Next Article in Journal
Synthesis of 3-[2-(4-Chlorobenzylidene)hydrazino]-3-oxo-N-(4-sulfamoylphenyl)propanamide
Previous Article in Journal
Synthesis of 1-[(2-Oxonaphthalen-1(2H)-ylidene)methyl]urea
 
 
Font Type:
Arial Georgia Verdana
Font Size:
Aa Aa Aa
Line Spacing:
Column Width:
Background:
Short Note

Synthesis of rac-tert-butyl 3-(benzyloxycarbonylamino)-2-(4-bromophenyl)-tetrahydrofuran-3-carboxylate

by
Andreas Grauer
and
Burkhard König
*
Institute of Organic Chemistry, University of Regensburg, D-93040 Regensburg, Germany
*
Author to whom correspondence should be addressed.
Molbank 2009, 2009(1), M596; https://doi.org/10.3390/M596
Submission received: 21 February 2009 / Accepted: 12 March 2009 / Published: 23 March 2009

Abstract

:
A new Cα-tetrasubstituted α-amino acid rac-tert-butyl 3-(benzyloxycarbonylamino)-2-(4-bromophenyl)-tetrahydrofuran-3-carboxylate was synthesized and characterized by NMR, MS, elemental analysis and X-ray.

Introduction

Cα-Tetrasubstituted α-amino acids are important molecules for the synthesis of peptide­mimetics with stabilized secondary structure, because of their ability to rigidify the peptide backbone [1,2,3,4,5,6,7]. Recently we developed a tetrahydrofuran based Cα-tetrasubstituted α-amino acid which is Boc-protected at the N-terminus and tbutyl protected at the C-terminus [8]. Unfortunately, these two protecting groups are not entirely orthogonal: Cleavage of the Boc-group with HCl saturated diethyl ether is possible in the presence of the tbutyl-ester, but the ester group cannot be saponified without cleaving the Boc-group. Therefore we decided to synthesize a tetrahydrofuran amino acid with orthogonal protecting groups. We use the Cbz-group for amine protection and the tbutyl-group for the protection of the carboxylic acid, because both moieties are stable to the strongly basic conditions which are used during the synthesis of the tetrahydrofuran amino acid.

Synthesis

The synthesis starts from methionine (1) which was protected at the N-terminus using benzyl carbonochloridate. Subsequently, the tbutyl-ester was introduced using a Steglich-type esterification reaction. After methylation resulting in the sulfonium salt 2, the cyclisation reaction was performed using 4-bromobenzaldehyde 3. rac-tert-Butyl 3-(benzyl­oxy­carbonyl­amino)-2-(4-bromophenyl)-tetrahydrofuran-3-carboxy­late (rac-4) was formed in a highly diastereoselective manner as a racemic mixture of the trans-products in a yield of 48 %.
Molbank 2009 m596 i001
The connectivity and relative configuration of tert-butyl 3-(benzyloxycarbonylamino)-2-(4-bromophenyl)-tetra­hydrofuran-3-carboxylate (4) was confirmed by an X-ray structure analysis. Suitable crystals were obtained by recrystallization from MeOH.
Molbank 2009 m596 i002

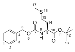
tert-Butyl 2-(benzyloxycarbonylamino)-4-(methylthio)butanoate

2-(Benzyloxycarbonylamino)-4-(methylthio)butanoic acid (1, 3.00 g, 10.6 mmol) was dissolved under a nitrogen atmosphere in 50 ml of dry DCM and cooled to 0 °C in an ice bath. To this solution DMAP (108 mg, 0.88 mmol) and tbutanol (1.21 ml, 12.7 mmol) were added. Under vigorous stirring dicyclohexyl carbonate (2.84 g, 13.8 mmol) was slowly added in portions. The mixture was stirred at 0 °C for 2 hours, allowed to warm to room temperature and stirred for additional 12 hours. Precipitated urea was filtered off and washed twice with 25 ml of DCM. The solvent was evaporated under reduced pressure and the crude product was purified by column chromatography on silica gel (EtOAc:PE 30:70, Rf = 0.48) to give the product as colorless oil (1.84 g, 6.02 mmol, 57 %).
Molbank 2009 m596 i003
MS (CI, NH3): m/z (%) = 284.0 (7) [MH+ - C4H8], 301.1 (52) [MNH4+ - C4H8], 340.1 (15) [MH+], 357.1 (100) [MNH4+].
IR (NEAT) [cm-1]: ν ˜ = 2979, 2917, 1708, 1523, 1455, 1368, 1224, 1149, 1046, 965, 845, 738, 696.
1H-NMR (300 MHz, CDCl3): δ = 1.46 (s, 9 H, 13), 1.82-2.20 (m, 5 H, 14 + 17), 2.41-2.61 (m , 2 H, 15), 4.25-4.44 (m, 1 H, 9), 5.11 (s, 2 H, 5), 5.39 (d, 3JH,H = 7.4, 1 H, 8), 7.28-7.43 (m, 5 H, H-Ar).
13C-NMR (75 MHz, CDCl3): δ = 15.5 (+, 1 C, 17), 28.0 (+, 3 C, 13), 29.9 (-, 1 C, 15), 32.5 (+, 1 C, 14), 53.8 (+, 1 C, 9), 67.0 (+, 1 C, 5), 82.4 (Cquat, 1 C, 12), 128.1 (+, 2 C, 3), 128.2 (+, 1 C, 1) , 128.5 (+, 2 C, 2), 136.3 (Cquat, 1 C, 4), 155.9 (Cquat, 1 C, 7), 171.0 (Cquat, 1 C, 10).

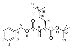
(3-(Benzyloxycarbonylamino)-4-tert-butoxy-4-oxobutyl)dimethylsulfonium iodide (2)

tert-Butyl 2-(benzyloxycarbonylamino)-4-(methylthio)butanoate (3.00 g, 10.6 mmol) was dissolved in 32 ml of methyl iodide (3 ml/mmol) and stirred for three days at room temperature in the dark. The solution was cooled to 0 °C in an ice bath and 32 ml of heptane (3 ml/mmol) were added to precipitate the product. The mixture was kept at 0 °C in the dark for four hours to complete the precipitation. The hygroscopic and light sensitive product was obtained after filtration and washing with ice-cold heptane as a colorless solid (1.39 g, 2.89 mmol, 98%) in analytically pure form.
Molbank 2009 m596 i004
MP 35-37 °C.
MS (ES, DCM/MeOH + 10 mmol/l NH4OAc): m/z (%) = 354.1 (100) [M+].
IR (NEAT) [cm-1]: ν ˜ = 2980, 2928, 1707, 1518, 1238, 1151, 1047, 740, 698.
1H-NMR (300 MHz, CDCl3): δ = 1.46 (s, 9 H, 13), 2.20-2.49 (m, 2 H, 14), 3.19 (s, 3 H, 17), 3.23 (s, 3 H, 17), 3.59-3.81 (m, 1 H, 15), 3.85-4.02 (m, 1 H, 15), 4.21-4.38 (m, 1 H, 9), 5.10 (s, 2 H, 5), 6.09 (d, 3JH,H = 7.1, 1 H, 8), 7.28-7.47 (m, 5 H, 1 -3).
13C-NMR (75 MHz, CDCl3): δ = 25.7 (+, 1 C, 17), 26.0 (+, 1 C, 17), 28.0 (+, 3 C, 13), 31.9 (-, 1 C, 14), 40.5 (+, 1 C, 15), 53.2 (+, 1 C, 9), 67.2 (+, 1 C, 5), 83.5 (Cquat, 1 C, 12), 128.2 (+, 2 C, 3), 128.3 (+, 1 C, 1) , 128.6 (+, 2 C, 2), 136.3 (Cquat, 1 C, 4), 156.5 (Cquat, 1 C, 7), 169.9 (Cquat, 1 C, 10).

rac-tert-Butyl 3-(benzyloxycarbonylamino)-2-(4-bromophenyl)-tetrahydrofuran-3-carboxy­late (rac-4)

In an oven dried Schlenk flask under nitrogen atmosphere (3-(benzyloxycarbonylamino)-4-tert-butoxy-4-oxobutyl)-dimethylsulfonium iodide (2, 4.68 g, 9.73 mmol, 1.2 eq.) was dis­solved in dry acetonitrile (5 ml per 1 mmol sulfonium salt). The colorless solution was cooled to -6 °C and potassium hydroxide (546 mg, 9.73 mmol, 1.2 eq.) followed by 4-bromo­benz­aldehyde (4, 1.50 g, 8.11 mmol, 1 eq.) were added. The mixture was stirred at -6 °C for 6 h. After complete consumption of the starting material (checked via TLC, 60:40 PE:diethyl ether, Rf = 0.05) the reaction mixture was quenched with water (4 ml per mmol sulfonium salt) and extracted with diethyl ether (1 x 4 ml/mmol, 2 x 5 ml/mmol sulfonium salt). The combined organic layers were washed with brine solution and dried over MgSO4. After removal of the solvent under reduced pressure the crude product was purified by flash chromatography [9] using a 80:20 mixture of PE:diethyl ether (Rf = 0.15) to give a white crystalline solid in 48 % yield (1.85 g, 3.90 mmol).
Molbank 2009 m596 i005
MP 133-135 °C.
MS (ES, DCM/MeOH + 10 mmol/l NH4OAc): m/z (%) = 476.2 (7) [MH+], 495.2 (100) [MNH4+], 476.1 (100) [M – H+], 536.2 (10) [M + CH3COO-].
IR (NEAT) [cm-1]: ν ˜ = 3334, 2977, 2947, 2860, 1702, 1593, 1524, 1491, 1361, 1247, 1154, 1073, 1011, 986, 827, 790, 750, 697.
1H-NMR (300 MHz, CDCl3): δ = 1.11(s, 9 H, tBu), 2.54-2.81 (m, 2 H, CH2), 4.22-4.37 (m, 2 H, O-CH2), 5.08-5.21 (m, 3 H, CH2–Cbz + CH), 6.00 (bs, 1 H, NH), 7.20 (d, 3JH,H = 7.9, 2 H, CH-Ar), 7.28-7.45 (m, 7 H, CH-Cbz, CH-Ar).
13C-NMR (75 MHz, CDCl3): δ = 27.4 (+, 3 C, CH3-tBu), 35.8 (-, 1 C, CH2), 66.8 (-, 1 C, O-CH2), 67.9 (-, 1 C, CH2-Bzl), 69.5 (Cquat, 1 C, C-NH), 83.0 (Cquat, 1 C, C-tBu), 83.8 (+, 1 C, CH) , 121.7 (Cquat, 1 C, C-Br), 127.7 (+, 2 C, CH-Bzl), 128.2 (+, 2 C, CH-Bzl), 128.3 (+, 1 C, CH-Bzl), 128.6 (+, 2 C, CH-Ar), 131.0 (+, 2 C, CH-Ar), 136.2 (Cquat, 1 C, C-Ar), 136.5 (Cquat, 1 C, C-Ar), 154.6 (Cquat, 1 C, CO-Bzl), 169.9 (Cquat, 1 C, COOtBu).
Elemental analysis calcd. (%) for C23H26BrNO5 (524.49): C 57.99, H 5.50, N 2.94; found: C 58.04, H 5.55, N 2.82.

Supplementary materials

Supplementary File 1Supplementary File 2Supplementary File 3

References

  1. Benedetti, B.; Bavoso, A.; Di Blasio, B.; Pavone, V.; Pedone, C.; Toniolo, C.; Bonara, G. M. Proc. Natl. Acad. Sci. U.S.A. 1982, 79, 7951–7954. [CrossRef]
  2. Toniolo, C.; Crisma, M.; Formaggio, F. Biopolymers 1997, 40, 627–651.
  3. Toniolo, C.; Benedetti, E. Macromolecules 1991, 24, 4004–4009.
  4. Toniolo, C.; Crisma, M.; Formaggio, F.; Valle, G.; Cavicchioni, G.; Précigoux, G.; Aubry, A.; Kamphuis, J. Biopolymers 1993, 33, 1061–1072. [PubMed]
  5. Polese, A.; Formaggio, F.; Crisma, M.; Valle, G.; Toniolo, C.; Bonora, G. M.; Broxterman, Q.; Kamphius, J. Chem. Eur. J. 1996, 2, 1104–1111. [CrossRef]
  6. Hanson, P.; Millhauser, G.; Formaggio, F.; Crisma, M.; Toniolo, C. J. Am. Chem. Soc. 1996, 118, 7618–7625. [CrossRef]
  7. Gratias, R.; Konat, R.; Kessler, H.; Crisma, M.; Valle, G.; Polese, A.; Formaggio, F.; Toniolo, C.; Broxterman, Q.; Kamphius, J. J. Am. Chem. Soc. 1998, 120, 4763–4770. [CrossRef]
  8. Maity, P.; Zabel, M.; König, B. J. Org. Chem. 2007, 72, 8046–8053. [CrossRef] [PubMed]
  9. Still, W. C.; Kahn, M.; Mitra, A. J. Org. Chem. 1978, 43, 2923–2925. [CrossRef]

Share and Cite

MDPI and ACS Style

Grauer, A.; König, B. Synthesis of rac-tert-butyl 3-(benzyloxycarbonylamino)-2-(4-bromophenyl)-tetrahydrofuran-3-carboxylate. Molbank 2009, 2009, M596. https://doi.org/10.3390/M596

AMA Style

Grauer A, König B. Synthesis of rac-tert-butyl 3-(benzyloxycarbonylamino)-2-(4-bromophenyl)-tetrahydrofuran-3-carboxylate. Molbank. 2009; 2009(1):M596. https://doi.org/10.3390/M596

Chicago/Turabian Style

Grauer, Andreas, and Burkhard König. 2009. "Synthesis of rac-tert-butyl 3-(benzyloxycarbonylamino)-2-(4-bromophenyl)-tetrahydrofuran-3-carboxylate" Molbank 2009, no. 1: M596. https://doi.org/10.3390/M596

APA Style

Grauer, A., & König, B. (2009). Synthesis of rac-tert-butyl 3-(benzyloxycarbonylamino)-2-(4-bromophenyl)-tetrahydrofuran-3-carboxylate. Molbank, 2009(1), M596. https://doi.org/10.3390/M596

Note that from the first issue of 2016, this journal uses article numbers instead of page numbers. See further details here.

Article Metrics

Back to TopTop