1-[1-(4-Chlorobenzenesulfonyl)-1H-indole-3-yl]-3-[4-(pyridin-2-yl)piperazin-1-yl]propan-1-one
Abstract
:1. Introduction
2. Results and Discussion
3. Materials and Methods
3.1. Materials
3.2. Instrumentation
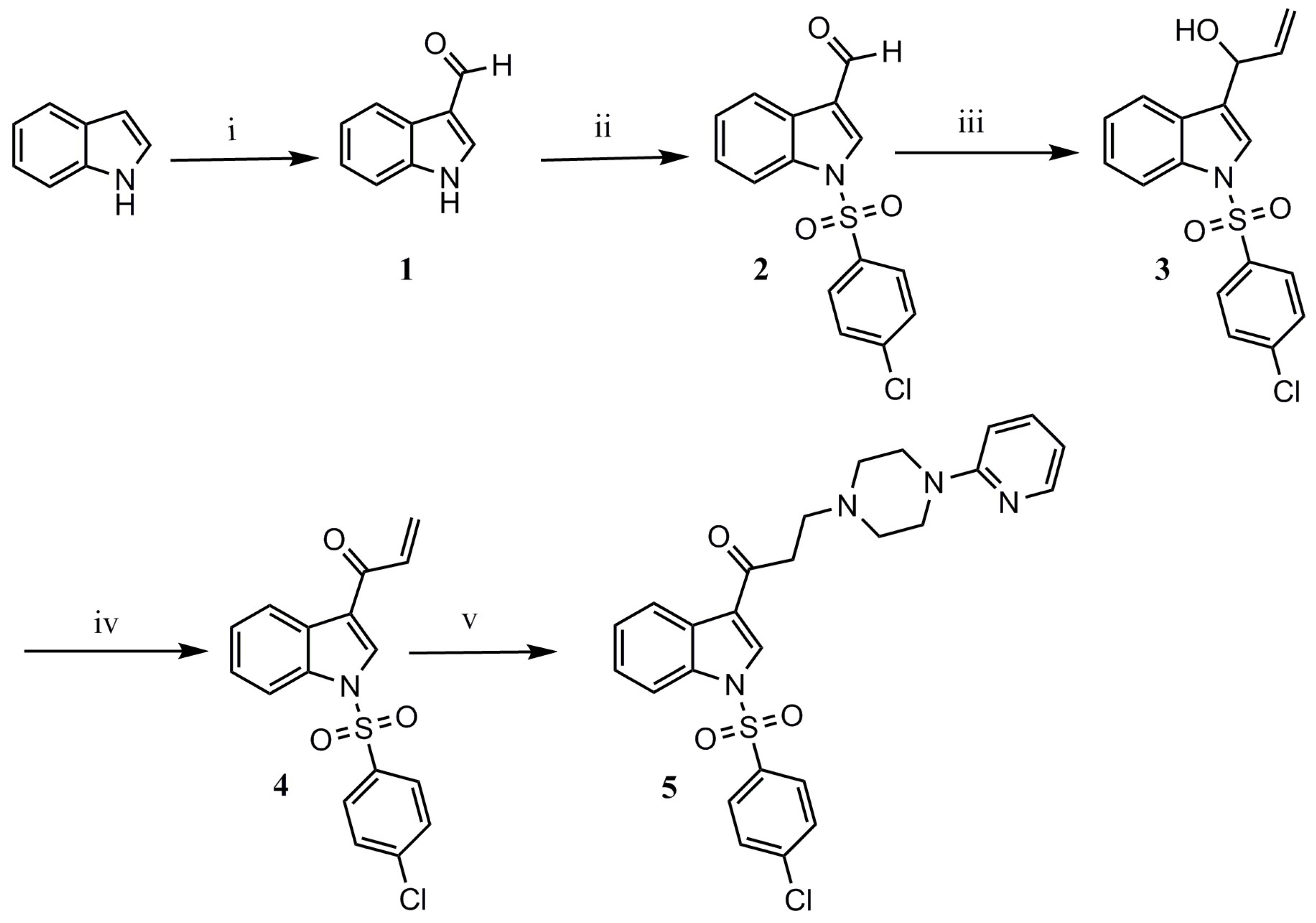
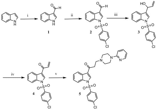
3.3. Synthesis
3.3.1. 3-Formylindole (1)

3.3.2. 1-(4-Chlorobenzenesulfonyl)-3-formylindole (2)

3.3.3. 1-[1-(4-Chlorobenzenesulfonyl)-1H-indole-3-yl]-prop-2-en-1-ol (3)

3.3.4. 1-[1-(4-Chlorobenzenesulfonyl)-1H-indole-3-yl]-prop-2-en-1-one (4)

3.3.5. 1-[1-(4-Chlorobenzenesulfonyl)-1H-indole-3-yl]-3-[4-(pyridin-2-yl)piperazin-1-yl]propan-1-one (5)

3.4. Radioligand Binding Studies
4. Conclusions
Supplementary Materials
Acknowledgments
Author Contributions
Conflicts of Interest
Abbreviations
| 5-HT | serotonin | 
| 5-HT6R | serotonin receptor subtype 6 | 
| Anal. | elemental analysis | 
| IC50 | half maximal inhibitory concentration | 
| IR | infrared spectroscopy | 
| Ki | inhibition constant | 
| NMR | nuclear magnetic resonance spectroscopy | 
| TLC | thin layer chromatography | 
| TMS | tetramethylsilane | 
References
- Kohen, R.; Metcalf, M.A.; Khan, N.; Druck, T.; Huebner, K.; Lachowicz, J.E.; Meltzer, H.Y.; Sibley, D.R.; Roth, B.L.; Hamblin, M.W. Cloning, characterization, and chromosomal localization of a human 5-HT6 serotonin receptor. J. Neurochem. 1996, 66, 47–56. [Google Scholar] [CrossRef] [PubMed]
- Woolley, M.L.; Marsden, C.A.; Fone, K.C. 5-HT6 receptors. Curr. Drug Targets CNS Neurol. Disord. 2004, 3, 59–79. [Google Scholar] [CrossRef] [PubMed]
- Monsma, F.J., Jr.; Shen, Y.; Ward, R.P.; Hamblin, M.W.; Sibley, D.R. Cloning and expression of a novel serotonin receptor with high affinity for tricyclic psychotropic drugs. Mol. Pharmacol. 1993, 43, 320–327. [Google Scholar] [PubMed]
- Heal, D.J.; Smith, S.L.; Fisas, A.; Codony, X.; Buschmann, H. Selective 5-HT6 receptor ligands: Progress in the development of a novel pharmacological approach to the treatment of obesity and related metabolic disorders. Pharmacol. Ther. 2008, 117, 207–231. [Google Scholar] [CrossRef] [PubMed]
- Fisas, A.; Codony, X.; Romero, G.; Dordal, A.; Giraldo, J.; Merce, R.; Holenz, J.; Vrang, N.; Sorensen, R.V.; Heal, D.; et al. Chronic 5-HT6 receptor modulation by e-6837 induces hypophagia and sustained weight loss in diet-induced obese rats. Br. J. Pharmacol. 2006, 148, 973–983. [Google Scholar] [CrossRef] [PubMed]
- Upton, N.; Chuang, T.T.; Hunter, A.J.; Virley, D.J. 5-HT6 receptor antagonists as novel cognitive enhancing agents for alzheimer’s disease. Neurotherapeutics 2008, 5, 458–469. [Google Scholar] [CrossRef] [PubMed]
- López-Rodríguez, M.L.; Benhamú, B.; de la Fuente, T.; Sanz, A.; Pardo, L.; Campillo, M. A three-dimensional pharmacophore model for 5-hydroxytryptamine6 (5-HT6) receptor antagonists. J. Med. Chem. 2005, 48, 4216–4219. [Google Scholar] [CrossRef] [PubMed]
- Vera, G.; Lagos, C.F.; Almendras, S.; Hebel, D.; Flores, F.; Valle-Corvalán, G.; Pessoa-Mahana, C.; Mella-Raipán, J.; Montecinos, R.; Recabarren-Gajardo, G. Extended N-arylsulfonylindoles as 5-HT6 receptor antagonists: Design, synthesis & biological evaluation. Molecules 2016, 21, 1070. [Google Scholar]
- Mella, J.; Villegas, F.; Morales-Verdejo, C.; Lagos, C.F.; Recabarren-Gajardo, G. Structure-activity relationships studies on weakly basic n-arylsulfonylindoles with an antagonistic profile in the 5-HT6 receptor. J. Mol. Struct. 2017, 1139, 362–370. [Google Scholar] [CrossRef]
- Pessoa-Mahana, H.; Recabarren-Gajardo, G.; Temer, J.F.; Zapata-Torres, G.; Pessoa-Mahana, C.D.; Barria, C.S.; Araya-Maturana, R. Synthesis, docking studies and biological evaluation of benzo[b]thiophen-2-yl-3-(4-arylpiperazin-1-yl)-propan-1-one derivatives on 5-HT1A serotonin receptors. Molecules 2012, 17, 1388–1407. [Google Scholar] [CrossRef] [PubMed]
- You, L.S.; Feng, S.; An, R.; Wang, X.H.; Bai, D.L. Silica gel accelerated aza-michael addition of amines to α,β-unsaturated amides. Tetrahedron Lett. 2008, 49, 5147–5149. [Google Scholar] [CrossRef]
- Hirst, W.D.; Minton, J.A.; Bromidge, S.M.; Moss, S.F.; Latter, A.J.; Riley, G.; Routledge, C.; Middlemiss, D.N.; Price, G.W. Characterization of [125I]-SB-258585 binding to human recombinant and native 5-HT6 receptors in rat, pig and human brain tissue. Br. J. Pharmacol. 2000, 130, 1597–1605. [Google Scholar] [CrossRef] [PubMed]
- Cheng, Y.; Prusoff, W.H. Relationship between the inhibition constant (K1) and the concentration of inhibitor which causes 50 per cent inhibition (I50) of an enzymatic reaction. Biochem. Pharmacol. 1973, 22, 3099–3108. [Google Scholar] [PubMed]
- Tyson, F.T.; Shaw, J.T. A new approach to 3-indolecarboxaldehyde. J. Am. Chem. Soc. 1952, 74, 2273–2274. [Google Scholar] [CrossRef]
- Aggarwal, R.; Benedetti, F.; Berti, F.; Buchini, S.; Colombatti, A.; Dinon, F.; Galasso, V.; Norbedo, S. A catalytic antibody programmed for torsional activation of amide bond hydrolysis. Chem.-Eur. J. 2003, 9, 3132–3142. [Google Scholar] [CrossRef] [PubMed]

© 2018 by the authors. Licensee MDPI, Basel, Switzerland. This article is an open access article distributed under the terms and conditions of the Creative Commons Attribution (CC BY) license (http://creativecommons.org/licenses/by/4.0/).
Share and Cite
Diethelm, B.; Almendras, S.; Recabarren-Gajardo, G. 1-[1-(4-Chlorobenzenesulfonyl)-1H-indole-3-yl]-3-[4-(pyridin-2-yl)piperazin-1-yl]propan-1-one. Molbank 2018, 2018, M991. https://doi.org/10.3390/M991
Diethelm B, Almendras S, Recabarren-Gajardo G. 1-[1-(4-Chlorobenzenesulfonyl)-1H-indole-3-yl]-3-[4-(pyridin-2-yl)piperazin-1-yl]propan-1-one. Molbank. 2018; 2018(2):M991. https://doi.org/10.3390/M991
Chicago/Turabian StyleDiethelm, Benjamín, Sebastián Almendras, and Gonzalo Recabarren-Gajardo. 2018. "1-[1-(4-Chlorobenzenesulfonyl)-1H-indole-3-yl]-3-[4-(pyridin-2-yl)piperazin-1-yl]propan-1-one" Molbank 2018, no. 2: M991. https://doi.org/10.3390/M991
APA StyleDiethelm, B., Almendras, S., & Recabarren-Gajardo, G. (2018). 1-[1-(4-Chlorobenzenesulfonyl)-1H-indole-3-yl]-3-[4-(pyridin-2-yl)piperazin-1-yl]propan-1-one. Molbank, 2018(2), M991. https://doi.org/10.3390/M991
 
        


 
                         Display in JSmol Viewer
 Display in JSmol Viewer