You are currently viewing a new version of our website. To view the old version click .
Molbank
  • Short Note
  • Open Access

28 April 2025

5,7-Diiodoquinolin-8-yl (E)-3-(3,4-dihydroxyphenyl)acrylate

,
,
and
Pharmacy, Cosmetic Chemistry and Biotechnology Research Group, Łukasiewicz Research Network-Industrial Chemistry Institute, Rydygiera 8, 01–793 Warsaw, Poland
*
Author to whom correspondence should be addressed.

Abstract

We report the synthesis of 5,7-diiodoquinolin-8-yl ester of caffeic acid and its O,O-diallyl-protected analogue. The compounds from the hybrid class were fully characterised using NMR spectroscopy and high-resolution mass spectrometry.

1. Introduction

Amebiasis, a disease caused by the parasite Entamoeba histolytica, is a major cause of diarrhoea worldwide, with severe cases having a high mortality rate [1]. Iodoquinol (UPAC name: 5,7-diiodoquinolin-8-ol) is considered a first-line treatment for E. histolytica intestinal amebiasis due to its effectiveness against both cysts and trophozoites in the intestinal tract. The recommended therapeutic dosage of iodoquinol is 650 mg, administered thrice daily for 20 days. Recent studies have investigated the potential for new applications of iodoquinol and its derivatives. Iodoquinol has demonstrated efficacy against the endemic fungal species Sporothrix schenkii and Sporothrix brasiliensis, which are responsible for sporotrichosis in humans and animals. It demonstrated low toxicity to mammalian cell lines in vitro and induced changes in cell morphology and membrane integrity in fungi, thereby impairing their survival [2]. A new series of broad-spectrum anticancer compounds acting through the modulation of redox homeostasis and inhibition of NQO1 [3], as well as other derivatives with potent dispersant activity against biofilms of methicillin-resistant Staphylococcus aureus and Staphylococcus epidermidis [4], has also been designed and synthesised. In addition to synthetic compounds, there is a growing interest in natural compounds for therapeutic applications. Recent studies have investigated the potential of phenolic compounds derived from natural plants in the treatment of Entamoeba histolytica infection. Besides other phenolic compounds, the presence of caffeic acid was evidenced in the extract studied [5,6].
Due to increased migration and travel from endemic areas, climate change, and the prevalence of sexual transmission, amoebiasis is becoming increasingly common in developed countries [7]. Therefore, it is encouraging to work in the search for new, effective antiparasitic drugs and therapies. Studying hybrid small molecules is still a promising approach in drug research and development [8]. In the present short note, the synthesis of a fused conjugate of iodoquinol with reactive oxygen species (ROS)-modulating caffeic acid is reported. The described compounds were fully characterised by NMR and HRMS techniques.

2. Results and Discussion

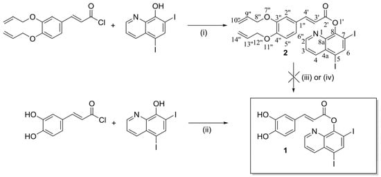
In consideration of the efficiency of the designed hybrid compound 1’s synthesis, the O,O-diallyl-protected caffeic acid ((E)-3-(3,4-bis(allyloxy)phenyl)acrylic acid) and caffeic acid chloride (bis(allyloxy)phenyl)acryloyl chloride) were selected as building blocks (Scheme 1). (E)-3-(3,4-bis(allyloxy)phenyl)acrylic acid was obtained from caffeic acid in a three-step procedure involving esterification with methanol [9] and the allylation of the resulting ester with allyl bromide in acetone with K2CO3, followed by the hydrolysis of the product under alkaline conditions (NaOH aq. /methanol) [10]. The preliminary coupling experiment was carried out under standard reaction conditions in a 1:1 DMF/DCM solvent system. An excess of (E)-3-(3,4-bis(allyloxy)phenyl)acrylic acid (1.2 eq) and DCC (1.4 eq) with a catalytic amount of DMAP (0.14 eq) was applied. The isolated product (yield 25%) was characterised by NMR spectroscopy as a mixture of compounds with characteristic signals resulting from the allylic groups. We, therefore, decided to test the reaction with (E)-3-(3,4-bis(allyloxy)phenyl)acryloyl chloride as substrate [10]. The reaction between 5,7-diiodo-8-hydroxyquinoline (iodoquinol) and acid chloride (2 eq) was carried out in the presence of pyridine (10 eq) in a 2:1 DCM/DMF solvent mixture at room temperature overnight. After purification and isolation, compound 2 was obtained in a yield of 71%. In the subsequent stage of the experimental process, the potential for unblocking the hydroxyl groups in compound 2 was investigated. Two types of test reactions were conducted: the first in the presence of tetrakis(triphenylphosphine)palladium [10], and the second with a 1,3-dimethylbarbituric acid/palladium acetate system [11]. Deprotection methods resulted in a complex post-reaction mixture, as evidenced by thin-layer chromatography monitoring. Recently, it has been recognised that the potential for improving known processes may lie in minimising the use of protecting groups. This can lead to the elimination of at least two steps from the synthesis sequence, thereby reducing the costs associated with reagents and waste disposal [12]. Taking into consideration our experimental results and the above approach, we decided to obtain compound 1 by direct acylation of iodoquinol with (E)-3-(3,4-dihydroxyphenyl)acryloyl chloride. The compound was previously obtained from caffeic acid and an excess of thionyl chloride [13]. Following the protocol described in the literature [4], with a slight modification related to the organic base used (pyridine instead of TEA), compound 1 was synthesised with a yield of 33%. The synthesis included the addition of caffeic acid chloride solution to the suspension of iodoquinol and DMAP in DCM. The reaction mixture was then stirred at ambient temperature for 20 h. After workup, product 1 was purified using silica gel chromatography (Biotage Select flash chromatography system) with hexane/ethyl acetate as eluent.
Scheme 1. Synthesis of compounds 1 and 2: (i) pyridine (10.0 eq), DCM/DMF 2:1, r.t., overnight; (ii) pyridine (4.0 eq), DMAP (0.3 eq), DCM, r.t. overnight; (iii) morpholine (20 eq), Pd(PPh3)4 (0.03 eq), Et3Si (1 eq), DCM; (iv) PPh3 (1.25 eq), 1,3-dimethylbarbituric acid (1.25 eq), [Pd(OAc)2]3 (9.0 eq), EtOH.
Spectroscopic data (1H and 13C NMR, HRMS) confirmed the structures of the synthesised compounds 1 and 2.

3. Materials and Methods

The reagents and solvents were purchased from common commercial suppliers and used without purification. Merck DC-Alufolien Kieselgel 60 F254 TLC plates (Merck, Darmstadt, Germany) were used to monitor the reactions’ progress. Flash chromatography was performed using the Biotage® Sfär Silica D Duo 60 μm and Biotage® Selekt System (Biotage, Uppsala, Sweden). Melting points were measured on a Mettler Toledo MP70 apparatus (Metler Toledo, Greifensee, Switzerland) and were uncorrected. NMR spectra were recorded on a Bruker AVANCE III HD 500 MHz spectrometer (Bruker, Billerica, MA, USA) at 298 K in CDCl3 (Merck, Darmstadt, Germany) or DMSO-d6 (Merck, Darmstadt, Germany) using TMS as an internal standard (Supplementary Materials, Figures S1 and S2). The final structural analysis was performed using the 1D and 2D NMR experiment results. High-resolution mass spectrometry (HRMS) measurements were performed using a Synapt G2-Si mass spectrometer (Waters Corp., Milford, MA, USA) equipped with an ESI source and quadrupole-time-of-flight mass analyser.

3.1. Synthesis of 5,7-diiodoquinolin-8-yl (E)-3-(3,4-dihydroxyphenyl)acrylate (1)

5,7-Diiodoquinolin-8-ol (916 mg, 2.31 mmol) and DMAP (84.6 mg, 692 μmol) were dissolved in DCM (30 mL) and stirred for 10 min. Subsequently, pyridine (730 mg, 0.747 mL, 9.23 mmol, 4 eq) and (E)-3-(3,4-dihydroxyphenyl)acryloyl chloride (550 mg, 2.77 mmol, 1.2 eq) [13] in solution in DCM (20 mL) were added. The mixture was stirred overnight at room temperature and then washed twice with water. The organic phase was separated. The water phase was then washed with AcOEt. The combined organic phases were dried over anhydrous MgSO4, and the solvents were evaporated under vacuum. The crude product was purified by silica gel chromatography (Biotage Select flash chromatography system) with chloroform–methanol 2–5%. Yield 423 mg (33%), white solid, m.p. 157.6 °C (decomp.), 1H NMR (500 MHz, DMSO) δ 6.67 (1H, d, J = 15.9 Hz, H-3′), 6.81 (1H, d, J = 8.1 Hz, H-5″), 7.17 (1H, d, J = 8.1 Hz, H-6″), 7.20 (1H, s, H-2″), 7.72 (1H, dd, J1 = 8.5 Hz, J2 = 4.1 Hz, H-3), 7.78 (1H, d, J = 15.9 Hz, H-4′), 8.36 (1H, d, J = 8.5 Hz, H-4), 8.60 (1H, s, H-6), 8.88 (1H, d, J = 4.1 Hz, H-2), 9.21 (1H, s, H-7″), 9.75 (1H, s, H-11″).13C NMR (125 MHz, DMSO) δ 94.3 (C-7), 96.9 (C-5), 112.3 (C-3′), 115.3 (C-2″), 115.8 (C-5″), 122.1 (C-6″), 124.3 (C-3), 125.3 (C-1″), 130.2 (C-4a), 140.1 (C-4), 141.1 (C-8a), 144.0 (C-6), 145.7 (C-3″), 148.1 (C-4′), 149.1 (C-4″), 149.5 (C-8), 152.1 (C-2), 164.0 (C-2′). HRMS (ES) m/z: [M + H]+ calc. for C18H12NO4I2: 559.8856, found: 559.8862; HRMS (ES) m/z: [M + Na]+ calc. for C18H11NO4I2Na: 581.8675, found: 581.8679.

3.2. Synthesis of 5,7-diiodoquinolin-8-yl (E)-3-(3,4-bis(allyloxy)phenyl)acrylate (2)

5,7-Diiodoquinolin-8-ol (394 mg, 0.99 mmol) was dissolved in a mixture of DMF (5 mL) and DCM (5 mL). Subsequently, pyridine (784 mg, 0.802 mL, 9.92 mmol, 10 eq) and (E)-3-(3,4-bis(allyloxy)phenyl)acryloyl chloride [10] (553 mg, 1.98 mmol, 2 eq) in solution in DCM (5 mL) were added. The mixture was stirred overnight at room temperature and then washed twice with water and brine. The organic phase was separated and dried over anhydrous MgSO4, and the solvent was evaporated under vacuum. The crude product was purified by silica gel chromatography (Biotage Select flash chromatography system) with hexane/ethyl acetate 0–15%. Yield 450 mg (71%), thick, light-yellow oil. 1H NMR (500 MHz, CDCl3) δ 4.67 (2H, m, H-8″), 4.67 (2H, m, H-11″), 5.30 (1H, m, H-10″), 5.33 (1H, m, H-14″), 5.45 (1H, m, H-10″), 5.46 (1H, m, H-14″), 6.09 (1H, m, H-9″), 6.10 (1H, m, H-13″), 6.71 (1H, d, J = 15.9 Hz, H-3′, 6.91 (1H, d, J = 8.2 Hz, H-5″), 7.19 (1H, m, H-6″), 7.20 (1H, m, H-2″), 7.51 (1H, dd, J1 = 8.6 Hz, J2 = 4.2 Hz, H-3), 7.94 (1H, d, J = 15.9 Hz, H-4′), 8.33 (1H, dd, J1 = 8.6 Hz, J2 = 1.4 Hz, H-4), 8.50 (1H, s, H-6), 8.85 (1H, dd, J1 = 4.2 Hz, J2 = 1.4 Hz, H-2). 13C NMR (125 MHz, CDCl3) δ 69.7 (C-8″), 69.9 (C-12″), 92.4 (C-7), 95.2 (C-5), 112.8 (C-2″), 113.3 (C-5″), 114.0 (C-3′), 118.0 (C-14″), 118.1 (C-10″), 123.5 (C-6″), 123.6 (C-3), 127.3 (C-1″), 131.0 (C-4a), 132.8 (C-9″), 133.0 (C-13″), 140.6 (C-4), 141.7 (C-8a), 144.7 (C-6), 147.9 (C-4′), 148.6 (C-3″), 150.2 (C-8), 151.1 (C-4″), 151.7 (C-2), 164.4 (C-2′). HRMS (ES) m/z: [M + H]+ calc. for C24H20NO4I2: 639.9482, found: 639.9482; HRMS (ES) m/z: [M + Na]+ calc. for C24H19NO4I2Na: 661.9301, found: 661.9299.

4. Conclusions

The synthesis of an iodoquinol–caffeic acid hybrid with potential antiparasitic activity was presented. The chemical structure of the synthesised compound was confirmed using NMR and HRMS spectroscopy.

Supplementary Materials

Figure S1: 1H spectra of 5,7-diiodoquinolin-8-yl (E)-3-(3,4-dihydroxyphenyl)acrylate (1); Figure S2: 13C NMR spectra of 5,7-diiodoquinolin-8-yl (E)-3-(3,4-dihydroxyphenyl)acrylate (1); Figure S3: HRMS spectra of 5,7-diiodoquinolin-8-yl (E)-3-(3,4-dihydroxyphenyl)acrylate (1).

Author Contributions

Conceptualization, M.C.; software, M.K.; investigation, M.C., M.Z. and M.K.; resources, M.C.; data curation, M.K.; writing—original draft preparation, M.C. and M.Z.; writing—review and editing, M.C., M.Z., O.M. and M.K.; visualisation, M.C. and M.K.; supervision, M.C. and O.M.; project administration, M.C. and O.M.; funding acquisition, M.C. and O.M. All authors have read and agreed to the published version of the manuscript.

Funding

This research was funded by the Polish Ministry of Science and Higher Education under the framework of a Łukasiewicz—Industrial Chemistry Institute statutory project (no. 84133301).

Data Availability Statement

The datasets presented in the current study are available from the corresponding author upon reasonable request.

Acknowledgments

We would like to thank Joanna Tobiasz for her support.

Conflicts of Interest

The authors declare no conflicts of interest.

Abbreviations

The following abbreviations are used in this manuscript:
NQO1NAD(P)H quinone dehydrogenase 1
ROSReactive oxygen species
DCMDichloromethane
DMFN,N-Dimethylformamide
DCCN,N′-Dicyclohexylcarbodiimide
DMAP4-Dimethylaminopyridine
TEAtriethylamine
DMSODimethylsufoxide
HRMSHigh-resolution mass spectrometry
NMRNuclear magnetic resonance

References

  1. Shirley, D.-A.T.; Farr, L.; Watanabe, K.; Moonah, S. A Review of the Global Burden, New Diagnostics, and Current Therapeutics for Amebiasis. Open Forum Infect Dis. 2018, 5, ofy161. [Google Scholar] [CrossRef] [PubMed]
  2. Borba-Santos, L.P.; Vila, T.; Rozental, S. Identification of two potential inhibitors of Sporothrix brasiliensis and Sporothrix schenckii in the Pathogen Box collection. PLoS ONE 2020, 15, e0240658. [Google Scholar] [CrossRef] [PubMed]
  3. Chaaban, I.; Hafez, H.; AlZaim, I.; Tannous, C.; Ragab, H.; Hazzaa, A.; Ketat, S.; Ghoneim, A.; Katary, M.; Abd-Alhaseeb, M.M.; et al. Transforming iodoquinol into broad spectrum anti-tumor leads: Repurposing to modulate redox homeostasis. Bioorg. Chem. 2021, 113, 105035. [Google Scholar] [CrossRef] [PubMed]
  4. Abouelhassan, Y.; Garrison, A.T.; Burch, G.M.; Wong, W.; Norwood, V.M., IV.; Huigens, R.W., III. Discovery of quinoline small molecules with potent dispersal activity against methicillin-resistant Staphylococcus aureus and Staphylococcus epidermidis biofilms using a scaffold hopping strategy. Bioorg. Med. Chem. Lett. 2014, 24, 5076–5080. [Google Scholar] [CrossRef] [PubMed]
  5. Aldaba-Muruato, L.R.; Ventura-Juárez, J.; Perez-Hernandez, A.M.; Hernández-Morales, A.; Muñoz-Ortega, M.H.; Martínez-Hernández, S.L.; Alvarado-Sánchez, B.; Macías-Pérez, J.R. Therapeutic Perspectives of p-Coumaric Acid: Anti-Necrotic, Anti-Cholestatic and Anti-Amoebic Activities. World Acad. Sci. J. 2021, 3, 47. [Google Scholar] [CrossRef]
  6. Jassim, A.F.; AL-Adilee, Y.M.S.; Mustafi, A.A. Role of Rosmarinus officinalis Phenolic Compounds in Treatment of Entamoeba histolytica Infection. Syst. Rev. Pharm. 2020, 11, 202–207. [Google Scholar] [CrossRef]
  7. Fu, X.; Zhong, Y.; Chen, L.; Ge, M.; Yu, M.; Sun, Y.; Shen, L. Global Burden and Trends of the Entamoeba Infection-Associated Diseases from 1990 to 2019: An Observational Trend Study. Acta Trop. 2023, 240, 106866. [Google Scholar] [CrossRef] [PubMed]
  8. Kumar, H.M.S.; Herrmann, L.; Tsogoeva, S.B. Structural Hybridization as a Facile Approach to New Drug Candidates. Bioorg. Med. Chem. Lett. 2020, 30, 127514. [Google Scholar] [CrossRef]
  9. Bukowski, N.; Pandey, J.L.; Doyle, L.; Richard, T.L.; Anderson, C.T.; Zhu, Y. Development of a Clickable Designer Monolignol for Interrogation of Lignification in Plant Cell Walls. Bioconjug. Chem. 2014, 25, 2189–2196. [Google Scholar] [CrossRef] [PubMed]
  10. Cybulski, M.; Sidoryk, K.; Zaremba-Czogalla, M.; Trzaskowski, B.; Kubiszewski, M.; Tobiasz, J.; Jaromin, A.; Michalak, O. The Conjugates of Indolo[2,3-b]quinoline as Anti-Pancreatic Cancer Agents: Design, Synthesis, Molecular Docking and Biological Evaluations. Int. J. Mol. Sci. 2024, 25, 2573. [Google Scholar] [CrossRef] [PubMed]
  11. Michalak, O.; Krzeczyński, P.; Cieślak, M.; Cmoch, P.; Cybulski, M.; Królewska-Golińska, K.; Kaźmierczak-Barańska, J.; Trzaskowski, B.; Ostrowska, K. Synthesis and Anti-Tumour, Immunomodulating Activity of Diosgenin and Tigogenin Conjugates. J. Steroid Biochem. Mol. Biol. 2020, 198, 105573. [Google Scholar] [CrossRef] [PubMed]
  12. Young, I.; Baran, P. Protecting-group-free synthesis as an opportunity for invention. Nature Chem. 2009, 1, 193. [Google Scholar] [CrossRef] [PubMed]
  13. Tsai, T.-H.; Yu, C.-H.; Chang, Y.-P.; Lin, Y.-T.; Huang, C.-J.; Kuo, Y.-H.; Tsai, P.-J. Protective Effect of Caffeic Acid Derivatives on tert-Butyl Hydroperoxide-Induced Oxidative Hepato-Toxicity and Mitochondrial Dysfunction in HepG2 Cells. Molecules 2017, 22, 702. [Google Scholar] [CrossRef] [PubMed]
Disclaimer/Publisher’s Note: The statements, opinions and data contained in all publications are solely those of the individual author(s) and contributor(s) and not of MDPI and/or the editor(s). MDPI and/or the editor(s) disclaim responsibility for any injury to people or property resulting from any ideas, methods, instructions or products referred to in the content.

Article Metrics

Citations

Article Access Statistics

Multiple requests from the same IP address are counted as one view.