 |
| Shrub100 (Ψ) | 3.4 | −6.25–13.01 | |
| Forest100 (Ψ) | −1.52 | −6.42–3.38 | |
| Julian (p) | 0.2 * | 0.06–0.34 | |
| Wilson’s Warbler | Shrub300 (Ψ) | 2.38 | −50.72–55.48 |
| Forest100 (Ψ) | −0.8 | −17.84–16.24 | |
| Yellow-rumped Warbler | Forest300 (Ψ) | −0.08 | −0.22–0.06 |
| CCU (Ψ) | 0.05 | −0.06–0.15 | |
| PC1water (Ψ) | 0.33 | −0.68–1.34 | |
| PC1inverts (Ψ) | 0.50 | −0.97–1.97 | |
| Elevation (Ψ) | 0.60 | −0.82–2.03 | |
| Shrub300 (Ψ) | 0.05 | −0.12–0.22 | |
| Noise1 (p) | −1.35 | −2.96–0.25 |
| Species | RMSE of Null Model | Best Model | RMSE of Best Model |
|---|---|---|---|
| American Robin | 0.443 | Ψ(Elevation), p(Stemp) | 0.229 * |
| Dark-eyed Junco | 0.436 | Ψ(.), p(Stemp) | 0.442 |
| Lincoln’s Sparrow | 0.524 | Ψ(Shrub300), p(Julian) | 0.447 * |
| Mountain Chickadee | 0.423 | Ψ(.), p(Julian) | 0.424 |
| Ruby-crowned Kinglet | 0.465 | Ψ(.), p(Julian + Noise) | 0.469 |
| White-crowned Sparrow | 0.510 | Ψ(Forest100 + InvertPb), p(Julian) | 0.358 * |
| Wilson’s Warbler | 0.505 | Ψ(Shrub300), p(.) | 0.004 * |
| Yellow-rumped Warbler | 0.507 | Ψ(.), p(Noise) | 0.533 |
Disclaimer/Publisher’s Note: The statements, opinions and data contained in all publications are solely those of the individual author(s) and contributor(s) and not of MDPI and/or the editor(s). MDPI and/or the editor(s) disclaim responsibility for any injury to people or property resulting from any ideas, methods, instructions or products referred to in the content. |
© 2023 by the authors. Licensee MDPI, Basel, Switzerland. This article is an open access article distributed under the terms and conditions of the Creative Commons Attribution (CC BY) license (https://creativecommons.org/licenses/by/4.0/).
Share and Cite
Watson, K.E.; McKnight, D.M. Riparian Bird Occupancy in a Mountain Watershed in the Colorado Mineral Belt Appears Resilient to Climate-Change-Driven Increases in Metals and Rare Earth Elements in Water and Aquatic Macroinvertebrates. Diversity 2023, 15, 712. https://doi.org/10.3390/d15060712
Watson KE, McKnight DM. Riparian Bird Occupancy in a Mountain Watershed in the Colorado Mineral Belt Appears Resilient to Climate-Change-Driven Increases in Metals and Rare Earth Elements in Water and Aquatic Macroinvertebrates. Diversity. 2023; 15(6):712. https://doi.org/10.3390/d15060712
Chicago/Turabian StyleWatson, Kelly E., and Diane M. McKnight. 2023. "Riparian Bird Occupancy in a Mountain Watershed in the Colorado Mineral Belt Appears Resilient to Climate-Change-Driven Increases in Metals and Rare Earth Elements in Water and Aquatic Macroinvertebrates" Diversity 15, no. 6: 712. https://doi.org/10.3390/d15060712
APA StyleWatson, K. E., & McKnight, D. M. (2023). Riparian Bird Occupancy in a Mountain Watershed in the Colorado Mineral Belt Appears Resilient to Climate-Change-Driven Increases in Metals and Rare Earth Elements in Water and Aquatic Macroinvertebrates. Diversity, 15(6), 712. https://doi.org/10.3390/d15060712

