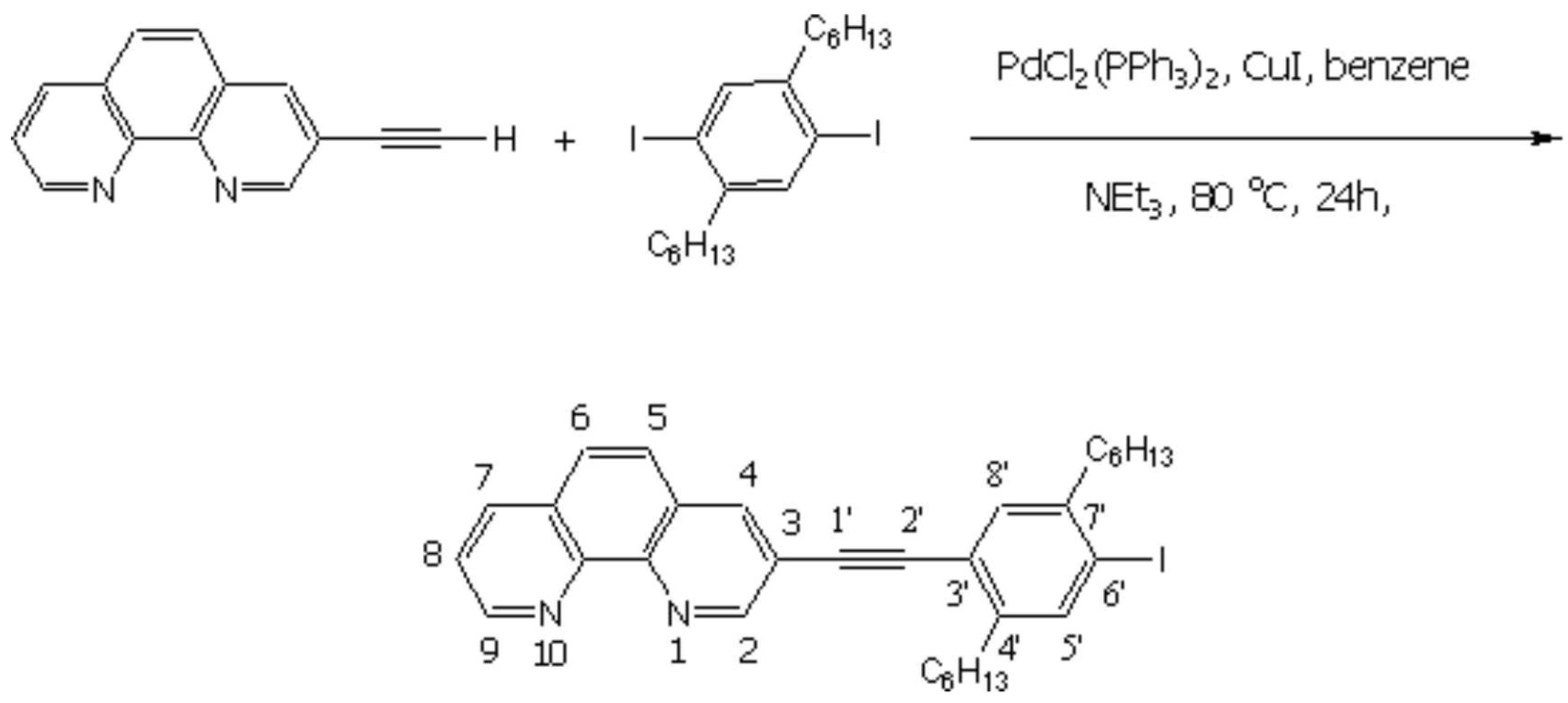
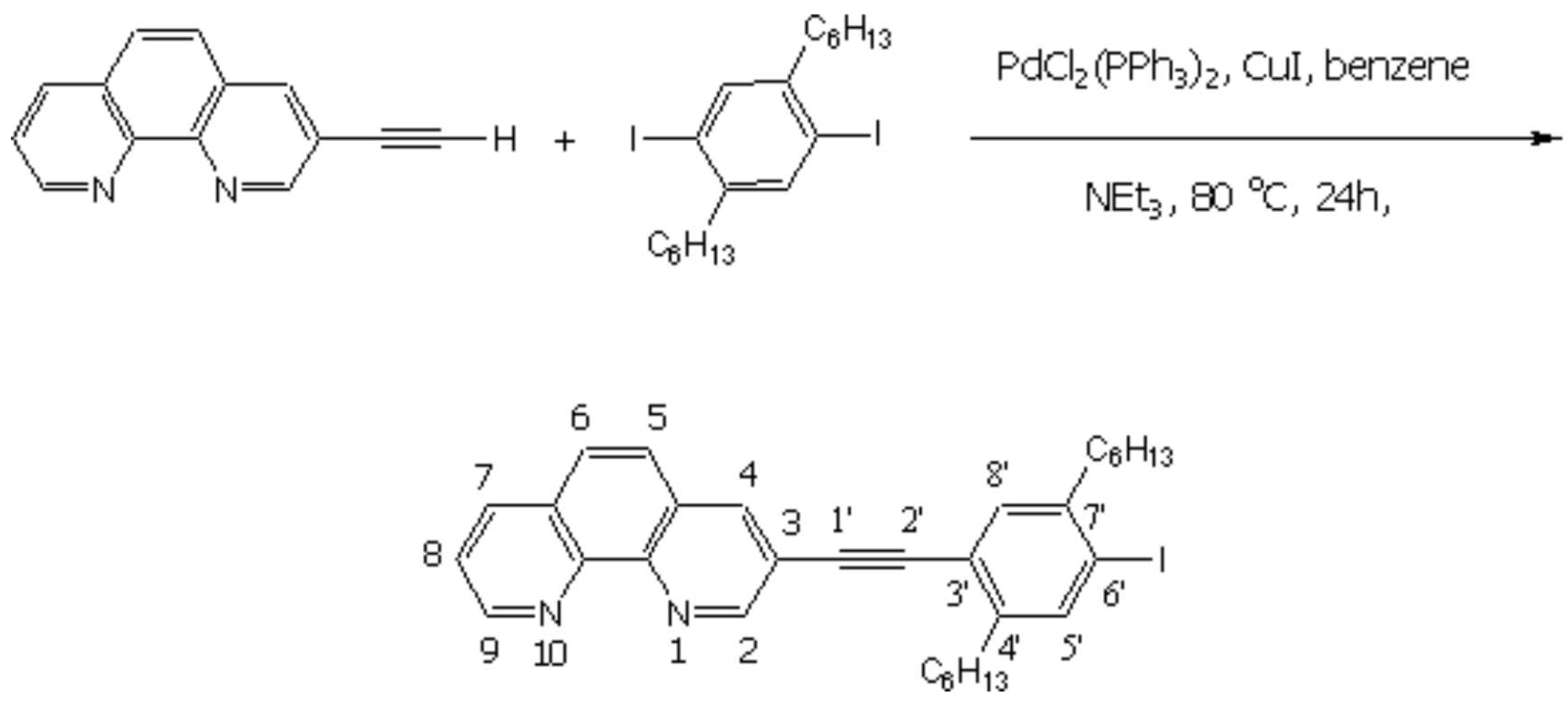
3-(2,5-Dihexyl-4-iodo-phenylethynyl)-[1,10]-phenanthroline

Supplementary materials
Supplementary File 1Supplementary File 2Supplementary File 3Acknowledgements
References
- Sonogashira, K.; Tohda, Y.; Hagihara, N. Tetrahedron Lett. 1975, 4467.
- Michel, C.; Habibi, D.; Schmittel, M. Molecules 2001, M224.
- Michel, C.; Habibi, D.; Schmittel, M. Molecules 2001, M225.
- Giesa, R.; Schulz, R. C. Makromol. Chem. 1990, 191, 857.
- Weder, C.; Wrighton, M. S. Macromolecules 1996, 29, 5157.
- Swager, T. M.; Gil, C. J.; Wrighton, M. S. J. Phys. Chem., 1995, 99, 4886.
© 2005 MDPI. All rights reserved.
Share and Cite
Habibi, D. 3-(2,5-Dihexyl-4-iodo-phenylethynyl)-[1,10]-phenanthroline. Molbank 2005, 2005, M422. https://doi.org/10.3390/M422
Habibi D. 3-(2,5-Dihexyl-4-iodo-phenylethynyl)-[1,10]-phenanthroline. Molbank. 2005; 2005(3):M422. https://doi.org/10.3390/M422
Chicago/Turabian StyleHabibi, Davood. 2005. "3-(2,5-Dihexyl-4-iodo-phenylethynyl)-[1,10]-phenanthroline" Molbank 2005, no. 3: M422. https://doi.org/10.3390/M422
APA StyleHabibi, D. (2005). 3-(2,5-Dihexyl-4-iodo-phenylethynyl)-[1,10]-phenanthroline. Molbank, 2005(3), M422. https://doi.org/10.3390/M422
