Luteinizing Hormone Releasing Hormone/Galactose Core/Lipopeptide
Abstract
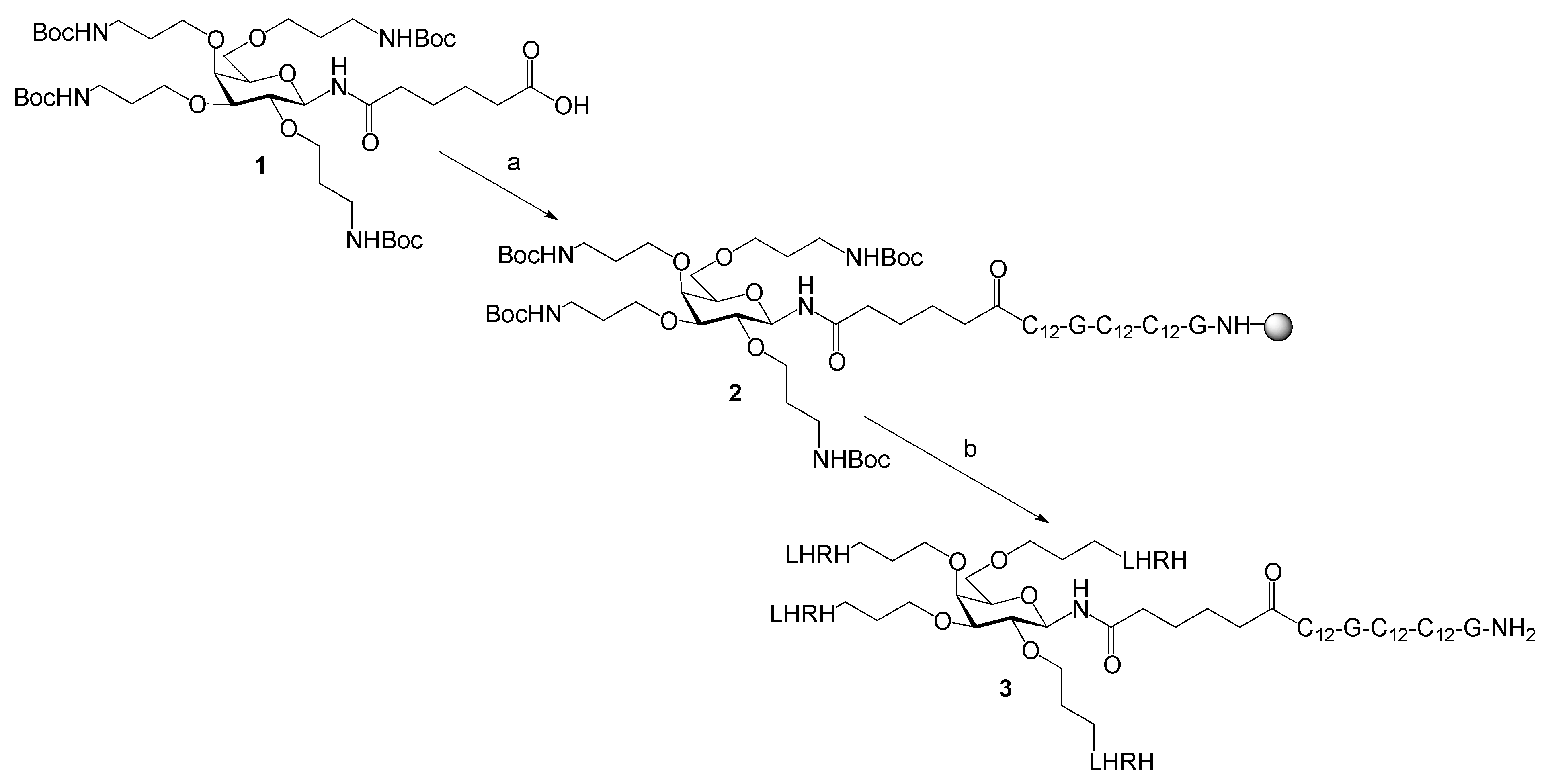
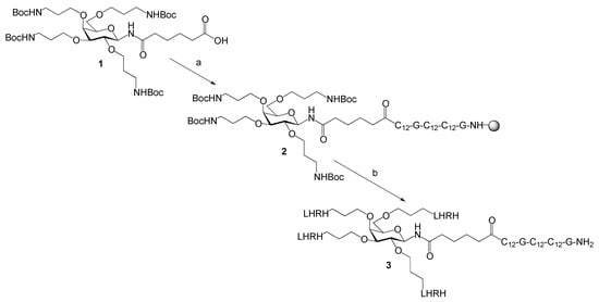
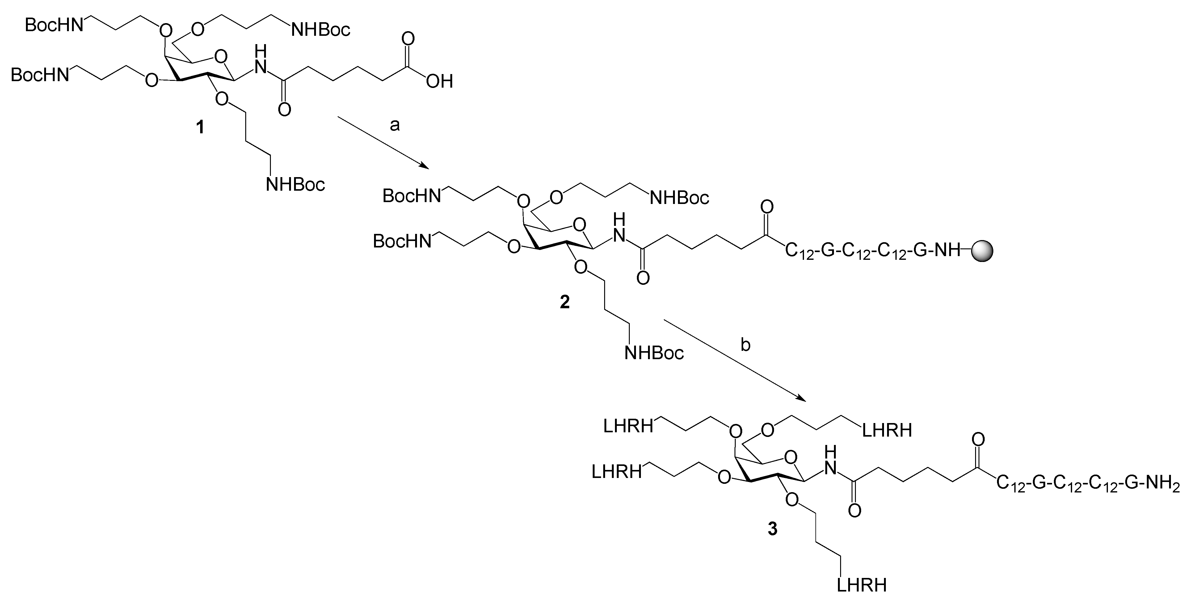
:1. Introduction
2. Results and Discussion
3. Experimental Section
Supplementary materials
Supplementary File 1Supplementary File 2Supplementary File 3Supplementary File 4Acknowledgments
Author Contributions
Conflicts of Interest
References
- Karan, D.; Thrasher, J.B.; Lubaroff, D. Prostate cancer: Genes, environment, immunity and the use of immunotherapy. Prostate Cancer Prostatic Dis. 2008, 11, 230–236. [Google Scholar] [CrossRef] [PubMed]
- Talwar, G.P. Vaccines and passive immunological approaches for the control of fertility and hormone-dependent cancers. Immunol. Rev. 1999, 171, 173–192. [Google Scholar] [CrossRef] [PubMed]
- Raina, K.; Panda, A.K.; Ali, M.M.; Talwar, G.P. Purification, refolding, and characterization of recombinant LHRH-T multimer. Protein Expres. Purif. 2004, 37, 8–17. [Google Scholar] [CrossRef] [PubMed]
- Junco, J.A.; Peschke, P.; Zuna, I.; Ehernann, V.; Fuentes, F.; Bover, E.; Pimentel, E.; Basulto, R.; Reyes, O.; Calzada, L.; et al. Immunotherapy of prostate cancer in a murine model using a novel GnRH based vaccine candidate. Vaccine 2007, 25, 8460–8468. [Google Scholar] [CrossRef] [PubMed]
- Finstad, C.L.; Wang, C.Y.; Kowalski, J.; Zhang, M.L.; Li, M.L.; Li, X.M.; Xia, W.G.; Bosland, M.C.; Murthy, K.K.; Walfield, A.M.; et al. Synthetic luteinizing hormone releasing hormone (LHRH) vaccine for effective androgen deprivation and its application to prostate cancer immunotherapy. Vaccine 2004, 22, 1300–1313. [Google Scholar] [CrossRef] [PubMed]
- Skwarczynski, M.; Toth, I. Lipid-core-peptide system for self-adjuvanting synthetic vaccine delivery. Methods Mol. Biol. 2011, 751, 297–308. [Google Scholar] [PubMed]
- Olive, C.; Batzloff, M.R.; Horváth, A.; Wong, A.; Clair, T.; Yarwood, P.; Toth, I.; Good, M.F. A lipid core peptide construct containing a conserved region determinant of the group A streptococcal M protein elicits heterologous opsonic antibodies. Infect. Immun. 2002, 70, 2734–2738. [Google Scholar] [CrossRef] [PubMed]
- Simerska, P.; Abdel-Aal, A.B.M.; Fujita, Y.; Moyle, P.M.; McGeary, R.P.; Batzloff, M.R.; Olive, C.; Good, M.F.; Toth, I. Development of a liposaccharide-based delivery system and its application to the design of group a streptococcal vaccines. J. Med. Chem. 2008, 51, 1447–1452. [Google Scholar] [CrossRef] [PubMed]
- Astronomo, R.D.; Burton, D.R. Carbohydrate vaccines: Developing sweet solutions to sticky situations? Nat. Rev. Drug Discov. 2010, 9, 308–324. [Google Scholar] [CrossRef] [PubMed]
- Simerska, P.; Ziora, Z.M.; Fagan, V.; Goodwin, D.; Edrous, F.; Toth, I. Design, synthesis and characterisation of mannosylated ovalbumin lipid core peptide self-adjuvanting vaccine delivery system. Drug Deliv. Transl. Res. 2014, 4, 246–255. [Google Scholar] [CrossRef] [PubMed]
- Györgydeák, Z.; Szilágyi, L.; Paulsen, H. Synthesis, structure and reactions of glycosyl azides. J. Carbohydr. Chem. 1993, 12, 139–163. [Google Scholar] [CrossRef]
- Horváth, A.; Olive, C.; Wong, A.; Clair, T.; Yarwood, P.; Good, M.; Toth, I. A lipophilic adjuvant carrier system for antigenic peptides. Lett. Pept. Sci. 2001, 8, 285–288. [Google Scholar] [CrossRef]
- Blanchfield, J.T.; Lew, R.A.; Smith, A.I.; Toth, I. The stability of lipidic analogues of GnRH in plasma and kidney preparations: The stereoselective release of the parent peptide. Biorg. Med. Chem. Lett. 2005, 15, 1609–1612. [Google Scholar] [CrossRef] [PubMed]
- Schnolzer, M.; Alewood, P.; Jones, A.; Alewood, D.; Kent, S.B.H. In situ neutralization in boc-chemistry solid phase peptide synthesis. Rapid, high yield assembly of difficult sequences. Int. J. Pept. Res. Ther. 2007, 13, 31–44. [Google Scholar] [CrossRef]

| Time (min) | Solvent B (%) |
|---|---|
| 0–10 | 0–40 |
| 10–60 | 40–80 |
| 60–80 | 80–100 |
| 80–90 | 100 |
© 2015 by the authors; licensee MDPI, Basel, Switzerland. This article is an open access article distributed under the terms and conditions of the Creative Commons Attribution license (http://creativecommons.org/licenses/by/4.0/).
Share and Cite
Simerska, P.; Lai, H.L.; Toth, I. Luteinizing Hormone Releasing Hormone/Galactose Core/Lipopeptide. Molbank 2015, 2015, M881. https://doi.org/10.3390/M881
Simerska P, Lai HL, Toth I. Luteinizing Hormone Releasing Hormone/Galactose Core/Lipopeptide. Molbank. 2015; 2015(4):M881. https://doi.org/10.3390/M881
Chicago/Turabian StyleSimerska, Pavla, Hoi Ling Lai, and Istvan Toth. 2015. "Luteinizing Hormone Releasing Hormone/Galactose Core/Lipopeptide" Molbank 2015, no. 4: M881. https://doi.org/10.3390/M881
APA StyleSimerska, P., Lai, H. L., & Toth, I. (2015). Luteinizing Hormone Releasing Hormone/Galactose Core/Lipopeptide. Molbank, 2015(4), M881. https://doi.org/10.3390/M881
