Underwater Photographic Survey of Coastal Fish Community of Terra Nova Bay, Ross Sea
Abstract
:1. Introduction
2. Materials and Methods
3. Results
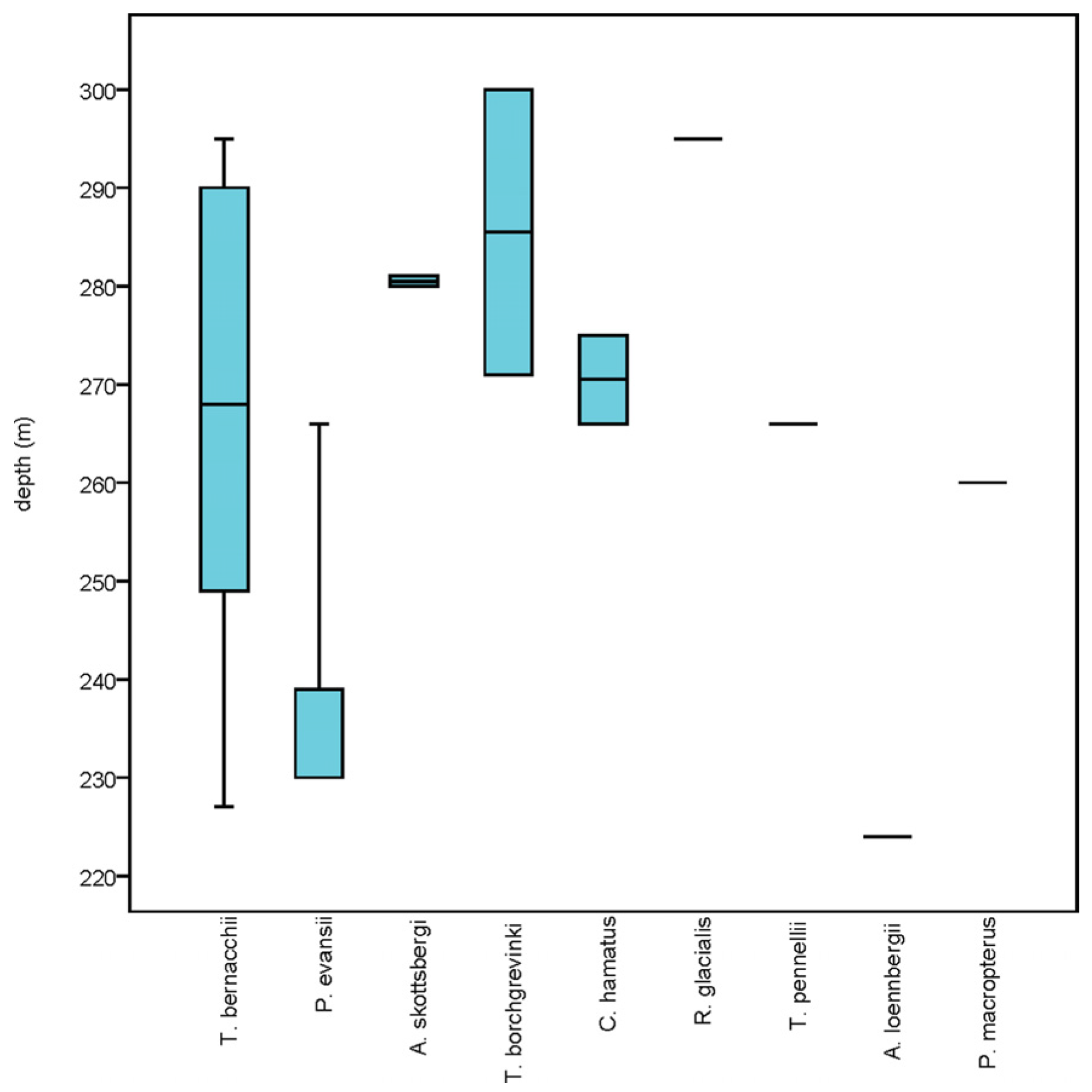
3.1. Terra Nova Bay “Canyon”
3.2. Adélie Cove
3.3. Fish Biodiversity
4. Discussion
Author Contributions
Funding
Institutional Review Board Statement
Informed Consent Statement
Data Availability Statement
Acknowledgments
Conflicts of Interest
References
- La Mesa, M.; Eastman, J.T.; Vacchi, M. The role of notothenioid fish in the food web of the Ross Sea shelf waters: A review. Polar Biol. 2004, 27, 321–338. [Google Scholar] [CrossRef]
- Eastman, J.T. Antarctic Fish Biology: Evolution in an Unique Environment; Academic Press: San Diego, CA, USA, 1993. [Google Scholar]
- Klingenberg, C.P.; Ekau, W. A combined morphometric and phylogenetic analysis of an ecomorphological trend: Pelagization in Antarctic fishes (Perciformes: Nototheniidae). Biol. J. Linn. Soc. 1996, 59, 143–177. [Google Scholar] [CrossRef]
- Eastman, J.T. The nature of the diversity of Antarctic fishes. Polar Biol. 2005, 28, 93–107. [Google Scholar] [CrossRef]
- DeVries, A.L. The role of antifreeze glycopeptides and peptides in the freezing avoidance of Antarctic fishes. Comp. Biochem. Physiol. B 1988, 90, 611–621. [Google Scholar] [CrossRef]
- Wöhrmann, A.P.A. Freezing resistance in Antarctic fish. In Antarctic Communities: Species, Structure and Survival; Battaglia, B., Valencia, J., Walton, D.W.H., Eds.; Cambridge University Press: Cambridge, UK, 1997; pp. 209–216. [Google Scholar]
- Eastman, J.T.; Hubold, G. The fish fauna of the Ross Sea, Antarctica. Antarct. Sci. 1999, 11, 293–304. [Google Scholar] [CrossRef]
- Clark, M.R.; Dunn, M.R.; McMillan, P.J.; Pinkerton, M.H.; Stewart, A.; Hanchet, S.M. Latitudinal variation of demersal fish assemblages in the western Ross Sea. Antarct. Sci. 2010, 22, 782–792. [Google Scholar] [CrossRef]
- Donnelly, J.; Torres, J.J.; Sutton, T.T.; Simoniello, C. Fishes of the eastern Ross Sea, Antarctica. Polar Biol. 2004, 27, 637–650. [Google Scholar] [CrossRef]
- Vacchi, M.; Greco, S.; La Mesa, M. Ichthyological survey by fixed gears in Terra Nova Bay (Antarctica). Fish list and first results. Mem. Biol. Mar. Oceanogr. 1991, 19, 197–202. [Google Scholar]
- Vacchi, M.; La Mesa, M.; Tarulli, E. Investigation by fixed gears on ichthyofauna of Terra Nova Bay (Ross Sea, Antarctica). In Atti del 9° Congresso dell’Associazione Italiana di Oceanologia e Limnologia, Santa Margerita Ligure, Italy, 20–23 November 1990; Albertelli, G., Ambrosetti, W., Picazzo, M., Ruffoni Riva, T., Eds.; Lang: Genova, Italy, 1990; pp. 659–664. [Google Scholar]
- Vacchi, M.; La Mesa, M.; Greco, S. The Coastal Fish Fauna of Terra Nova Bay, Ross Sea, Antarctica. In Ross Sea Ecology: Italian Antarctic Expeditions (1987–1995); Faranda, F.M., Guglielmo, L., Ianora, A., Eds.; Springer: Berlin/Heidelberg, Germany, 2000; pp. 457–468. [Google Scholar]
- La Mesa, M.; Cattaneo-Vietti, R.; Vacchi, M. Species composition and distribution of the Antarctic plunderfishes (Pisces, Artedidraconidae) from the Ross Sea off Victoria Land. Deep Sea Res. II 2006, 53, 1061–1070. [Google Scholar] [CrossRef]
- Brooks, C.; Chown, S.L.; Douglass, L.L.; Raymond, B.P.; Shaw, J.D.; Sylvester, Z.T.; Torrens, C.L. Progress towards a representative network of Southern Ocean protected areas. PLoS ONE 2020, 15, e0231361. [Google Scholar] [CrossRef] [Green Version]
- CCAMLR Conservation Measure 91-05: Ross Sea Region Marine Protected Area. 2016. Available online: https://www.ccamlr.org/en/measure-91-05-2016 (accessed on 20 February 2022).
- Castellan, G.; Angeletti, L.; Canese, S.; Mazzoli, C.; Montagna, P.; Schiaparelli, S.; Taviani, M. Visual imaging of benthic carbonate-mixed factories in the Ross Sea Region Marine Protected Area, Antarctica. Minerals 2021, 11, 833. [Google Scholar] [CrossRef]
- Fischer, W.; Hureau, J.C. FAO Species Identification Sheet for Fishery Purposes. Southern Ocean (Fishing Areas 48, 58 and 88) (CCAMLR Convention Area); FAO: Rome, Italy, 1985. [Google Scholar]
- Gon, O.; Heemstra, P.C. Fishes of the Southern Ocean; JLB Smith Institute of Ichthyology: Grahamstown, South Africa, 1990. [Google Scholar]
- Clark, G.F.; Raymond, B.; Riddle, M.J.; Stark, J.S.; Johnston, M.L. Vulnerability of Antarctic shallow invertebrate-dominated ecosystems. Austral Ecol. 2015, 40, 482–491. [Google Scholar] [CrossRef]
- Brenner, M.; Buck, B.H.; Cordes, S.; Dietrich, L.; Jacob, U.; Mintenbeck, K.; Schröder, A.; Brey, T.; Knust, R. The role of iceberg scours in niche separation within the Antarctic fish genus Trematomus. Polar Biol. 2001, 24, 502–507. [Google Scholar]
- Williams, R. The inshore marine fishes of the Vestfold Hills region, Antarctica. Hydrobiologia 1988, 165, 161–167. [Google Scholar] [CrossRef]
- Eastman, J.T.; De Vries, A.L. Buoyancy studies of notothenioid fishes in McMurdo Sound, Antarctica. Copeia 1982, 1982, 385–393. [Google Scholar] [CrossRef]
- Hureau, J.C. Poissons antarctiques récoltés au cours de la onzième expédition française en Terre Adélie (1960–1962). Bull. Mus. Hist. Nat. Paris 1962, 34, 228–238. [Google Scholar]
- Naito, Y.; Iwami, T. Fish fauna in the northeastern parts of Lutzow-Holm Bay with some notes on the stomach contents. Mem. Natn. Inst. Polar Res. Tokyo Spec. Issue 1982, 23, 64–72. [Google Scholar]
- Casaux, R.; Barrera-Oro, E.; Baroni, A.; Ramon, A. Ecology of inshore notothenioid fish from the Danco Coast, Antarctic Peninsula. Polar Biol. 2003, 26, 157–165. [Google Scholar] [CrossRef]
- Daniels, R.A.; Lipps, J.H. Distribution and ecology of fishes of the Antarctic Peninsula. J. Biogeogr. 1982, 9, 1–9. [Google Scholar] [CrossRef]
- Ekau, W.; Gutt, J. Notothenioid fishes from the Weddell Sea and their habitat, observed by underwater photography and television. Proc. NIPR Symp. Polar. Biol. 1991, 4, 36–49. [Google Scholar]
- Gutt, J.; Ekau, W. Habitat partitioning of dominant high Antarctic demersal fish in the Weddell Sea and Lazarev Sea. J. Exp. Mar. Biol. Ecol. 1996, 206, 25–37. [Google Scholar] [CrossRef]
- Gutt, J.; Ekau, W.; Gorny, M. New results on the fish and shrimp fauna of the Weddell Sea and Lazarev Sea (Antarctic). Proc. NIPR Symp. Polar Biol. 1994, 7, 91–102. [Google Scholar]
- Vannini, G.; Bottaro, M.; Bono, R.; Modena, M.; Vacchi, M. First observations on the coastal fish assemblage at Terra Nova Bay (Ross Sea, Antarctica), during the austral springtime. Biol. Mar. Mediterr. 2009, 16, 372–373. [Google Scholar]
- Eastman, J.T. Bathymetric distributions of notothenioid fishes. Polar Biol. 2017, 40, 2077–2095. [Google Scholar] [CrossRef]
- Ferrando, S.; Castellano, L.; Gallus, L.; Ghigliotti, L.; Masini, M.A.; Pisano, E.; Vacchi, M. A demonstration of nesting in two Antarctic icefish (genus Chionodraco) using a fin dimorphism analysis and ex situ videos. PLoS ONE 2014, 9, e90512. [Google Scholar] [CrossRef] [PubMed] [Green Version]
- Moreno, C.A. Observations on food and reproduction in Trematomus bernacchii (Pisces: Nototheniidae) from the Palmer Archipelago, Antarctica. Copeia 1980, 1980, 171–173. [Google Scholar] [CrossRef]
- La Mesa, M.; Piepenburg, D.; Pineda-Metz, S.; Riginella, E.; Eastman, J.T. Spatial distribution and habitat preferences of demersal fish assemblages in the southeastern Weddell Sea (Southern Ocean). Polar Biol. 2019, 42, 1025–1040. [Google Scholar] [CrossRef] [Green Version]





| Transect | Date | Latitude (S) | Longitude (E) | Duration h.mm | Length (m) | Depth (m) |
|---|---|---|---|---|---|---|
| TNB “Canyon” | 1 February 2014 | 74°41.319′ S | 164°08.549′ E | 3.15 | 2372 | 220–300 |
| Adélie Cove | 3 February 2014 | 74°46.399′ S | 164°01.405′ E | 2.52 | 1954 | 20–120 |
| Taxa | Terra Nova Bay “Canyon” | Adélie Cove |
|---|---|---|
| Nototheniidae | ||
| Trematomus bernacchii Boulenger, 1902 | 15 | 15 |
| Trematomus borchgrevinki (Boulenger, 1902) | 2 | |
| Trematomus nicolai (Boulenger, 1902) | 1 | |
| Trematomus pennellii Regan, 1914 | 1 | 11 |
| Artedidraconidae | ||
| Artedidraco loennbergi Roule, 1913 | 1 | |
| Artedidraco skottsbergi Lönnberg, 1905 | 2 | 11 |
| Histiodraco velifer (Regan, 1914) | 1 | |
| Bathydraconidae | ||
| Prionodraco evansii Regan, 1914 | 6 | 35 |
| Racovitzia glacialis Dollo, 1900 | 1 | |
| Channichthyidae | ||
| Chionodraco hamatus (Lönnberg, 1905) | 2 | 8 |
| Cryodraco atkinsoni Regan, 1914 | 1 | |
| Pagetopsis macropterus (Boulenger, 1907) | 1 | 2 |
| Species Richness (d) | 2.33 | 1.80 |
| Evenness (J′) | 0.75 | 0.76 |
| Diversity (H′) | 1.64 | 1.67 |
Publisher’s Note: MDPI stays neutral with regard to jurisdictional claims in published maps and institutional affiliations. |
© 2022 by the authors. Licensee MDPI, Basel, Switzerland. This article is an open access article distributed under the terms and conditions of the Creative Commons Attribution (CC BY) license (https://creativecommons.org/licenses/by/4.0/).
Share and Cite
La Mesa, M.; Canese, S.; Montagna, P.; Schiaparelli, S. Underwater Photographic Survey of Coastal Fish Community of Terra Nova Bay, Ross Sea. Diversity 2022, 14, 315. https://doi.org/10.3390/d14050315
La Mesa M, Canese S, Montagna P, Schiaparelli S. Underwater Photographic Survey of Coastal Fish Community of Terra Nova Bay, Ross Sea. Diversity. 2022; 14(5):315. https://doi.org/10.3390/d14050315
Chicago/Turabian StyleLa Mesa, Mario, Simonepietro Canese, Paolo Montagna, and Stefano Schiaparelli. 2022. "Underwater Photographic Survey of Coastal Fish Community of Terra Nova Bay, Ross Sea" Diversity 14, no. 5: 315. https://doi.org/10.3390/d14050315
APA StyleLa Mesa, M., Canese, S., Montagna, P., & Schiaparelli, S. (2022). Underwater Photographic Survey of Coastal Fish Community of Terra Nova Bay, Ross Sea. Diversity, 14(5), 315. https://doi.org/10.3390/d14050315
