Abstract
In many tropical areas of high conservation concern there is still no evidence on the effectiveness of protected areas in protecting specific components of biodiversity. Here, to assess the management effectiveness of protected areas, we carried out a field sampling design for collecting data on waterbird communities within the Nibule National Park (South Sudan), a poorly-known hot-spot of biodiversity, and in the surrounding buffer zone. All the metrics of richness (absolute species richness, Margalef index, Chao-1) and diversity were significantly higher for bird communities inhabiting the national park, when compared to the buffer zone. Evenness was predictably lower in the national park when compared to the buffer zone, probably due to the large numbers of rare species that were observed in the park’s richer communities, thus increasing the differences in relative frequencies between species. The diversity profiles highlighted this pattern, with more sloping curves in the park sites, evidencing a role of protected area management in positively affecting the bird community structure. Our data provide the first evidence for a poorly-known area of high conservation concern on the effective role played by a National Park in maintaining high values of richness and diversity, at least for wetland-related birds.
Keywords:
protected areas; richness; diversity; evenness; rarefaction; diversity profiles; monitoring 1. Introduction
The role of natural parks and reserves for the conservation of species and ecosystems is largely known, but data for tropical areas are still scanty [1]. In particular, their effectiveness in conserving threatened targets of biodiversity can be measured by starting specific monitoring actions and using many different indices and indicators (e.g., [2]): these last may be focused both on management results (outputs) and on biological responses (outcomes) [3].
Among the biological indices, those at the community level (univariate metrics; [4]) have been largely used to verify changes in the status of environmental systems before and after the implementation of management and conservation actions [1].
Although monitoring research is already available worldwide [5,6], in many tropical contexts of high conservation concern there is still no evidence on the effectiveness of protected areas in conserving specific components of biodiversity [7]. Assessing management effectiveness of protected areas is particularly urgent in these contexts where conservation actions are urgent [6].
One of the lesser studied areas of the African continent is South Sudan, for which ecological research on birds at the community level has been carried out only in recent times [8]. In this geographical area, the system of nature reserves includes some areas that are located along the Nile River, with a landscape matrix dominated by wet environments. Here, field studies aimed to compare bird diversity in protected vs. neighbouring non protected areas are not yet available [9,10].
Wetlands are strategic to waterbirds since they provide them suitable habitats for breeding and foraging needs [11,12]. Moreover, due to their ecological sensitivity, waterbird species are considered as good indicators of wetland health [13]. In tropical areas, waterbird species are at risk due to the large-scale loss of wetland habitats due to human-induced disturbances. For example, it was estimated that over 50% of total wetland sur- face was lost during the last century [14]. In this regard, the role of protected areas (e.g., parks and reserves) may be strategic.
This study aims to compare a set of uni-variate metrics of diversity of water-related birds in a national park versus its nearby non- protected territories of South Sudan, a poorly known hot spot of biodiversity [15]. To explore this, we performed a field sampling design for collecting data within the national park and in its comparable neighbouring area, using a set of univariate metrics of diversity.
2. Methods
2.1. Study Area
The study was conducted at Nimule National Park and in a comparable surrounding buffer area located in Eastern Equatorial State of South Sudan (Magwi County), near the border with Uganda (Figure 1). Nimule National Park (latitude of 3-599912; longitude of 32.055294) was established in 1954 mainly for the protection of large iconic mammals and for its rich biodiversity and scenic beauty.
Figure 1.
Map showing the location of Nimule National Park (South Sudan).
Nimule National Park is characterized by deciduous tree species typical of the savannah and bush environments as Kigelia africana, Acacia seyal, A. abysinica, A. sieberiana and A. brevispice, Schelerocharya birrea, Afteli aquanzensi, Ziziphus mouritiana, Euphorbia candelabrum, Combretum molle, Tamarindus indica, Borasus aethiopium, Anona senagalensis, and Caesesalpinia decapetala. A riverine woodland vegetation is present, occurring along seasonal and permanent rivers and streams. The Kayu River that flows through the park from the Uganda border to the hills and the Illunga mountains are some of physical features of Nimule National Park [16]. This park hosts a variety of fauna of high conservation concern (e.g., among mammals: Loxodonta africana, Hippopotamus amphibious, Kobus defassa, Tragelophus scriptus, Cercopithecus acthios, Procavia cupensis; among reptiles: Cyclanorbis elegans, Crocodylus niloticus and others). Biodiversity in Nimule National Park and the surrounding buffer had suffered intensive threats (e.g., poaching, human encroachment, cattle keeping, deforestation and other anthropogenic activities) that were carried out by people living nearby during the South Sudan 2013–2019 civil war. More particularly, these threats are now actively controlled by the park rangers (with a priority toward illegal hunting and bushmeat trading).
To carry out a comparison, we selected a study area extended over 410 km2 and bordering the White Nile River in the eastern part of the park (we selected the eastern sector to avoid crossing the international border with Uganda). The selected portion of the buffer zone was situated in the eastern bank, and was bounded by the Assua River to the North, and the Juba-Nimule road to the East. Vegetation, fauna and landscape mosaics are highly comparable with the national park.
The climate is tropical with warm/hot temperatures (average temperature of 37 °C in February, and 29 °C in July) with scarce rainfall. The monthly rainfall varies between 2 (January) and 127 mm (October).
2.2. Protocol
The field study was conducted between 18 and 26 March 2020, in the dry seasons. We carried out a sampling design comparing sites located in the National Park vs. sites located in the surrounding buffer zone and selecting ecologically similar sites (wet habitats along primary and secondary rivers).
Locations were:
- (i)
- in the buffer zone: Commando, Fula, Rai, and Landing; and
- (ii)
- in the Nimule National Park: Lobubu–Apanzala, Simo2, Simo1, Iria, and Apalla.
In each site, any aquatic and semi-aquatic bird species (hereafter, ‘waterspecies’) were identified and recorded along an unlimited distance line transects (threshold detectability: 500 m) for a total length of 3400 m (3.4 km), randomly located [17].
The identification of the recorded birds was performed visually and by photographic record using field guides for identification. Waterbirds not classified at a species level were not considered. All individuals were identified to the species level with binocular 8 × 30 Leica [18].
2.3. Data Analysis
To compare the diversity of the bird assemblages among habitats, we calculated the following univariate metrics at community level, for each line transect/site [4,19]: (i) abundance index: number of recorded individuals (for each species and totally); (ii) species richness, that is the total number of species; (iii) normalized species richness (Margalef index) calculated as (S-1)/ln(n); (iv) Chao-1, as an estimate of total species richness. Chao1 = S + F1(F1 − 1)/(2 (F2 + 1), where F1 is the number of singleton species and F2 the number of doubleton species [4]; (v) Shannon–Wiener index: H′ = −Σfr × (lnfr), where fr = n/N, where n is the number of individuals of each species in each study site (national park vs. buffer) and N is the total number of birds that were recorded; and (vi) Pielou’s Evenness index, calculated as: e = H′/H′max, where Hmax = lnS, with H′ representing Shannon’s index, and S the total number of bird species recorded (for details of metrics: [4,19]). Hmax corresponds to the maximum value of diversity (i.e., when all species are equally represented [4]).
Data were pooled in sites belonging to Nimule National Park versus sites belonging to the surrounding buffer zone, using single transects as replicates. We compared the averaged values in univariate indices between the buffer zone and park sites using a non-parametric Mann-Whitney U test, using box plots to illustrate medians values and variance. We used a t-test to compare the differences in diversity indices between the buffer zone and National Park sites [4,19,20] after having verified the normality and homoscedasticity of the raw data.
We performed individual rarefaction curves to compare diversity in samples of different sizes. This module estimates how many taxa you would expect to find in samples with a smaller total number of individuals. With this method, it is possible to compare the number of taxa in samples of different size. Using rarefaction analysis on a large sample, it is possible to read out the number of expected taxa for any smaller sample size [21]. We performed rarefaction curves both for species richness and Shannon-Wiener H′ diversity index both for singles sites and cumulating data buffer vs. National Park.
To graphically compare diversities in several samples, we used the diversity profile models [22]. Diversity profiles have been used because the validity of comparing diversities across samples can be criticized because of the arbitrary choice of a diversity index. In this regard, a number of diversity indices may be compared to make sure that the diversity ordering is robust. A formal way of doing this is to define a family of diversity indices, dependent upon a single continuous parameter [22]. We used the exponential of the so-called Renyi index, which depends upon a parameter α on the x-axis. For α = 0, this function gives the total species number, α = 1 gives an index proportional to the Shannon index, while α = 2 gives an index which behaves like the Simpson index [22,23]. The bootstrapping option (giving a 95% confidence interval) was based on 2000 replicates.
Analyses were performed with PAST version 4.1 computer software [23]. Alpha was set at 5%.
3. Results
A total of 1755 bird individuals, belonging to 73 different species, were observed in nine sites (buffer zone: n = 548; Nimule National Park: n = 1207).
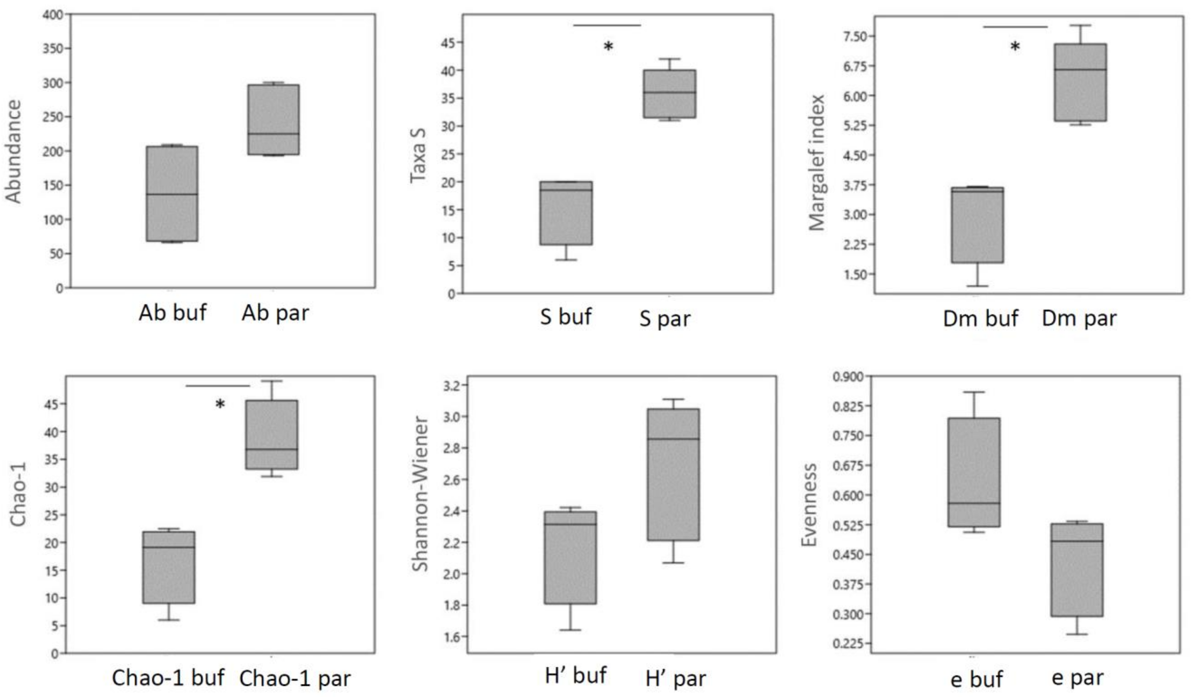
All the metrics of richness (species richness, Margalef index, Chao-1) were significantly higher for communities inhabiting the Nimule Park, when compared to the buffer zone. The diversity index showed higher values in the park, however without a significant difference in terms of averaged values. Nevertheless, comparing the total value of diversity of park versus buffer zone, we obtained a significant difference (t = −2.14, p = 0.032). Pielou’s evenness showed a lower value in the park communities when compared to the buffer zone (Figure 2; Table 1; Appendix A).
Figure 2.
Boxplots with mean values (and standard deviation) for the uni-variate metrics of diversity. Ab, abundance index; S, species richness; Dm: Margalef index (normalized species richness); Chao-1, Chao-1 richness estimator; H′, Shannon-Wiener diversity index; e, evenness; buf, buffer; par, park. See Methods for details. *: p < 0.05.
Table 1.
Univariate metrics of diversity for the studied wetland-related bird communities (Ab, total abundance index; S, species richness; Dm, normalized species richness (Margalef index); Chao-1, Chao-1 richness estimator; H′, Shannon-Wiener diversity index; e, evenness. Buffer area: C, Commando; F, Fula; R, Rai; Ls, Landing site; Nimule National park: L, Lobubu; Si2, Simo 2; Si1, Simo 1; Apalla, Apalla; Iria, Iria. *: p < 0.05.
An individual rarefaction curve revealed that community diversity was sampled adequately both in buffer zones and inside the park, given that the plateau between the number of individuals and the number of detected taxa was clearly reached in all cases. However, higher values in the plateau were observed in the park, with the buffer community showing lower values, apparently without reaching a plateau (Figure 3).
Figure 3.
Rarefaction curves for species richness and Shannon-Wiener diversity H′ index. On the (left): comparison among single sites in buffer zone (left) and national Park (middle); On the (right): comparisons between total communities (buffer zone vs. national park).
Diversity profiles confirmed the pattern obtained by the univariate metrics, with a different shape (higher slope) in the curve evidencing the higher richness and diversity of the park’s sites (Figure 4).
Figure 4.
Diversity profiles for the community diversity of birds in buffer zone’s sites (left) vs. Nimule National Park (right), South Sudan. X-axis indicate the q-order of alpha-diversity (see Methods for details).
4. Discussion
Our study highlights a difference between the diversity patterns inside and outside Nimule National Park (South Sudan). The data showed, for all sites, a consistently significant drop in the variables related to the number of species (absolute and normalized richness and Chao-1 richness estimator) and a significant decrease in diversity considering the cumulated values. The only parameter that showed a decrease is the evenness, that was predictably lower in the National Park when compared to the buffer zone. This may be due to the large numbers of rare species that were observed in the richer communities inside the park (i.e, we observed a large number of species with low abundance indices: a known pattern in community ecology: [24]), thus increasing the differences in relative frequencies between species. The diversity profiles highlighted this pattern, with more sloping curves in the sites inside the park when compared with the surrounding buffer. However, our patterns reported only abundance indices since we have not carried out a correction of detectability (obtaining true abundance values). Although further studies could be focused in this regard, we think that data are enough exhaustive enough for first consideration about the role of the park in improving bird diversity. Waterbird species in South Sudan are under stress due to a set of human-induced threats (cattle keeping or grazing, fishing, habitat loss and fragmentation, poaching for bushmeat, war-related stresses etc.; [25]. In our study area, these threats are less controlled outside the park where, in buffer areas, they can heavily affect the structure of bird communities, thereby changing the observed patterns and inducing a marked reduction in diversity metrics.
Apart from the purely ecological aspects, however interesting given that these areas are little studied [8], these data provide initial information on the effective role played by a National Park (i) in maintaining high values of richness and diversity of critical areas of exceptional environmental value and (ii) improving the role of these areas as driving forces positively affecting the local social and economic system (e.g., through a biodiversity-focused sustainable tourism).
Finally, we suggest the park could adopt a monitoring protocol aimed to assess its effectiveness in management success in nature conservation [26].
Author Contributions
Conceptualization: L.L. and C.B.; Methodology: L.L., G.S.D., S.A.G., T.F.L. and L.L.; Field study: G.S.D.; Writing—original draft: G.S.D., S.A.G., T.F.L., L.L. and C.B.; Writing—review & editing: C.B. and L.L. All authors have read and agreed to the published version of the manuscript.
Funding
This research received no external funding.
Institutional Review Board Statement
Not applicable.
Data Availability Statement
Data available on request.
Acknowledgments
Thanks to friends, parents and colleagues who directly or indirectly have lent their helping: Geng Kejo Chapa, Daniele Dendi, Mommy Amer Pandak Thuc and Mawut Geng Kejo Chapa, Michael Khok Aguto. Isaac Simma Solomon (Park Director) and the Game warden Taban Richard provided further information. Two anonymous reviewers provided useful comments and suggestions.
Conflicts of Interest
The authors declare no conflict of interest.
Appendix A
Table A1.
Check-list of the sampled species (in systematic order) with the regional phenology, realm of distribution (chorology), trophic level, classes of local abundance (+: rare; 1: uncommon; 2: frequent; 3: abundant), and level of conservation concern (IUCN threat category; source: iucnredlist.org: LC: Least Concern; EN: endangered; CR: Critically endangered). *: Introduced species.
Table A1.
Check-list of the sampled species (in systematic order) with the regional phenology, realm of distribution (chorology), trophic level, classes of local abundance (+: rare; 1: uncommon; 2: frequent; 3: abundant), and level of conservation concern (IUCN threat category; source: iucnredlist.org: LC: Least Concern; EN: endangered; CR: Critically endangered). *: Introduced species.
| Taxonomic Family and Species | Phenology | Realm | Trophic Level | Abundance | Iucn | Taxonomic Family and Species | Phenology | Range | Trophic Level | Abundance | Iucn |
|---|---|---|---|---|---|---|---|---|---|---|---|
| Phalacrocoracidae | Cuculus gularis | Partially migratory | Afro-tropic | Carnivore | 2 | LC | |||||
| Phalacrocorax lucidus | Sedentary | Afro-tropic | Carnivore | 2 | LC | Centropus senegalensis | Sedentary | Afro-tropic | Carnivore | 1 | LC |
| Microcarbo niger | Partially migratory | Indo-Malay | Carnivore | 2 | LC | Chrysococcyx caprius | Sedentary | Afro-tropic | Carnivore | 1 | LC |
| Microcarbo africanus | Sedentary | Afro-tropic | Carnivore | 1 | LC | Strigidae | |||||
| Anhingidae | Bubo africanus | Sedentary | Afro-tropic | Carnivore | 1 | LC | |||||
| Anhinga rufa | Sedentary | Afro-tropic | Carnivore | 1 | LC | Apodidae | |||||
| Ardeidae | Cypsiurus parvus | Migratory | Afro-tropic | Carnivore | 2 | LC | |||||
| Ixobrychus minutus | Migratory | Afro-tropic | Carnivore | 2 | LC | Coliidae | |||||
| Ardeola ralloides | Migratory | Afro-tropic | Carnivore | 2 | LC | Colius striatus | Sedentary | Afro-tropic | Herbivore | 1 | LC |
| Bubulcus ibis | Partially migratory | Palaearctic/Afro-tropic | Carnivore | 3 | LC | Alcedinidae | |||||
| Butorides striata | Partially migratory | Afro-tropic | Carnivore | 1 | LC | Halcyon leucocephala | Partially migratory | Afro-tropic | Carnivore | 1 | LC |
| Egretta garzetta | Partially migratory | Palearctic | Carnivore | 3 | LC | Halcyon senegalensis | Partially migratory | Afro-tropic | Carnivore | 1 | LC |
| Ardea melanocephala | Sedentary | Afro-tropic | Carnivore | 2 | LC | Ceryle rudis | Sedentary | Afro-tropic | Carnivore | 2 | LC |
| Ardea cinerea | Sedentary | Palearctic | Carnivore | 3 | LC | Ispidina picta | Sedentary | Afro-tropic | Carnivore | 1 | LC |
| Ardea goliath | Sedentary | Afro-tropic | Carnivore | 1 | LC | Bucerotidae | |||||
| Scopidae | Tockus nasutus | Sedentary | Afro-tropic | Herbivore | 2 | LC | |||||
| Scopus umbretta | Partially migratory | Afro-tropic | Carnivore | 2 | LC | Capitonidae | |||||
| Ciconiidae | Lybius guifsobalito | Sedentary | Afro-tropic | Herbivore | 2 | LC | |||||
| Anastomus oscitans | Partially migratory | Indo-Malay | Carnivore | 2 | LC | Trachyphonus darnaudii | Sedentary | Afro-tropic | Herbivore | 1 | LC |
| Ciconia episcopus | Sedentary | Afro-tropic | Carnivore | 1 | LC | Alaudidae | |||||
| Threskiornithidae | Pinarocorys erythropygia | Sedentary | Indo-Malay | Carnivore | 2 | LC | |||||
| Pseudibis papillosa | Sedentary | Indo-Malay | Carnivore | 1 | LC | Hirundinidae | |||||
| Anatidae | Hirundo rustica | Migratory | Palearctic | Carnivore | 3 | LC | |||||
| Dendrocygna viduata | Partially migratory | Afro-tropic | Herbivore | 2 | LC | Motacillidae | |||||
| Anser cygnoides * | Migratory | Palearctic | Herbivore | 2 | LC | Motacilla alba | Partially migratory | Palearctic | Carnivore | 3 | LC |
| Accipitridae | Pycnonotidae | ||||||||||
| Milvus aegyptius | Migratory | Afro-tropic | Carnivore/Omnivore | 2 | LC | Pycnonotus jocosus | Sedentary | Indo-Malay | Herbivore | 1 | LC |
| Milvus migrans | Migratory | Palearctic/Afro-tropic | Carnivore/Omnivore | 2 | LC | Sylviidae | |||||
| Haliaeetus vocifer | Sedentary | Afro-tropic | Carnivore | + | LC | Sylvia atricapilla | Partially migratory | Palearctic | Omnivore | 3 | LC |
| Gyps rueppellii | Sedentary | Afro-tropic | Scavenger | + | CR | Sylvia borin | Migratory | Palearctic | Omnivore | 2 | LC |
| Hieraaetus pennatus | Migratory | Palearctic | Carnivore | + | LC | Sylvia communis | Migratory | Palearctic | Omnivore | 2 | LC |
| Sagittariidae | Cisticolidae | ||||||||||
| Sagittarius serpentarius | Partially migratory | Afro-tropic | Carnivore | + | EN | Cisticola chiniana | Sedentary | Afro-tropic | Carnivore | 2 | LC |
| Falconidae | Muscicapidae | ||||||||||
| Falco biarmicus | Partially migratory | Afro-tropic | Carnivore | + | LC | Melaenornis edolioides | Sedentary | Afro-tropic | Carnivore | 1 | LC |
| Numididae | Muscicapa striata | Migratory | Palearctic | Carnivore | 3 | LC | |||||
| Numida meleagris | Sedentary | Afro-tropic | Herbivore | 2 | LC | Terpsiphone viridis | Sedentary | Afro-tropic | Generalist | 1 | LC |
| Rallidae | Myopornis boehmi | Sedentary | Afro-tropic | Carnivore | + | LC | |||||
| Amaurornis flavirostra | Sedentary | Afro-tropic | Carnivore | 2 | LC | Nectariniidae | |||||
| Jacanidae | Cinnyris pulchellus | Sedentary | Afro-tropic | Herbivore | 1 | LC | |||||
| Actophilornis africanus | Partially migratory | Afrotropic | Carnivore | 2 | LC | Malaconotidae | |||||
| Microparra capensis | Migratory | Palearctic | Carnivore | 2 | LC | Laniarius erythrogaster | Sedentary | Afro-tropic | Herbivore | 2 | LC |
| Charadriidae | Corvidae | ||||||||||
| Charadrius dubius | Migratory | Palearctic | Carnivore | 2 | LC | Corvus albus | Partially migratory | Afro-tropic | Carnivore | 2 | LC |
| Vanellus spinosus | Sedentary | Afro-tropic | Carnivore | 2 | LC | Sturnidae | |||||
| Sternidae | Lamprotornis purpureus | Partially migratory | Afro-tropic | Herbivore | 2 | LC | |||||
| Sterna nilotica | Migratory | Cosmopolitan (excl. Australasia) | Carnivore | 1 | LC | Ploceidae | |||||
| Columbidae | Bubalornis albirostris | Sedentary | Afro-tropic | Omnivore | 1 | LC | |||||
| Treron calvus | Partially migratory | Afro-tropic | Herbivore | 1 | LC | Ploceus cucullatus | Sedentary | Indo-Malay | Carnivore | 2 | LC |
| Oena capensis | Partially migratory | Afro-tropic | Herbivore | 2 | LC | Ploceus jacksoni | Sedentary | Indo-Malay | Carnivore | 2 | LC |
| Streptopelia capicola | Sedentary | Afro-tropic | Granivore | 3 | LC | Euplectes hordeaceus | Sedentary | Afro-tropic | Herbivore | 2 | LC |
| Cuculidae | Estrildidae | ||||||||||
| Clamator jacobinus | Migratory | Afro-tropic | Carnivore | 1 | LC | Uraeginthus bengalus | Sedentary | Afro-tropic | Granivore | + | LC |
References
- Bruner, A.G.; Gullison, R.E.; Rice, R.E.; Da Fonseca, G.A. Effectiveness of parks in protecting tropical biodiversity. Science 2001, 291, 125–128. [Google Scholar] [CrossRef] [PubMed] [Green Version]
- Noss, R.F. Indicators for monitoring biodiversity: A hierarchical approach. Conserv. Biol. 1990, 4, 355–364. [Google Scholar] [CrossRef]
- Hockings, M.; Stolton, S.; Dudley, N. Evaluating Effectiveness. A Framework for Assessing the Management of Protected Areas; Reihe–World Commission on Protected Areas (WCPA)–Best Practice Protected Area Guidelines Series; IUCN: Gland, Switzerland, 2000. [Google Scholar]
- Magurran, A.E.; McGill, B.J. (Eds.) Biological Diversity: Frontiers in Measurement and Assessment; OUP Oxford: Oxford, UK, 2010. [Google Scholar]
- Chape, S.; Harrison, J.; Spalding, M.; Lysenko, I. Measuring the extent and effectiveness of protected areas as an indicator for meeting global biodiversity targets. Philos. Trans. Royal Soc. B Biol. Sci. 2005, 360, 443–455. [Google Scholar] [CrossRef] [PubMed] [Green Version]
- Leverington, F.; Costa, K.L.; Pavese, H.; Lisle, A.; Hockings, M. A global analysis of protected area management effectiveness. Environ. Manag. 2010, 46, 685–698. [Google Scholar] [CrossRef] [PubMed]
- Parrish, J.D.; Braun, D.P.; Unnasch, R.S. Are we conserving what we say we are? Measuring ecological integrity within protected areas. BioScience 2003, 53, 851–860. [Google Scholar] [CrossRef] [Green Version]
- Demaya, S.G.; Luiselli, L.; Di Vittorio, M.; Dendi, D.; Lado, F.T. Bird community structure across habitats in a protected area of South Sudan. Afr. J. Ecol. 2019, 1, 1–5. [Google Scholar] [CrossRef]
- Hanson, T. Biodiversity conservation and armed conflict: A warfare ecology perspective. Ann. N. Y. Acad. Sci. 2018, 1429, 50–65. [Google Scholar] [CrossRef] [PubMed]
- Siddig, A.A. Biodiversity of Sudan: Between the harsh conditions, political instability and civil wars. Biodiv. J. 2014, 5, 545–555. [Google Scholar]
- Malavasi, R.; Battisti, C.; Carpaneto, G.M. Seasonal changes in bird assemblages of a remnant wetland in a Mediterranean landscape: Implications for management. Ornis Hung 2008, 17, 25–33. [Google Scholar]
- Tozer, D.C.; Nol, E.; Abraham, K.F. Effects of local and landscape-scale habitat variables on abundance and reproductive success of wetland birds. Wetl. Ecol. Manag. 2010, 18, 679–693. [Google Scholar] [CrossRef]
- Kingsford, R.T. Aerial survey of waterbirds on wetlands as a measure of river and floodplain health. Freshw. Biol. 1999, 41, 425–438. [Google Scholar] [CrossRef]
- Mitch, W.J.; Gosselink, J.G. Wetlands, 3rd ed.; John Wiley and Sons, Inc.: New York, NY, USA, 2000. [Google Scholar]
- Final Draft 6th National Report to the Convention on Biological Diversity. South Susan Sixth National Report to the Convention on Biological Diversity. 2019. Available online: https://nema.go.ug/sites/all/themes/nema/docs/Uganda-Latest%20-%20Sixth%20National%20Report%20%20July%202019.pdf (accessed on 2 February 2022).
- Morjan, M.; Ojok, L.; Maker, J. A Pilot Survey of Nimule National Pak of New Suzzdan. Report New Sudan Wildlife Society. 2002. Available online: https://www.sudanarchive.net/?a=d&d=UNEP20001100-01.1.32&e=-------en-20--1--txt-txIN%7ctxTI%7ctxAU----------- (accessed on 5 March 2022).
- Burnham, K.P.; Anderson, D.R.; Laake, J.L. Estimation of density from line transect sampling of biological populations. Wildl. Monogr. 1980, 72, 3–202. [Google Scholar]
- Van Perlo, B. Collins Illustrated Checklist: Birds of Western & Central Africa; HarperCollins: London, UK, 2002. [Google Scholar]
- Magurran, A. Ecological Diversity and Its Measurement; Princeton University Press: Princeton, NJ, USA, 1988. [Google Scholar]
- Dytham, C. Choosing and Using Statistics: A Biologist’s Guide; John Wiley & Sons: Hoboken, NJ, USA, 2011. [Google Scholar]
- Krebs, C.J. Ecological Methodology; Harper & Row: New York, NY, USA, 1989. [Google Scholar]
- Tóthmérész, B. Comparison of different methods for diversity ordering. J. Veg. Sci. 1995, 6, 283–290. [Google Scholar] [CrossRef]
- Hammer, Ø.; Harper, D.A.T.; Ryan, P.D. PAST-Palaeontological statistics. Palaeont. Electrion 2001, 4, 1–9. [Google Scholar]
- Wiens, J.A. The Ecology of Bird Communities; Cambridge University Press: Cambridge, UK, 1992; Volume 1. [Google Scholar]
- Mohammed, J. Challenges in Implementing Biodiversity Policy in Sub-Saharan Africa Region. Am. J. Biol. Environ. Stat. 2020, 6, 24–30. [Google Scholar] [CrossRef]
- Battisti, C.; Fanelli, G.; Marini, F.; Amori, G.; Luiselli, L. Assessing the nature reserve management effort using an expert-based threat analysis approach. Diversity 2020, 12, 145. [Google Scholar] [CrossRef] [Green Version]
Publisher’s Note: MDPI stays neutral with regard to jurisdictional claims in published maps and institutional affiliations. |
© 2022 by the authors. Licensee MDPI, Basel, Switzerland. This article is an open access article distributed under the terms and conditions of the Creative Commons Attribution (CC BY) license (https://creativecommons.org/licenses/by/4.0/).



