Abstract
Global change is manifesting new and potent pressures that may determine the relative influence of top-down and bottom-up forces on the productivity of plants that undergird coastal ecosystems. Here, I present a meta-analysis conducted to assess how herbivory, nitrogen enrichment, and elevated salinity influence plant productivity according to the salinity regimes of coastal ecosystems. An examination of 99 studies representing 288 effect sizes across 76 different plant species revealed that elevated salinity negatively affected productivity across all environments, but particularly in freshwater ecosystems. Nitrogen enrichment, on the other hand, positively affected productivity. In agreement with the plant stress hypothesis, herbivory had the greatest negative impact in saline habitats. This trend, however, appears to reverse with nitrogen enrichment, with maximum losses to herbivory occurring in brackish habitats. These findings demonstrate that multiple stressors can yield complex, and sometimes opposite outcomes to those arising from individual stressors. This study also suggests that trophic interactions will likely shift as coastal ecosystems continue to experience nutrient enrichment and sea level rise.
1. Introduction
Concern is rising that global change is subjecting coastal ecosystems to potent new pressures that could lead to wholesale transformation or loss. The corollaries of climate change (e.g., increasing temperature and sea level rise), alongside other anthropogenic pressures (e.g., nutrient enrichment), are expected to manifest complex responses as species cope through physiological acclimation [1,2,3], rapid evolution [4], distributional change [5,6], or some combination thereof [7,8]. Responses of ecologically dominant (i.e., foundational) plants can potentially alter the vital processes (e.g., productivity, accretion, erosion) that undergird ecosystem stability [7,9]. Studies of brackish marshes in Chesapeake Bay along the mid-Atlantic coast of the United States have shown, for instance, that surface elevation is tightly linked to soil organic matter accumulation, which is a function of Schoenoplectus americanus productivity [10,11,12], which in turn is governed by prevailing salinity, inundation, CO2, and nitrogen regimes [13,14,15,16]. Work on brackish marshes has also begun to shed light on outcomes of concurrent exposure to multiple stressors. For example, elevated CO2 can moderate salinity stress in S. americanus [13,14], while nitrogen addition can confer a competitive advantage under greater flooding stress [15,16]. These findings point to the possibility that some pressures ameliorate rather than accelerate the undesirable outcomes (e.g., drowning) of other pressures by imparting greater tolerance in foundational plants like S. americanus [16]. Accordingly, the nature of exposure responses merits further investigation to better understand and forecast the fate of coastal ecosystems as global change continues to unfold.
Biomass-based measures of plant productivity often serve as proxies for gauging the influence of global change on coastal ecosystems. Plant productivity is determined by a complex interplay between top-down and bottom-up forces [17,18]. Top-down forces correspond to pressures exerted by consumers, whereas bottom-up forces generally reflect environmental factors that determine the availability of resources [17,18]. While it is well understood that both consumers (i.e., herbivores and predators) and resources (i.e., nutrients, light, water) play an important role in regulating plant growth (and that respective roles can be context-dependent), it is unclear how the relative influence of each varies as prevailing environmental conditions change [19,20,21]. Top-down and bottom-up forces rarely act in isolation, and changes in the strength of one force can feed back to influence the other. Increases in limiting resources such as nitrogen can, for example, dramatically change plant productivity and palatability, with cascading effects on higher trophic levels [22,23,24]. The nature of trophic interactions may change, however, as shifts in environmental conditions differentially affect plant quality and performance by mitigating resource availability [25,26].
Long-standing observations that coastal ecosystems are exposed to intense physical stress [27,28,29] have sustained the assumption that plant productivity is predominantly regulated by bottom-up forces [30]. Coastal ecosystems are characterized by strong gradients of local environmental stress that often manifest patterns of abrupt zonation in plant communities [28,31]. Plants occurring at lower shoreward elevations are typically exposed to harsher physical conditions of more frequent inundation, higher soil salinity, and lower soil oxygen availability [5,32,33] that can increase vulnerability to disturbance and potential interactions between disturbance and physical stress [34,35,36]. An increasing number of studies have demonstrated, however, that consumer pressures can exert strong effects on plant biomass [23,35,37,38,39]. While the impact of herbivores and abiotic effects on the productivity of coastal plants has been extensively examined, results from this work have not been synthesized with consideration given to environmental gradients [40]. Consequently, it is unclear whether variation in environmental stress determines the relative strength of top-down and bottom-up forces in coastal ecosystems, including whether the balance of responses to global change varies across underlying environmental gradients.
There are opposing views on how environmental stress influences the relative strength of top-down and bottom-up forces. The environmental stress hypothesis of Menge and Sutherland [41,42] proposes that the strength of biotic interactions weakens under conditions of physical stress. In contrast, the plant stress hypothesis [43,44,45] posits that biotic interactions strengthen when plants are physically stressed. Support has been found for each hypothesis, suggesting that environmental stress may not categorically strengthen or weaken trophic interactions [46,47,48,49,50,51]. Evaluating both hypotheses in light of this possibility could substantively improve understanding of top-down and bottom-up regulation of plant productivity in coastal ecosystems. A synthesis of prior studies could, for example, offer valuable perspectives by placing ostensibly contrary findings into a broader context.
A meta-analysis would be particularly valuable for assessing whether the intensity of herbivory increases when coastal plants experience greater abiotic stress [27,38,40,52,53,54,55]. A review of prior work reveals a range of perspectives on this possibility. It has been found, for example, that salinity stress can act synergistically with snail grazing to reduce the biomass of Spartina alterniflora [38]. Plants under stress can have more free unbound nitrogen [56] and can mobilize nitrogen for the production of organic solutes that serve an osmoregulatory function [57]. These observations challenge the view that stressed plants represent poor quality hosts to herbivores compared to more vigorous plants that may be nutritionally superior [56]. Leaves of Spartina alterniflora from low-stress habitats have, however, been found to exhibit higher nitrogen levels and lower phenols than those in high-stress habitats [58] resulting in higher levels of herbivory by grazing snails [59]. Accordingly, comparative analysis of these and other findings could clarify how salinity stress influences plant quality to herbivores.
A meta-analysis of prior work could likewise clarify how the interplay between top-down and bottom-up forces is influenced by pressures arising from global change. It is unclear, for instance, how nutrient enrichment influences plant productivity across salinity regimes, including shifts in salinity related to sea level rise [60]. Salinity can inhibit nitrogen uptake, and thus the influence of nutrient enrichment on plant productivity might be more limited under higher salinity conditions [61]. Alternatively, it is possible that nutrient enrichment exerts less influence on productivity under comparably lower salinity conditions due to greater resource demands [26,62]. Rising sea levels and increasing salinity might also affect productivity more strongly in freshwater and brackish habitats than in higher salinity habitats where plants generally exhibit greater salinity tolerance [28,63]. The reverse is also possible because greater salinity stress could exacerbate the susceptibility to herbivory exhibited by plants in higher salinity habitats like salt marshes [38,40,53].
Here I present a meta-analysis conducted to examine patterns of trophic interactions and productivity in coastal ecosystems according to natural gradients of environmental stress and anthropogenic pressures, including climate change. The meta-analysis has been structured to test the hypothesis that plant responses to abiotic (salinity and nitrogen) and biotic (herbivory) stressors differ between saline, brackish, and freshwater habitats. The aim was to assess whether plants in saline conditions are (1) less affected by elevated salinity, (2) more negatively impacted by herbivory, and (3) exhibit the weakest response to nitrogen enrichment relative to plants in brackish and freshwater habitats. Because plants in saline conditions may exhibit greater susceptibility to herbivory but may not respond to nitrogen enrichment, consideration was given to the possibility that nitrogen enrichment results in greater herbivory in freshwater and brackish habitats versus saline habitats. As the proportion of C3 and C4 plants varies across salinity gradients, where the dominance of C4 plants generally declines from higher to lower salinity habitats [33], consideration also was given to the possibility that photosynthetic pathway (i.e., physiology) is a contributing factor in biomass responses to herbivory, elevated nitrogen, and elevated salinity.
2. Materials and Methods
Data were collected from articles published in peer-reviewed journals since 1981. Articles were iteratively identified and reviewed using the Clarivate Analytics Web of Science search engine with the following search terms: marsh + herbivor*, coastal wetlands + herbivor*, Spartina + herbivor*, marsh + nutrients, marsh + salinity, coastal wetlands + nutrients + herbivor*, coastal wetlands + salinity + herbivor*. We included Spartina as one of the key words as this genus of plants often dominates coastal ecosystems [31,64]. The search delivered 99 papers and a total of 288 effect sizes across 76 different plant species, with subsets of papers yielding different datasets for hypothesis testing. The inclusion of studies was based on the criteria that the authors (1) measured some parameter of plant performance when (2a) conducting one (or more) animal exclusion experiment(s) while also manipulating salinity or some form of nitrogen (e.g., fertilizer); or when (2b) conducting one or more experiment(s) along a salinity or nutrient gradient. Only studies of higher plants were considered. Both greenhouse and field-based experiments were considered. Entire articles (i.e., text, figures, tables) were scanned for data on measures of herbivory and plant productivity as response variables. All but three studies examined measures of biomass; seed production was examined in two studies, and fruit production was examined in one study.
Data on means, standard errors, and sample sizes were used when reported in the text, figures or tables in each article. Following Massad and Dyer [65], data from three or fewer experiments were randomly selected for analysis when multiple experiments were conducted within the same study (e.g., when examining the independent effects of elevated salinity and nitrogen on different species). All data on the responses of different plant species within a single experiment were considered for analysis. Although the inclusion of multiple species from the same study might not be regarded as independent, their omission might also lead to biased results due to reduced sample size [49,66].
Controls were assigned as unfertilized, no or low salinity, or with herbivore exclusion cages. Treatments were assigned as herbivore exposure, salinity, and/or nitrogen addition. When studies reported data from along a natural environmental gradient or from seasonal analyses, only the lowest and highest mean values were selected, with the lowest mean value designated as the control and the highest mean value designated as the treatment. When multiple sampling dates were used, those exhibiting the greatest difference between the treatment and control were selected [49].
Each plant species’ habitat type was categorized as freshwater, brackish, or saline. Elevation was not a suitable classification variable since it does not necessarily correspond to salinity or inundation regime. For example, freshwater sites can occur at low or high elevation, and saltpans generally occur at higher elevations [67]. Many plant species also occupy the same habitats (characterized by salinity regime) at different elevations in different locations. Moreover, many studies did not specify the elevation of the plants that were being examined, whereas salinity conditions were consistently identified. Information on salinity conditions was also provided in all greenhouse studies as plant material was originally obtained from the field. In the few studies where this information was not specified, information was obtained from other studies carried out at the same locations. Studies were excluded when this information was not available for a given species and location. Information on whether plants utilize the C3 or C4 photosynthetic pathway was obtained from the Illinois Plant Information Network [68]. Information on the studies used for each analysis is presented in Table S1.
Mixed model analyses were used for hypothesis testing. In contrast to a fixed effects model, a mixed model assumes that studies within a class (i.e., independent variable) share a common mean effect but also exhibit random and sampling variation [69]. For each individual comparison (i.e., experiment) the standardized mean differences (effect size, hedges g) were calculated using the program Comprehensive Meta-Analysis by Biostat [70]. Effect sizes were calculated as the difference between the control and treatment means, divided by their pooled standard deviation, and corrected for sample size [49,69]. The standardized effect sizes and variance were used to determine between-class homogeneity, QB, for testing against a chi-squared distribution to determine whether the classes were significantly different. Significant QB values indicate a meaningful difference between the classes [48]. Effect sizes were combined across the studies to give a grand mean effect size [49]. The grand mean effect size represents the magnitude of the impact of the independent variable on the dependent variable. In this study, a negative effect size represents a decrease in plant productivity in response to herbivory or salinity, and a positive effect size indicated an increase in plant productivity in response to nitrogen addition. The effects of each stress on plant productivity or herbivory were considered significant if the 95% confidence intervals did not overlap zero [32,49].
To assess the potential for publication bias, funnel plots were constructed and fail-safe numbers were calculated using the program Comprehensive Meta-Analysis by Biostat [65,70]. A funnel plot portrays a measure of study size (e.g., standard error or precision) on the vertical axis as a function of the effect size on the horizontal axis. Large studies appear toward the top of the graph and tend to cluster near the mean effect size, whereas smaller studies appear toward the bottom of the graph, dispersed across a range of values because more sampling variation in effect size estimates is expected in smaller studies. Studies should be distributed symmetrically around the mean effect size in the absence of publication bias [70]. On the other hand, a higher concentration of studies should occur on one side of the mean than the other at the bottom of the plot in the presence of bias [70]. This can correspond to a scenario where smaller studies have larger than average effect sizes, which generally increases the likelihood of meeting criteria for statistical significance. Fail-safe numbers are defined as the number of missing studies that would be required to nullify an observed effect [70]. There would be cause for concern if a fail-safe number was relatively small, whereas a large fail-safe number should elicit little concern, although there remains some possibility that the exclusion of some studies might still have influenced an estimated treatment effect [70].
3. Results
In total, 34 studies (freshwater (F), n = 7; brackish (B), n = 10; saline (S), n = 17) were considered to examine the effects of herbivory on productivity, yielding 74 effect sizes (F, n = 17; B, n = 27; S, n = 30), and 59 effect sizes for herbivore classes (invertebrates, n = 18; vertebrates, n = 41). A total of 50 studies were considered to examine the effects of elevated salinity on biomass (F, n = 7; B, n = 24; S, n = 19) with 76 effect sizes (F, n = 9; B, n = 40; S, n = 27), and 35 studies were considered to examine the effects of nutrient enrichment on productivity (B, n = 14; S, n = 21) with 61 effect sizes (B, n = 27; S, n = 34). Freshwater was not included in this analysis due to small sample size. Of the studies examined, nine assessed the effects of nutrient enrichment on herbivory (F, n = 0; B, n = 4; S, n = 5) with 28 effect sizes (B, n = 16; S, n = 12). Although the studies included for consideration were conducted in a range of ecosystems, 90% involved research on coastal marshes.
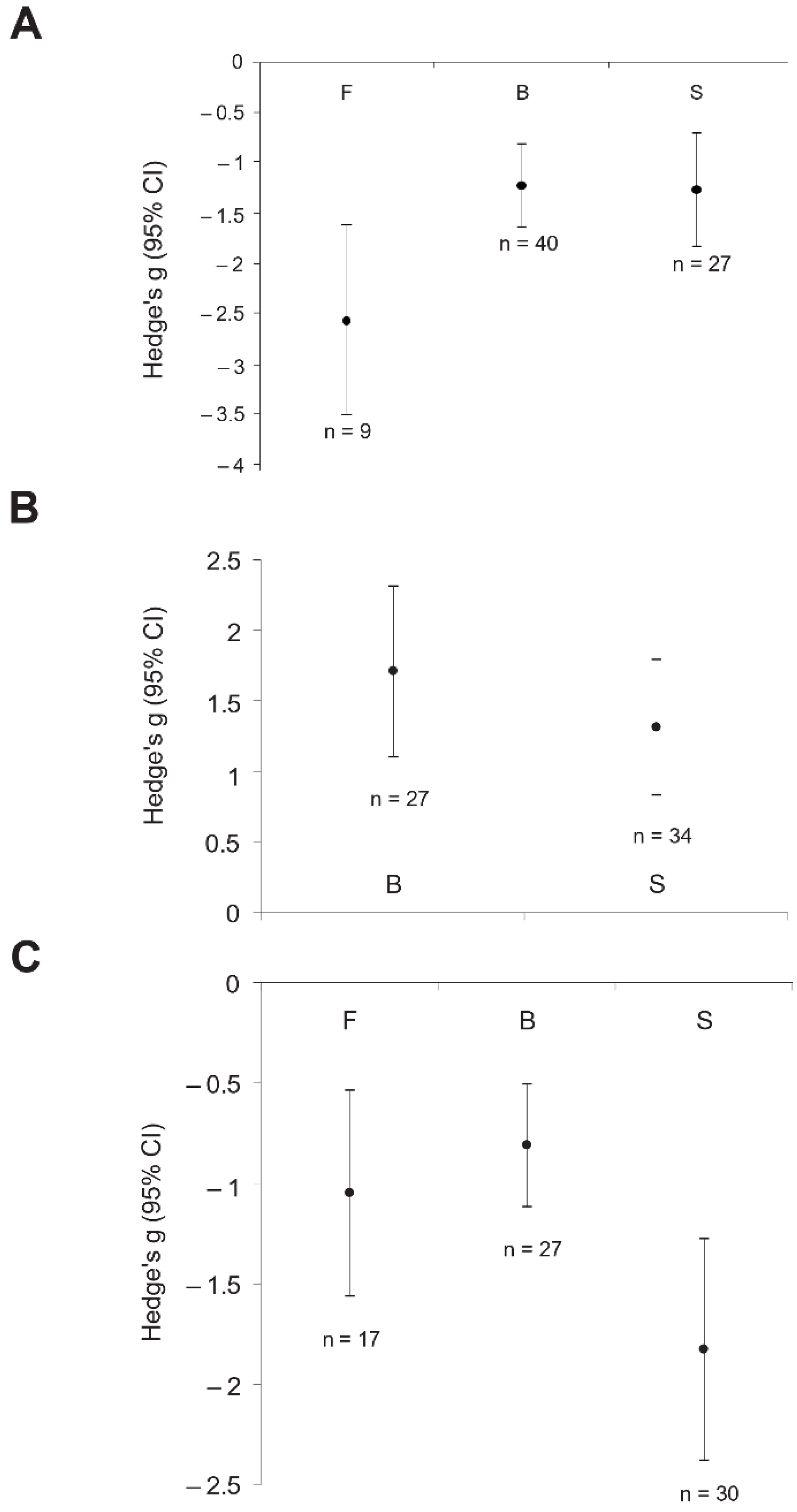
Elevated salinity negatively affected plant productivity (Figure 1). Out of 78 experiments, only eight detected a positive response to salinity, and only three found no effect. Comparisons by habitat revealed that freshwater plants experienced significantly lower productivity when exposed to salinity relative to plants from saline and brackish habitats (Qb = 6.761, df = 2, p < 0.034). There was no difference between brackish and saline habitats in the response of plant biomass to salinity (Qb = 0.015, df = 1, p < 0.901). This trend held for plants in marsh habitats even after trees were removed from the analysis (Qb = 0.037, df = 1, p < 0.848) and when marsh grasses were analyzed separately (Qb = 0.479, df = 1, p < 0.489). There was also no significant difference between the two ecologically dominant marsh grasses Spartina alterniflora and Spartina patens (Qb = 1.559, p < 0.212), monocots versus dicots (Qb = 1.193, df = 1, p < 0.275), or when experiments were conducted in greenhouses versus field plots (Qb = 0.241, df = 1, p < 0.623).
Figure 1.
Response of plant biomass to (A) salinity, (B) nitrogen addition, and (C) herbivory across coastal ecosystems. Error bars represent 95% confidence intervals. Sample sizes (n) represent the number of effect sizes. F = freshwater, B = brackish, and S = saline.
A large majority of the examined studies (54 of 65) found evidence of positive responses to nutrient enrichment (Figure 1). Only 10 studies found evidence of negative responses to nitrogen addition, and only one study found no effect. No difference was found in the effects of nitrogen addition on plant biomass between saline and brackish habitats (Qb = 1.001, df = 1, p < 0.317) or between monocots or dicots (Qb = 0.844, df = 2, p < 0.358). To reiterate, small sample sizes precluded comparisons between plants in freshwater habitats to plants in brackish and saline habitats.
Herbivory negatively affected plant productivity (Figure 1). Out of 85 experiments, only 12 detected positive responses to herbivory and only three found no effect. Also, plant productivity in saline habitats was more negatively affected by herbivory than in freshwater and brackish conditions (Qb = 9.867, df = 2, p < 0.007). Notably, most of the studies from freshwater and brackish habitats involved vertebrate herbivory (i.e., grazing by geese or rodents) whereas vertebrates and invertebrates were equally represented in saline habitats. All studies measured damage from natural herbivores except for one study [71], in which herbivory was simulated. The overall results did not change when this study was excluded from the analysis, even though this study detected the largest difference between treatment and control conditions. The impact of herbivores did not differ between monocots and dicots (Qb = 0.114, df = 1, p < 0.736). No difference in the impact of herbivory on plant productivity was observed between vertebrates and invertebrates (Figure 2) (Qb = 0.863, df = 1, p < 0.353). The same result was found when only brackish and saline habitats were compared (Qb = 1.143, df = 1, p < 0.285). Plants from brackish habitats were more negatively affected by herbivores (herbivory plus herbivore densities) following nitrogen addition than were plants from saline habitats (Figure 3) (Qb = 19.008, df = 1, p < 0.001).
Figure 2.
Effects of invertebrate (invert) and vertebrate (vert) herbivores on plant biomass. Error bars represent 95% confidence intervals. Sample sizes (n) represent the number of effect sizes.
Figure 3.
Effects of nitrogen addition on herbivory in brackish (B) and saline (S) marshes. Error bars represent 95% confidence intervals. Sample sizes (n) represent the number of effect sizes.
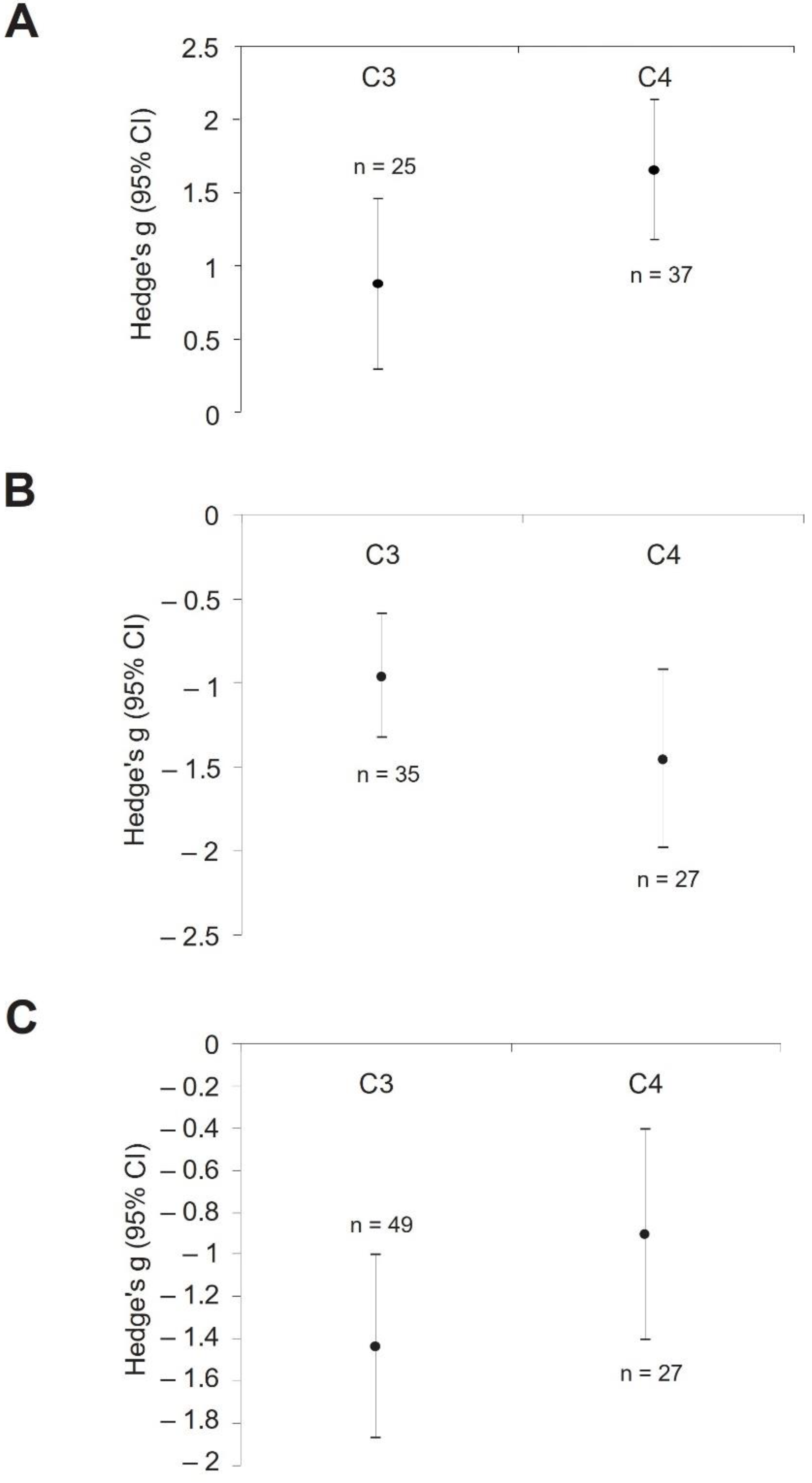
Examining whether the photosynthetic pathway utilized by plants influenced their response to different pressures revealed that C4 plants experienced a greater change in productivity following nitrogen addition compared to C3 plants (Qb = 4.60, df = 1, p < 0.032) (Figure 4). A significant difference was not found, however, in the biomass response of C3 and C4 plants to herbivory (Qb = 2.268, df = 1, p < 0.132) or elevated salinity (Qb = 2.484, df = 1, p < 0.115).
Figure 4.
Effects of nitrogen addition (A), herbivory (B), and salinity (C) on C3 versus C4 plants. Error bars represent 95% confidence intervals. Sample sizes (n) represent the number of effect sizes.
Funnel plots of study versus effect sizes (e.g., of salinity and herbivory; Figure S1) revealed that most studies were distributed around the peak of each plot and clustered near the mean effect size, suggesting that the results of analyses were driven by large studies [70]. The following fail-safe numbers were calculated for analyses examining effects on productivity: herbivory = 5568 (C3/C4 analysis: 3639); salinity = 7340 (C3/C4 analysis: 6916); and nitrogen addition = 4395 (C3/C4 analysis: 3567). This indicates, for example, that 99.6 ‘null’ studies would need to be located and included for every observed study for the estimated effect of salinity on productivity to be nullified. The analysis of invertebrate versus vertebrate herbivore effects on productivity had a fail-safe number of 3734 and the fail-safe number for the analysis of nitrogen addition effects on herbivory was 597.
4. Discussion
It is becoming increasingly apparent that global change is manifesting pressures capable of altering the functioning and fate of coastal ecosystems. It is expected that synergisms from factors like increasing atmospheric CO2 and sea-level rise will intensify threats (e.g., inundation and erosion) to coastal ecosystems by altering the production and distribution of ecologically dominant plant species. The effects of vegetation on marsh stability can be large: vegetation can increase marsh platform elevation by as much as 13.3 mm per year [72] and alter shoreline erosion rates by more than 10% [73]. Accordingly, even modest changes in the capacity of plants to accommodate stressors could determine whether and for how long an ecosystem persists as global change continues to unfold. Understanding the nature and extent to which vegetation responds to global change can thus advance efforts to protect coastal ecosystems and communities. It could, for example, improve mechanistic ecosystem models and broader predictive frameworks (e.g., Earth System Models) for understanding the complex outcomes of forcings and feedbacks. Notably, the importance of understanding plant responses to global change is likely to grow as humans continue to exert pressure on coastal environments.
A meta-analysis approach was taken to gain further perspective on the two opposing ideas—the environmental stress hypothesis and the plant stress hypothesis—that circumscribe explanations for how environmental pressures can influence biotic interactions and productivity in coastal ecosystems [41,42,43,44,45]. The examination of prior studies of coastal plant responses to herbivory, nitrogen enrichment, and elevated salinity (plus interactions thereof) revealed that elevated salinity negatively affects productivity across all salinity regimes, whereas nitrogen enrichment positively affects plants in saline and brackish environments. In agreement with the plant stress hypothesis, herbivores appear to exert the greatest negative influence on productivity in saline versus brackish and freshwater habitats. This trend, however, reverses under conditions of nitrogen enrichment. Thus, it can be inferred that the relative strength of top-down and bottom-up forces is subject to change according to prevailing local environmental regimes, and that concurrent exposure to multiple stressors can yield unanticipated responses that contrast with responses to individual stressors [74]. This inference extends the findings of a prior meta-analysis of consumer pressures on coastal wetlands worldwide, showing that nutrients and other physical factors can regulate the strength of consumer control [75].
Salinity exposure is arguably one of the strongest pressures acting on coastal ecosystems, where it often gives rise to striking biogeomorphic features like plant zonation [28,31,76]. Salinity affects plant physiology in a manner similar to drought, although halophytes can employ additional strategies to moderate salt stress such as salt tolerance or salt avoidance [64]. In salt avoidance, for instance, plants close stomata to prevent desiccation. Since this subsequently inhibits CO2 fixation and photosynthesis [77], elevated levels of salinity can significantly reduce productivity. As might be expected, elevated salinity appears to have the greatest inhibitory effect on freshwater plant productivity. A meta-analysis of prior findings indicates, however, that even halophytes (which often perform significantly better under lower salinity stress [78,79]) are negatively impacted by elevated salinity. The effects of salinity did not differ between the foundational plants that often dominate brackish and high salinity ecosystems (e.g., Spartina patens and Spartina alterniflora, respectively). This trend held regardless of whether the analyses included or excluded mangrove forests, focused solely on marsh ecosystems, or focused more specifically on grasses, which are often dominant plants in marsh ecosystems. These results suggest that plants in brackish environments that are able to tolerate salinity may not thrive under high-salinity conditions due to a lack of tolerance to other stressors such as prolonged inundation, high sulfide levels, or lower nutrient availability, which can concordantly occur with high salinity conditions [76]. Greater herbivore pressure might also limit expansion into more saline environments [80].
Contrary to expectations, plant productivity was not significantly lower in saline than in brackish habitats following nitrogen addition. Some prior studies have shown that growth responses to nitrogen addition diminish with increasing salinity [80,81]. Meta-analysis revealed that plants from both habitats positively responded to nitrogen. While plants in brackish habitats also appear to respond more than plants in saline conditions, the difference in responses was not statistically significant. Small sample sizes precluded comparisons to freshwater habitats, but this trend suggests that responses to nitrogen are likely greater than those in brackish and saline habitats. Nonetheless, nitrogen loading may not always benefit coastal ecosystems by boosting productivity [36,82,83]. It can also compromise stability by reducing belowground biomass due to lower nutrient foraging, a phenomenon that has been observed in freshwater, brackish, and saltwater habitats [83,84]. Accordingly, understanding responses to concurrent shifts in salinity and nutrient regimes is becoming increasingly relevant as coastal management programs continue to invest in massive engineering projects that will divert riverine outflows of sediment-rich but nutrient-laden freshwater, with the aim of stabilizing and rebuilding adjacent wetland ecosystems. It would thus be prudent to mount a targeted assessments of outfall sites to determine whether expected shifts in salinity and nutrient regimes will result in desirable outcomes [7].
Plant productivity and zonation in coastal ecosystems also reflect biotic interactions such as competition for limiting nutrients and herbivory [31,67,75,79,84,85]. Consistent with prior reviews [75], meta-analysis revealed that the influence of biotic interactions on productivity varied according to environmental stress, where herbivory had a stronger negative effect on productivity in high salinity conditions than in brackish and freshwater habitats. These relationships were independent of the type of herbivore present, lending support to the hypothesis that herbivore pressure increases when plants are stressed [43,44,45]. In combination or alone, it appears that defensive traits and the nutritional status of plants can be modified by salinity. Although some evidence suggests otherwise [86], plants might generally lose more biomass to herbivores in high salinity environments because susceptibility to herbivores can increase due to reduced performance under higher levels of stress. Salinity stress can interfere with water and nutrient uptake, and thus may cause ionic imbalance and toxicity in plants [87]. Accordingly, the costs of replacing tissue lost to herbivores can be much greater in saline environments when growth is inhibited [21,88]. It also has been shown that elevated salinity can increase leaf nitrogen content [21,89] and alter leaf rigidity, depending on the strategy employed by plants to overcome osmotic stress [64]. This raises the possibility that exposure to elevated salinity might increase vulnerability to herbivore attack [90]. Similarly, the availability of carbon and phosphorous stocks for plant nutrition and defense can vary according to salinity conditions [91]. Host specialization and high resource concentrations thus might also result in greater herbivory with elevated salinity. This also points to the possibility that coastal habitats dominated by a single or few species (i.e., Spartina alterniflora in salt marshes) that are concentrated resources and support host-specific herbivores (e.g., Prokelisia marginata planthoppers) may become increasingly prone to herbivore outbreaks [38]. For some plant species though, elevated salinity might enhance plant defenses. For instance, areas of higher salinity support Borrichia fructescens with greater plant toughness (which functions as a mechanical defense) and reduced densities of herbivores and parasitoids [21]. Mounting further comparative studies of plant quality across coastal habitats [54,92] would help clarify how salinity-induced changes influence biotic interactions and productivity.
This meta-analysis notably revealed that the influence of herbivory on productivity reverses under conditions of nutrient enrichment, with plants in brackish habitats suffering greater losses than plants in saline habitats. Bowdish and Stiling [93] provide an example of this, showing that herbivory by Prokelisia planthoppers is suppressed in fertilized marsh plots at higher salinity levels. Herbivores are generally nitrogen limited [94], therefore nitrogen addition would be expected to result in greater herbivory by elevating nutrient availability, regardless of habitat [95]. With some exceptions—relative to edaphic conditions and specific herbivore requirements [51,54,96,97]—the observed reversal might reflect the inhibitory effect of salinity on nitrogen uptake [61], where nitrogen addition has less of an effect on plant quality in higher salinity environments [79]. However, nutrient enrichment may not necessarily result in greater herbivory by influencing plant quality. Plant quality might remain unchanged while plant stature or size increases. If so, then herbivory could be lower in saline conditions where nitrogen uptake is limited because herbivores are responding to an increase in apparency rather than quality. Further work is thus warranted to differentiate between responses to changing plant quality and apparency across environmental gradients [54], and whether certain species that dominate coastal ecosystems are more prone to herbivory following nutrient enrichment [79].
Plant responses were compared according to photosynthetic pathway to evaluate whether broader trends in plant responses were attributable to environmental conditions and not simply differences in underlying physiology. This is a particularly important consideration for comparisons of coastal ecosystems, as the proportion of C3 and C4 plants varies across salinity gradients. High-salinity habitats such as salt marshes are typically dominated by C4 plants (primarily monocots), possibly because the C4 photosynthetic pathway is associated with adaptations that reduce drought (i.e., salinity) stress [33]. In contrast, brackish and freshwater habitats are typically dominated by C3 plants or composed of mixed C3 and C4 communities. The productivity of both C3 and C4 plants was negatively affected by elevated salinity, although it appears that C3 plants consistently exhibit less tolerance to exposure (i.e., a greater reduction in productivity). While a statistically significant difference was not detected in the responses of C3 and C4 plants to salinity, C4 plants appear to exhibit greater productivity in response to nutrient enrichment. This may be attributable to C4 plants generally having greater photosynthetic nitrogen use efficiency than C3 plants, which enables C4 plants to photosynthesize at lower nitrogen levels and to allocate excess nitrogen to growth under enriched conditions [98,99]. Although significant differences in responses were not detected, it is notable that striking spatiotemporal changes in the relative dominance of C3 and C4 species can reflect subtle environmental variations like changes in elevation, water table height of just a few centimeters [10,99], or changes in salinity of just a few parts per thousand [11]. Changes in community composition are important because C3 and C4 species can have contrasting structural and functional characteristics that feed back on ecosystem processes that relate to ecosystem stability like carbon accumulation and vertical accretion. For example, C3 species generally have higher nutrient concentrations and more labile types of organic matter that can result in faster decomposition and lower accretion rates [100]. C4 species commonly have more recalcitrant litter, potentially increasing carbon accumulation and vertical accretion [100]. It is also notable that differences in herbivory do not appear to correspond to photosynthetic pathways, even though C4 plants are thought to be less palatable and nutritionally inferior (i.e., less protein and more structural carbohydrates) than C3 plants [101]. Avoidance of C4 plants has been demonstrated in some plant communities, but it does not appear to be a general trend [102], possibly because C3 plants can have a greater diversity of defenses than C4 plants [103].
5. Conclusions
This meta-analysis of studies examining top-down and bottom-up effects on plant productivity highlighted the importance of interactions among stressors that act on coastal ecosystems. Though the impact of individual stressors, including consumer pressure, on coastal plants has been well studied [75], few factorial assessments have been carried out and little consideration has been given to how outcomes might vary across underlying environmental gradients. As a consequence, the magnitude and direction (i.e., synergistic or antagonistic) of feedback mechanisms have remained understudied. The utility of meta-analysis in pooling together prior studies elaborated general trends of plant responses to multiple stressors across coastal ecosystems according to the prevailing salinity regime. It was also possible to identify specific conditions under which plant growth is adversely affected by the anthropogenic and climate stressors that threaten coastal ecosystems [34,35]. Comparisons indicated, for example, that one type of stress can elicit consistent responses across ecosystems, but that additional stress can reverse trends in top-down and bottom-up regulation, further illustrating the often-unpredictable nature of these interactions [15,104]. A synthesis of prior work also indicated that freshwater systems have received less attention than either brackish or saline systems. A search on the Web of Science for the key words “freshwater marsh” and “plant productivity,” for instance, recovered less than one-fifth the number of hits recovered in a search using “salt marsh” and “plant productivity” as key words. Consequently, some analyses presented here were limited to studies conducted on brackish and saline systems. While this suggests that comparably fewer studies have been completed on freshwater systems, it is also possible that the apparent deficit in search results reflects limitations of the approach taken to identify studies for analysis. Modifications of search terms, for example, might have yielded a broader range of studies (i.e., by topic or time), including additional work on freshwater systems. Accordingly, greater consideration of freshwater systems in future efforts would help improve knowledge of responses to stressors like elevated salinity and nutrient enrichment, and thus broaden the understanding of how global change moderates the strength of bottom-up and top-down forces across coastal ecosystems.
Supplementary Materials
The following are available online at https://www.mdpi.com/article/10.3390/d13090444/s1, Table S1: Information on the studies subjected to meta-analysis. Figure S1: Funnel plots of study and effect sizes.
Funding
This research was funded by Tulane University.
Institutional Review Board Statement
Not applicable.
Informed Consent Statement
Not applicable.
Data Availability Statement
The data presented in this study are available on request from the corresponding author.
Acknowledgments
I would especially like to thank Heidi Connahs for her support and contributions to this study. I would also like to thank Genoveva Rodríguez-Castañeda and Mark Fox for providing constructive guidance for improving the analyses and presentation of this work.
Conflicts of Interest
The author declares no conflict of interest.
References
- Curtis, P.S.; Drake, B.G.; Leadley, P.W.; Arp, W.J.; Whigham, D.F. Growth and senescence in plant communities exposed to elevated CO2 concentrations on an estuarine marsh. Oecologia 1989, 78, 20–26. [Google Scholar] [CrossRef]
- Arp, W.J.; Drake, B.G. Increased photosynthetic capacity of Scirpus olneyi after 4 years of exposure to elevated CO2. Plant Cell Environ. 1991, 14, 1003–1006. [Google Scholar] [CrossRef]
- Jacob, J.; Greitner, C.; Drake, B.G. Acclimation of photosynthesis in relation to Rubisco and non-structural carbohydrate contents and in situ carboxylase activity in Scirpus olneyi grown at elevated CO2 in the field. Plant Cell Environ. 1995, 18, 875–884. [Google Scholar] [CrossRef]
- Blum, M.J.; Saunders, C.J.; McLachlan, J.S.; Summers, J.; Craft, C.; Herrick, J.D. A century-long record of plant evolution reconstructed from a coastal marsh seed bank. Evol. Lett. 2021, 5, 422–431. [Google Scholar] [CrossRef] [PubMed]
- Donnelly, J.P.; Bertness, M.D. Rapid shoreward encroachment of salt marsh cordgrass in response to accelerated sea-level rise. Proc. Nat. Acad. Sci. USA 2001, 98, 14218–14223. [Google Scholar] [CrossRef]
- Jarrell, E.R.; Kolker, A.S.; Campbell, C.; Blum, M.J. Brackish marsh plant community responses to regional precipitation and relative sea-level rise. Wetlands 2016, 36, 607–619. [Google Scholar] [CrossRef]
- Bernik, B.M.; Pardue, J.H.; Blum, M.J. Soil erodibility differs according to heritable trait variation and nutrient-induced plasticity in the salt marsh engineer Spartina alterniflora. Mar. Ecol. Prog. Ser. 2018, 601, 1–14. [Google Scholar] [CrossRef]
- Bernik, B.M.; Lumibao, C.Y.; Zengel, S.; Pardue, J.H.; Blum, M.J. Intraspecific variation in landform engineering across a restored salt marsh shoreline. Evol. Appl. 2021, 14, 685–697. [Google Scholar] [CrossRef] [PubMed]
- Crosby, S.C.; Angermeyer, A.; Adler, J.M.; Bertness, M.D.; Deegan, L.A.; Sibinga, N.; Leslie, H.M. Spartina alterniflora biomass allocation and temperature: Implications for salt marsh persistence with sea-level rise. Estuaries Coasts 2017, 40, 213–223. [Google Scholar] [CrossRef]
- Arp, W.J.; Drake, B.G.; Pockman, W.T.; Curtis, P.S.; Whigham, D.F. Interactions between C3 and C4 salt marsh plant species during four years of exposure to elevated atmospheric CO2. In CO2 and Biosphere; Springer: Dordrecht, The Netherlands, 1993; pp. 133–143. [Google Scholar]
- Rasse, D.P.; Peresta, G.; Drake, B.G. Seventeen years of elevated CO2 exposure in a Chesapeake Bay wetland: Sustained but contrasting responses of plant growth and CO2 uptake. Glob. Chang. Biol. 2005, 11, 369–377. [Google Scholar] [CrossRef]
- Drake, B.G. Rising sea level, temperature, and precipitation impact plant and ecosystem responses to elevated CO2 on a Chesapeake Bay wetland: Review of a 28-year study. Glob. Chang. Biol. 2014, 20, 3329–3343. [Google Scholar] [CrossRef]
- Cherry, J.A.; McKee, K.; Grace, J.B. Elevated CO2 enhances biological contributions to elevation change in coastal wetlands by offsetting stressors associated with sea level rise. J. Ecol. 2009, 97, 67–77. [Google Scholar] [CrossRef]
- Langley, J.A.; McKee, K.L.; Cahoon, D.R.; Cherry, J.A.; Megonigal, J.P. Elevated CO2 stimulates marsh elevation gain, counterbalancing sea-level rise. Proc. Nat. Acad. Sci. USA 2009, 106, 6182–6186. [Google Scholar] [CrossRef] [PubMed]
- Langley, J.A.; Megonigal, J.P. Ecosystem response to elevated CO2 levels limited by nitrogen-induced plant species shift. Nature 2010, 466, 96–99. [Google Scholar] [CrossRef] [PubMed]
- Langley, J.A.; Mozdzer, T.J.; Shepard, K.A.; Hagerty, S.B.; Megonigal, J.P. Tidal marsh plant responses to elevated CO2, nitrogen fertilization, and sea level rise. Glob. Chang. Biol. 2013, 19, 1495–1503. [Google Scholar] [CrossRef] [PubMed]
- Power, M.E. Top-down and bottom-up forces in food webs—Do plants have primacy. Ecology 1992, 73, 733–746. [Google Scholar] [CrossRef]
- Polis, G.A. Why are parts of the world green? Multiple factors control productivity and the distribution of biomass. Oikos 1999, 86, 3–15. [Google Scholar] [CrossRef]
- Hunter, M.D.; Price, P.W. Playing chutes and ladders—Heterogeneity and the relative roles of bottom-up and top-down forces in natural communities. Ecology 1992, 73, 724–732. [Google Scholar]
- Gratton, C.; Denno, R.F. Seasonal shift from bottom-up to top-down impact in phytophagous insect populations. Oecologia 2003, 134, 487–495. [Google Scholar] [CrossRef] [PubMed]
- Albarracin, M.T.; Stiling, P. Bottom-up and top-down effects on insect herbivores do not vary among sites of different salinity. Ecology 2006, 87, 2673–2679. [Google Scholar]
- Stiling, P.; Rossi, A.M. Experimental manipulations of top-down and bottom-up factors in a tri-trophic system. Ecology 1997, 78, 1602–1606. [Google Scholar] [CrossRef]
- Bertness, M.D.; Crain, C.; Holdredge, C.; Sala, N. Eutrophication and consumer control of New England salt marsh primary productivity. Conserv. Biol. 2008, 22, 131–139. [Google Scholar] [CrossRef] [PubMed]
- McFarlin, C.R.; Brewer, J.S.; Buck, T.L.; Pennings, S.C. Impact of fertilization on a salt marsh food web in Georgia. Estuaries Coasts 2008, 31, 313–325. [Google Scholar] [CrossRef]
- Stiling, P.; Moon, D.C. Quality or quantity: The direct and indirect effects of host plants on herbivores and their natural enemies. Oecologia 2005, 142, 413–420. [Google Scholar] [CrossRef]
- Crain, C.M. Shifting nutrient limitation and eutrophication effects in marsh vegetation across estuarine salinity gradients. Estuaries Coasts 2007, 30, 26–34. [Google Scholar] [CrossRef]
- Rand, T.A. Variation in insect herbivory across a salt marsh tidal gradient influences plant survival and distribution. Oecologia 2002, 132, 549–558. [Google Scholar] [CrossRef]
- Crain, C.M.; Silliman, B.R.; Bertness, S.L.; Bertness, M.D. Physical and biotic drivers of plant distribution across estuarine salinity gradients. Ecology 2004, 85, 2539–2549. [Google Scholar] [CrossRef]
- Fleeger, J.W.; Johnson, D.S.; Galvan, K.A.; Deegan, L.A. Top-down and bottom-up control of infauna varies across the saltmarsh landscape. J. Exp. Mar. Biol. Ecol. 2008, 357, 20–34. [Google Scholar] [CrossRef][Green Version]
- Silliman, B.R.; Bertness, M.D.; Thomsen, M.S. Top-down control and human intensification of consumer pressure in southern U.S. salt marshes. In Human Impacts in Salt Marshes: A Global Perspective; University of California Press: Berkeley, CA, USA, 2009; pp. 103–114. [Google Scholar]
- Bertness, M.D. Zonation of Spartina-patens and Spartina-alterniflora in a New-England saltmarsh. Ecology 1991, 72, 138–148. [Google Scholar] [CrossRef]
- Moon, D.C.; Stiling, P. Relative importance of abiotically induced direct and indirect effects on a salt-marsh herbivore. Ecology 2000, 81, 470–481. [Google Scholar] [CrossRef]
- Tanner, B.R.; Uhle, M.E.; Kelley, J.T.; Mora, C.I. C3/C4 variations in salt-marsh sediments: An application of compound specific isotopic analysis of lipid biomarkers to late Holocene paleoenvironmental research. Org. Geochem. 2007, 38, 474–484. [Google Scholar] [CrossRef]
- Bertness, M.D.; Ewanchuk, P.J.; Silliman, B.R. Anthropogenic modification of New England salt marsh landscapes. Proc. Nat. Acad. Sci. USA 2002, 99, 1395–1398. [Google Scholar] [CrossRef] [PubMed]
- Deegan, L.A.; Bowen, J.L.; Drake, D.; Fleeger, J.W.; Friedrichs, C.T.; Galvan, K.A.; Hobble, J.E.; Hopkinson, C.; Johnson, D.S.; Johnson, J.M.; et al. Susceptibility of salt marshes to nutrient enrichment and predator removal. Ecol. Appl. 2007, 17, S42–S63. [Google Scholar] [CrossRef]
- Deegan, L.A.; Johnson, D.S.; Warren, R.S.; Peterson, B.J.; Fleeger, J.W.; Fagherazzi, S.; Wollheim, W.M. Coastal eutrophication as a driver of salt marsh loss. Nature 2012, 490, 388–392. [Google Scholar] [CrossRef]
- Ford, M.A.; Grace, J.B. Effects of vertebrate herbivores on soil processes, plant biomass, litter accumulation and soil elevation changes in a coastal marsh. J. Ecol. 1998, 86, 974–982. [Google Scholar] [CrossRef]
- Silliman, B.R.; Van De Koppel, J.; Bertness, M.D.; Stanton, L.E.; Mendelssohn, I.A. Drought, snails, and large-scale die-off of southern US salt marshes. Science 2005, 310, 1803–1806. [Google Scholar] [CrossRef] [PubMed]
- Gustafson, D.J.; Kilheffer, J.; Silliman, B.R. Relative effects of Littoraria irrorata and Prokolesia marginata on Spartina alterniflora. Estuaries Coasts 2006, 29, 639–644. [Google Scholar] [CrossRef]
- Alberti, J.; Montemayor, D.; Alvarez, F.; Agustina, C.; Luppi, T.; Canepuccia, A.; Isacch, J.P.; Iribarne, O. Changes in rainfall pattern affect crab herbivory rates in a SW Atlantic salt marsh. J. Exp. Mar. Biol. Ecol. 2007, 353, 126–133. [Google Scholar] [CrossRef]
- Menge, B.A.; Sutherland, J.P. Community regulation—variation in disturbance, competition, and predation in relation to environmental-stress and recruitment. Am. Nat. 1987, 130, 730–757. [Google Scholar] [CrossRef]
- Menge, B.A.; Sutherland, J.P. Species-diversity gradients—synthesis of roles of predation, competition, and temporal heterogeneity. Am. Nat. 1976, 110, 351–369. [Google Scholar] [CrossRef]
- White, T.C.R. A hypothesis to explain outbreaks of looper caterpillars, with special reference to populations of Selidosema suavis in a plantation of Pinus radiata in New Zealand. Oecologia 1974, 16, 279–301. [Google Scholar] [CrossRef]
- Rhoades, D.F. Evolution of plant chemical defense against herbivores. In Herbivores: Their Interaction with Secondary Plant Metabolites; Academic Press: New York, NY, USA, 1979; pp. 3–54. [Google Scholar]
- Mattson, W.J.; Haack, R.A. The role of drought stress in provoking outbreaks of phytophagous insects. In Insect Outbreaks; Academic Press: San Diego, CA, USA, 1987; pp. 365–407. [Google Scholar]
- Larsson, S. Stressful times for the plant stress—insect performance hypothesis. Oikos 1989, 56, 277–283. [Google Scholar] [CrossRef]
- Locke, A. Applications of the Menge-Sutherland model to acid-stressed lake communities. Ecol. Appl. 1996, 6, 797–805. [Google Scholar] [CrossRef]
- Gurevitch, J.; Hedges, L.V. Meta-analyses: Combining the results of independent experiments. In Analysis of Ecological Experiments; Oxford University Press: New York, NY, USA, 2001; pp. 347–369. [Google Scholar]
- Koricheva, J.; Larsson, S.; Haukioja, E. Insect performance on experimentally stressed woody plants: A meta-analysis. Annu. Rev. Entomol. 1998, 43, 195–216. [Google Scholar] [CrossRef]
- Preisser, E.L.; Strong, D.R. Climate affects predator control of an herbivore outbreak. Am. Nat. 2004, 163, 754–762. [Google Scholar] [CrossRef] [PubMed]
- Huberty, A.F.; Denno, R.F. Plant water stress and its consequences for herbivorous insects: A new synthesis. Ecology 2004, 85, 1383–1398. [Google Scholar] [CrossRef]
- Schile, L.; Mopper, S. The deleterious effects of salinity stress on leafminers and their freshwater host. Ecol. Entomol. 2006, 31, 345–351. [Google Scholar] [CrossRef]
- Gough, L.; Grace, J.B. Effects of flooding, salinity and herbivory on coastal plant communities, Louisiana, United States. Oecologia 1998, 117, 527–535. [Google Scholar] [CrossRef]
- Goranson, C.E.; Ho, C.K.; Pennings, S.C. Environmental gradients and herbivore feeding preferences in coastal salt marshes. Oecologia 2004, 140, 591–600. [Google Scholar] [CrossRef]
- Geddes, N.A.; Mopper, S. Effects of environmental salinity on vertebrate florivory and wetland communities. Nat. Areas J. 2006, 26, 31–37. [Google Scholar] [CrossRef]
- Price, P.W. The plant vigor hypothesis and herbivore attack. Oikos 1991, 62, 244–251. [Google Scholar] [CrossRef]
- Jeffries, R.L.; Perkins, N. The effects on the vegetation of the additions of the inorganic nutrients to salt marsh soils at Stiffkey, Norfolk. J. Ecol. 1977, 65, 867–882. [Google Scholar] [CrossRef]
- Buchsbaum, R.; Valiela, I.; Swain, T. The role of phenolic-compounds and other plant constituents in feeding by canada geese in a coastal marsh. Oecologia 1984, 63, 343–349. [Google Scholar] [CrossRef] [PubMed]
- Silliman, B.R.; Bertness, M.D. A trophic cascade regulates salt marsh primary production. Proc. Nat. Acad. Sci. USA 2002, 99, 10500–10505. [Google Scholar] [CrossRef] [PubMed]
- Johnson, D.S.; Warren, R.S.; Deegan, L.A.; Mozdzer, T.J. Saltmarsh plant responses to eutrophication. Ecol. Appl. 2016, 26, 2649–2661. [Google Scholar] [CrossRef] [PubMed]
- Bradley, P.M.; Morris, J.T. The influence of salinity on the kinetics of NH+4 uptake in Spartina-alterniflora. Oecologia 1991, 85, 375–380. [Google Scholar] [CrossRef] [PubMed]
- Paludan, C.; Morris, J.T. Distribution and speciation of phosphorus along a salinity gradient in intertidal marsh sediments. Biogeochemistry 1999, 45, 197–221. [Google Scholar] [CrossRef]
- Callaway, J.C.; Parker, V.T.; Vasey, M.C.; Schile, L.M. Emerging issues for the restoration of tidal marsh ecosystems in the context of predicted climate change. Madrono 2007, 54, 234–248. [Google Scholar] [CrossRef]
- Touchette, B.W.; Smith, G.A.; Rhodes, K.L.; Poole, M. Tolerance and avoidance: Two contrasting physiological responses to salt stress in mature marsh halophytes Juncus roemerianus Scheele and Spartina alterniflora Loisel. J. Exp. Mar. Biol. Ecol. 2009, 380, 106–112. [Google Scholar] [CrossRef]
- Massad, T.J.; Dyer, L.A. A meta-analysis of the effects of global environmental change on plant-herbivore interactions. Arthropod-Plant Interact. 2010, 4, 181–188. [Google Scholar] [CrossRef]
- Stiling, P.; Cornelissen, T. How does elevated carbon dioxide (CO2) affect plant-herbivore interactions? A field experiment and meta-analysis of CO2-mediated changes on plant chemistry and herbivore performance. Glob. Chang. Biol. 2007, 13, 1823–1842. [Google Scholar] [CrossRef]
- Pennings, S.C.; Callaway, R.M. Salt-marsh plant zonation—the relative importance of competition and physical factors. Ecology 1992, 73, 681–690. [Google Scholar] [CrossRef]
- Iverson, L.R.; Ketzner, D.; Karnes, J. Illinois Plant Information Network. Illinois Natural History Survey and USDA Forest Service. 1999. Available online: https://www.nrs.fs.fed.us/data/il/ilpin/ (accessed on 30 July 2021).
- Scheiner, S.M.; Gurevitch, J. Design and Analysis of Ecological Experiments, 2nd ed.; Oxford University Press: New York, NY, USA, 2001. [Google Scholar]
- Borenstein, M.; Hedges, L.; Higgins, J.; Rothstein, H. Comprehensive Meta-Analysis; Version 2; Biostat: Englewood, NJ, USA, 2005. [Google Scholar]
- Alcoverro, T.; Mariani, S. Shoot growth and nitrogen responses to simulated herbivory in Kenyan seagrasses. Bot. Mar. 2005, 48, 1–7. [Google Scholar] [CrossRef]
- Baustian, J.J.; Mendelssohn, I.A.; Hester, M.W. Vegetation’s importance in regulating surface elevation in a coastal salt marsh facing elevated rates of sea level rise. Glob. Chang. Biol. 2012, 18, 3377–3382. [Google Scholar] [CrossRef]
- Bernik, B.M.; Eppinga, M.B.; Kolker, A.S.; Blum, M.J. Clonal vegetation patterns mediate shoreline erosion. Geophys. Res. Lett. 2018, 45, 6476–6484. [Google Scholar] [CrossRef]
- Gallego-Tévar, B.; Grewell, B.J.; Futrell, C.J.; Drenovsky, R.E.; Castillo, J.M. Interactive effects of salinity and inundation on native Spartina foliosa, invasive S. densiflora and their hybrid from San Francisco Estuary, California. Ann. Bot. 2020, 125, 377–389. [Google Scholar] [CrossRef] [PubMed]
- He, Q.; Silliman, B.R. Consumer control as a common driver of coastal vegetation worldwide. Ecol. Monogr. 2016, 86, 278–294. [Google Scholar] [CrossRef]
- Silvestri, S.; Marani, M. Salt-marsh vegetation and morphology: Basic physiology, modeling and remote sensing observations. In Ecogeomorphology of Tidal Marshes; American Geophysical Union: Washington, DC, USA, 2004; pp. 5–26. [Google Scholar]
- Maricle, B.R.; Cobos, D.R.; Campbell, C.S. Biophysical and morphological leaf adaptations to drought and salinity in salt marsh grasses. Environ. Exp. Bot. 2007, 60, 458–467. [Google Scholar] [CrossRef]
- Phleger, C.F. Effect of salinity on growth of a salt marsh grass. Ecology 1971, 52, 908–911. [Google Scholar] [CrossRef]
- Khan, M.A.; Ungar, I.A.; Showalter, A.M. Effects of salinity on growth, water relations and ion accumulation of the subtropical perennial halophyte, Atriplex griffithii var. stocksii. Ann. Bot. 2000, 85, 225–232. [Google Scholar] [CrossRef]
- Alberti, J.; Escapa, M.; Iribarne, O.; Silliman, B.; Bertness, M. Crab herbivory regulates plant facilitative and competitive processes in Argentinean marshes. Ecology 2008, 89, 155–164. [Google Scholar] [CrossRef] [PubMed]
- Linthurst, R.A.; Seneca, E.D. Aeration, nitrogen and salinity as determinants of Spartina alterniflora Loisel. Growth response. Estuaries 1981, 4, 53–63. [Google Scholar] [CrossRef]
- Darby, F.A.; Turner, R.E. Effects of eutrophication on salt marsh root and rhizome biomass accumulation. Mar. Ecol. Prog. Ser. 2008, 363, 63–70. [Google Scholar] [CrossRef]
- Turner, R.E. Beneath the salt marsh canopy: Loss of soil strength with increasing nutrient loads. Estuaries Coasts 2011, 34, 1084–1093. [Google Scholar] [CrossRef]
- Morris, J.T.; Shaffer, G.P.; Nyman, J.A. Brinson review: Perspectives on the influence of nutrients on the sustainability of coastal wetlands. Wetlands 2013, 33, 975–988. [Google Scholar] [CrossRef]
- Engels, J.G.; Jensen, K. Role of biotic interactions and physical factors in determining the distribution of marsh species along an estuarine salinity gradient. Oikos 2010, 119, 679–685. [Google Scholar] [CrossRef]
- Long, J.D.; Porturas, L.D. Herbivore impacts on marsh production depend upon a compensatory continuum mediated by salinity stress. PLoS ONE 2014, 9, e110419. [Google Scholar] [CrossRef] [PubMed]
- Houle, G.; Morel, L.; Reynolds, C.E.; Siegel, J. The effect of salinity on different developmental stages of an endemic annual plant, Aster laurentianus (Asteraceae). Am. J. Bot. 2001, 88, 62–67. [Google Scholar] [CrossRef]
- Ungar, I.A. Effect of salinity on seed germination, growth, and ion accumulation of Atriplex patula (Chenopodiaceae). Am. J. Bot. 1996, 83, 604–607. [Google Scholar] [CrossRef]
- Hemminga, M.A.; Vansoelen, J. The performance of the leaf mining microlepidopteran Bucculatrix-maritima (STT) on the salt-marsh halophyte, aster-tripolium (l), exposed to different salinity conditions. Oecologia 1992, 89, 422–427. [Google Scholar] [CrossRef] [PubMed]
- Etherington, J.R. Relationship between morphological adaptation to grazing, carbon balance and waterlogging tolerance in clones of Dactylis-glomerata L. New Phytol. 1984, 98, 647–658. [Google Scholar] [CrossRef]
- Wieski, K.; Guo, H.Y.; Craft, C.B.; Pennings, S.C. Ecosystem functions of tidal fresh, brackish, and salt marshes on the Georgia coast. Estuaries Coasts 2010, 33, 161–169. [Google Scholar] [CrossRef]
- Pennings, S.C.; Carefoot, T.H.; Siska, E.L.; Chase, M.E.; Page, T.A. Feeding preferences of a generalist salt-marsh crab: Relative importance of multiple plant traits. Ecology 1998, 79, 1968–1979. [Google Scholar] [CrossRef]
- Bowdish, T.I.; Stiling, P. The influence of salt and nitrogen on herbivore abundance: Direct and indirect effects. Oecologia 1998, 113, 400–405. [Google Scholar] [CrossRef]
- Mattson, W.J. Herbivory in relation to plant nitrogen-content. Ann. Rev. Ecol. Syst. 1980, 11, 119–161. [Google Scholar] [CrossRef]
- Waring, G.L.; Cobb, N.S. The impact of plant stress on herbivore population dynamics. In Insect-Plant Interactions; CRC Press: Boca Raton, FL, USA, 1992; pp. 168–226. [Google Scholar]
- Moon, D.C.; Stiling, P. The effects of salinity and nutrients on a tritrophic salt-marsh system. Ecology 2002, 83, 2465–2476. [Google Scholar] [CrossRef]
- Moon, D.C.; Stiling, P. The influence of a salinity and nutrient gradient on coastal vs. upland tritrophic complexes. Ecology 2004, 85, 2709–2716. [Google Scholar] [CrossRef]
- Sage, R.F.; Pearcy, R.W. The nitrogen use efficiency of c-3 and c-4 plants.1. leaf nitrogen, growth, and biomass partitioning in Chenopodium album (l) and Amaranthus retroflexus (L). Plant Physiol. 1987, 84, 954–958. [Google Scholar] [CrossRef]
- Lambers, H.; Chapin, S.F., III; Pons, T.L. Plant Physiological Ecology; Springer: New York, NY, USA, 1998. [Google Scholar]
- Saunders, C.J.; Megonigal, J.P.; Reynolds, J.F. Comparison of belowground biomass in C 3-and C 4-dominated mixed communities in a Chesapeake Bay brackish marsh. Plant Soil 2006, 280, 305–322. [Google Scholar] [CrossRef]
- Caswell, H.; Reed, F.C. Plant-herbivore interactions—indigestibility of C4 bundle sheath-cells by grasshoppers. Oecologia 1976, 26, 151–156. [Google Scholar] [CrossRef]
- Pinder, J.E.; Kroh, G.C. Insect herbivory and photosynthetic pathways in old-field ecosystems. Ecology 1987, 68, 254–259. [Google Scholar] [CrossRef]
- Ehleringer, J.R.; Cerling, T.E.; Dearing, M.D. A History of Atmospheric CO2 and Its Effects on Plants, Animals, and Ecosystems. In Ecological Studies 177; Springer: Dordrecht, The Netherlands, 2005. [Google Scholar]
- Cleland, E.E.; Chiariello, N.R.; Loarie, S.R.; Mooney, H.A.; Field, C.B. Diverse responses of phenology to global changes in a grassland ecosystem. Proc. Nat. Acad. Sci. USA 2006, 103, 13740–13744. [Google Scholar] [CrossRef] [PubMed]
Publisher’s Note: MDPI stays neutral with regard to jurisdictional claims in published maps and institutional affiliations. |
© 2021 by the author. Licensee MDPI, Basel, Switzerland. This article is an open access article distributed under the terms and conditions of the Creative Commons Attribution (CC BY) license (https://creativecommons.org/licenses/by/4.0/).



