
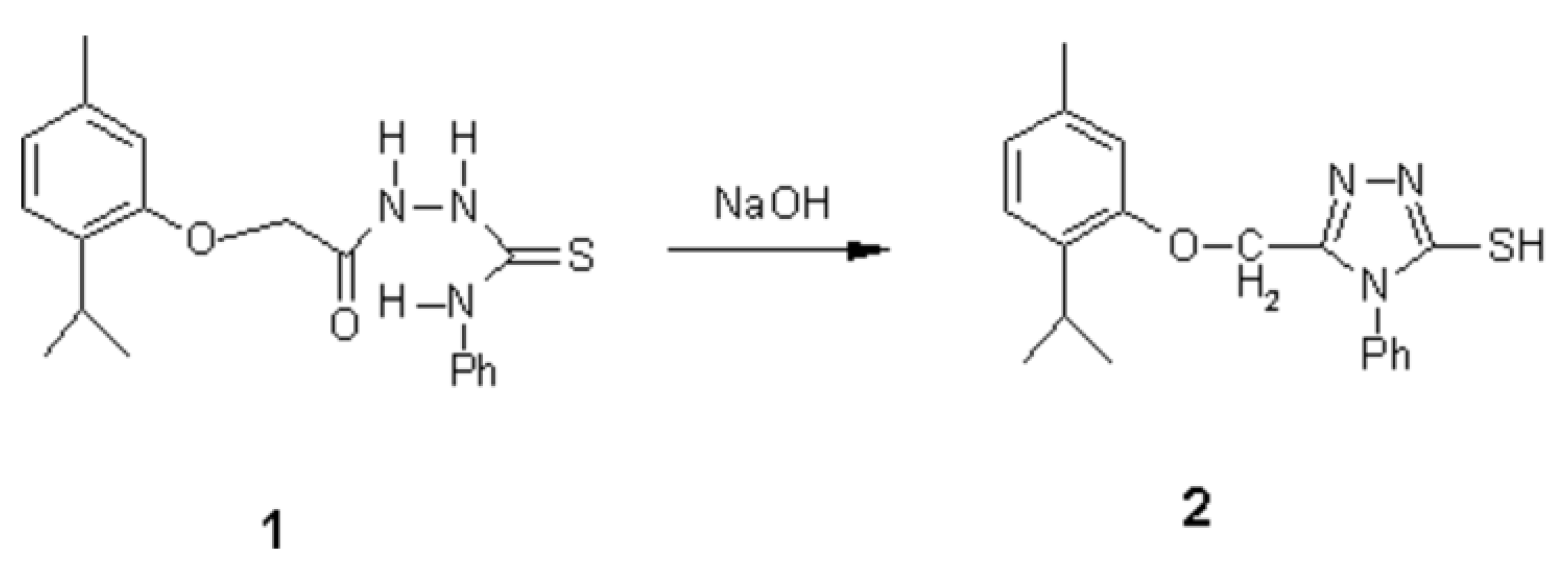
The triazole derivative 2 was prepared from 2-[(2-isopropyl-5-methylphenoxy)acetyl]-N-phenylhydrazine carbothioamide (1) by heating under reflux with aqueous NaOH [1,2]. 1 (1.0 g, 2.80 mmol) was suspended in aqueous NaOH (15 ml, 8%) and heated under reflux for 5 hours. The reaction mixture was treated with charcoal and filtered. The filtrate was cooled to room temperature and acidified carefully with dilute acetic acid (10%). The precipitate thus formed was filtered, washed with copious amount of water and recrystallized from ethanol to give 2 as white crystals (0.81 g, 85%).
M.p. 165-167 oC (EtOH, uncorrected).
UV λmax (nm; Acetone)/e (dm3.mol-1.cm-1) 336/2900.
IR νmax (cm-1; KBr Disk) 3450 (NH), 2657 (SH), 1612 (C=N), 1581 (NH bending).
1H-NMR (400 MHz; CDCl3; Me4Si δH) 1.08 (6H, d, 2CH3), 2.27 (3H, s CH3), 2.98 (1H, m, CH), 4.90 (2H, S, CH2O), 6.57 (1H, s), 6.78 1H, d, J = 7.67 Hz), 7.07 (1H, d, J =7.70 Hz), 7.46 (1H, s, SH), 7.53 (3H, m), 7.54 (2H, m) .
13C-NMR (δC) 21.65, 23.43, 26.2, 60.74, (CH2O), 113.15, 123.2, 126.7, 128.2, 130.14, 130.6, 133.4, 134.96, 136.9, 149.08, 154.62, 169.78 (C-SH).
Elemental Analysis: Calculated for C19H21N3OS ( 339.22): C 67.27, H 6.19, N 12.39; found : C 67.12, H 5.96 , N 12.13.
Supplementary materials
Supplementary File 1Supplementary File 2Supplementary File 3References
- Trivedi, S.; Kubavate, H.; Parekh, H. Indian J. Chem. 1994, 33, 295.
- Vashi, S.; Mehta, S.; Shah, V. H. Indian J. Chem. 1996, 35, 11.
© 2003 MDPI. All rights reserved.