Catalytic Design of Matrix-Isolated Ni/Chitosan Composites for Methane Decomposition
Abstract
1. Introduction
2. Results and Discussion
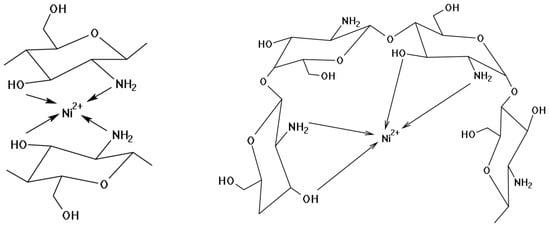
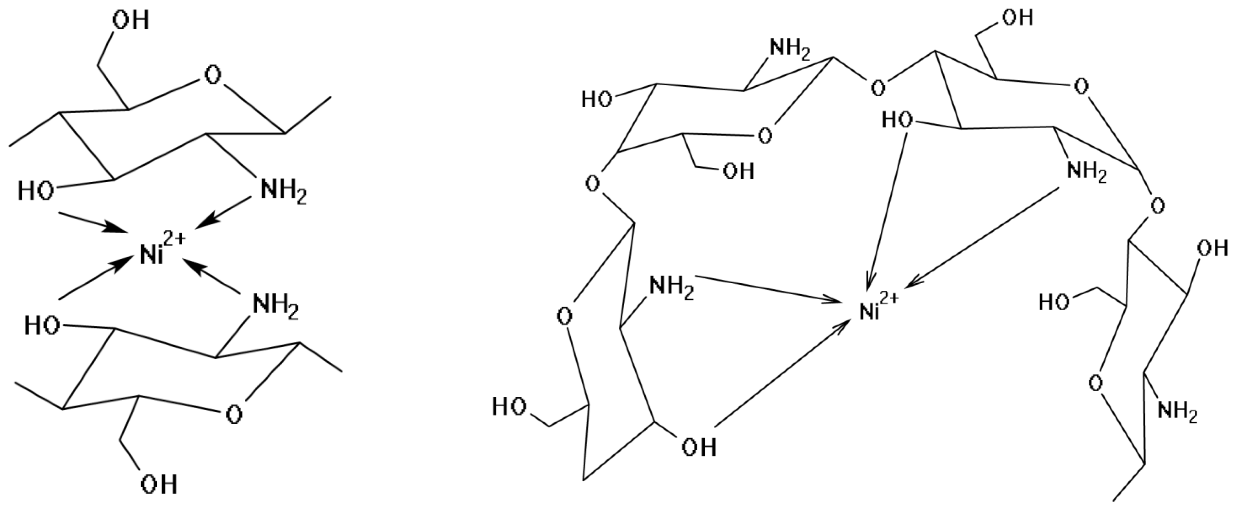
2.1. Characteristics of Materials
2.1.1. Elemental Analysis
2.1.2. X-Ray
2.1.3. TPR–H2
2.1.4. IR Spectroscopy
2.1.5. Raman Spectroscopy
2.1.6. Morphology Characterization
2.1.7. XPS
2.2. Catalytic Activity
2.3. Characteristics of the Carbon Product
3. Materials and Methods
3.1. Synthesis of Composite Materials
3.2. Sample Research Methods
3.2.1. Elemental Analysis
3.2.2. Transmission and Scanning Electron Microscopy
3.2.3. Raman Spectroscopy
3.2.4. IR Spectroscopy
3.2.5. XRD
3.2.6. The Surface Area
3.2.7. TPR-H2
3.2.8. XPS Spectroscopy
3.3. Catalyst Activity Test
4. Conclusions
Supplementary Materials
Author Contributions
Funding
Institutional Review Board Statement
Informed Consent Statement
Data Availability Statement
Acknowledgments
Conflicts of Interest
Abbreviations
| CDM | Catalytic decomposition of methane |
| SEM | Scanning electron microscopy |
| TEM | Transmission electron microscopy |
| XRD | X-ray diffraction |
| FTIR | Fourier transform infrared spectroscopy |
| TPR–H2 | Temperature programmed reduction |
| SSA | Specific surface area |
| BET | Brunauer–Emmett–Teller |
| BJH | Barrett–Joyner–Halenda |
| Ni/Ch | Composites synthesized by the matrix isolation method |
| GHSV | Gas hourly space velocity, h−1 |
| MWCNTs | Multi-walled carbon nanotubes |
| Ssp | Surface area, m2/g |
| Smeso | Mesopore surface area, m2/g |
| Smicro | Micropore surface area, m2/g |
| Sext | External surface area, m2/g |
| Vpore | Total pore volume, mL/g |
| Vmeso | Mesopore volume, mL/g |
| Vmicro | Micropore volume, mL/g |
| D | Pore size, nm |
| XCH4 | Methane conversion, % |
| A | Activity, gH2/gCat/h |
| Hydrogen content, vol. % | |
| Methane content, vol. % |
References
- Tsyganov, V.N. The Role of Innovative Materials and Nanotechnologies in the Development of Production Processes and Their Economic Impact. Environ. Manag. Issues 2024, 3, 7–15. [Google Scholar] [CrossRef]
- Elbakyan, L.; Zaporotskova, I. Composite Nanomaterials Based on Polymethylmethacrylate Doped with Carbon Nanotubes and Nanoparticles: A Review. Polymers 2024, 16, 1242. [Google Scholar] [CrossRef] [PubMed]
- Malik, S.; Muhammad, K.; Waheed, Y. Nanotechnology: A Revolution in Modern Industry. Molecules 2023, 28, 661. [Google Scholar] [CrossRef] [PubMed]
- Talebian, S.; Rodrigues, T.; das Neves, J.; Sarmento, B.; Langer, R.; Conde, J. Facts and Figures on Materials Science and Nanotechnology Progress and Investment. ACS Nano 2021, 15, 15940–15952. [Google Scholar] [CrossRef]
- Schaming, D.; Remita, H. Nanotechnology: From the Ancient Time to Nowadays. Found. Chem. 2015, 17, 187–205. [Google Scholar] [CrossRef]
- Nasrollahzadeh, M.; Sajadi, S.M.; Sajjadi, M.; Issaabadi, Z. An Introduction to Nanotechnology. Interface Sci. Technol. 2019, 28, 1–27. [Google Scholar] [CrossRef]
- Tretyakov, Y.D.; Goodilin, E.A. Key Trends in Basic and Application-Oriented Research on Nanomaterials. Russ. Chem. Rev. 2009, 78, 801–820. [Google Scholar] [CrossRef]
- Kulikova, M.V.; Zemtsov, L.M.; Sagitov, S.A.; Efimov, M.N.; Krylova, A.Y.; Karpacheva, G.P.; Khadzhiev, S.N. Fischer-Tropsch Synthesis in the Presence∣ of Cobalt-Containing Composite Materials Based on Carbon. Solid Fuel Chem. 2014, 48, 105–111. [Google Scholar] [CrossRef]
- Auyezkhanova, A.S.; Talgatov, E.T.; Akhmetova, S.N.; Jumekeyeva, A.I.; Naizabayev, A.A.; Zamanbekova, A.T.; Malgazhdarova, M.K. Effect of Support and Polymer Modifier on the Catalytic Performance of Supported Palladium Catalysts in Hydrogenation. Molecules 2025, 30, 3820. [Google Scholar] [CrossRef]
- Gross, E.; Toste, F.D.; Somorjai, G.A. Polymer-Encapsulated Metallic Nanoparticles as a Bridge Between Homogeneous and Heterogeneous Catalysis. Catal. Lett. 2015, 145, 126–138. [Google Scholar] [CrossRef]
- Na, K.; Zhang, Q.; Somorjai, G.A. Colloidal Metal Nanocatalysts: Synthesis, Characterization, and Catalytic Applications. J. Clust. Sci. 2014, 25, 83–114. [Google Scholar] [CrossRef]
- Chen, J.; Liu, B.; Gao, X.; Xu, D. A Review of the Interfacial Characteristics of Polymer Nanocomposites Containing Carbon Nanotubes. RSC Adv. 2018, 8, 28048–28085. [Google Scholar] [CrossRef]
- Ribeiro, B.; Botelho, E.C.; Costa, M.L.; Bandeira, C.F. Carbon Nanotube Buckypaper Reinforced Polymer Composites: A Review. Polímeros 2017, 27, 247–255. [Google Scholar] [CrossRef]
- Kulikova, M.V.; Ivantsov, M.I.; Sotnikova, A.E.; Samoilov, V.O. Catalytic Design of Matrix-Isolated Ni-Polymer Composites for Methane Catalytic Decomposition. Polymers 2023, 15, 2534. [Google Scholar] [CrossRef] [PubMed]
- Beyou, E.; Bourgeat-Lami, E. Organic–Inorganic Hybrid Functional Materials by Nitroxide-Mediated Polymerization. Prog. Polym. Sci. 2021, 121, 101434. [Google Scholar] [CrossRef]
- Oliveira, L.R.; Nassar, E.J.; da Silva Barud, H.; Silva, J.M.; Rocha, L.A. Polymer and Biopolymer Organic-Inorganic Composites Containing Mixed Oxides for Application in Energy up- and down-Conversion. Opt. Mater. 2022, 134, 113189. [Google Scholar] [CrossRef]
- Bukharbayeva, F.; Zharmagambetova, A.; Talgatov, E.; Auyezkhanova, A.; Akhmetova, S.; Jumekeyeva, A.; Naizabayev, A.; Kenzheyeva, A.; Danilov, D. The Synthesis of Green Palladium Catalysts Stabilized by Chitosan for Hydrogenation. Molecules 2024, 29, 4584. [Google Scholar] [CrossRef] [PubMed]
- Wissing, M.; Niehues, M.; Ravoo, B.J.; Studer, A. Synthesis and Immobilization of Metal Nanoparticles Using Photoactive Polymer-Decorated Zeolite L Crystals and Their Application in Catalysis. Adv. Synth. Catal. 2020, 362, 2245–2253. [Google Scholar] [CrossRef]
- Nagarjuna, R.; Sharma, S.; Rajesh, N.; Ganesan, R. Effective Adsorption of Precious Metal Palladium over Polyethyleneimine-Functionalized Alumina Nanopowder and Its Reusability as a Catalyst for Energy and Environmental Applications. ACS Omega 2017, 2, 4494–4504. [Google Scholar] [CrossRef]
- Madani, M.; Hosny, S.; Alshangiti, D.M.; Nady, N.; Alkhursani, S.A.; Alkhaldi, H.; Al-Gahtany, S.A.; Ghobashy, M.M.; Gaber, G.A. Green Synthesis of Nanoparticles for Varied Applications: Green Renewable Resources and Energy-Efficient Synthetic Routes. Nanotechnol. Rev. 2022, 11, 731–759. [Google Scholar] [CrossRef]
- Zheng, Y.; Monty, J.; Linhardt, R.J. Polysaccharide-Based Nanocomposites and Their Applications. Carbohydr. Res. 2015, 405, 23–32. [Google Scholar] [CrossRef]
- Akhmetova, S.; Zharmagambetova, A.; Talgatov, E.; Auyezkhanova, A.; Malgazhdarova, M.; Zhurinov, M.; Abilmagzhanov, A.; Jumekeyeva, A.; Kenzheyeva, A. How the Chemical Properties of Polysaccharides Make It Possible to Design Various Types of Organic–Inorganic Composites for Catalytic Applications. Molecules 2024, 29, 3214. [Google Scholar] [CrossRef]
- Zafar, R.; Zia, K.M.; Tabasum, S.; Jabeen, F.; Noreen, A.; Zuber, M. Polysaccharide Based Bionanocomposites, Properties and Applications: A Review. Int. J. Biol. Macromol. 2016, 92, 1012–1024. [Google Scholar] [CrossRef]
- de Almeida, D.A.; Sabino, R.M.; Souza, P.R.; Bonafé, E.G.; Venter, S.A.S.; Popat, K.C.; Martins, A.F.; Monteiro, J.P. Pectin-Capped Gold Nanoparticles Synthesis In-Situ for Producing Durable, Cytocompatible, and Superabsorbent Hydrogel Composites with Chitosan. Int. J. Biol. Macromol. 2020, 147, 138–149. [Google Scholar] [CrossRef]
- Khazaei, A.; Khazaei, M.; Rahmati, S. A Green Method for the Synthesis of Gelatin/Pectin Stabilized Palladium Nano-Particles as Efficient Heterogeneous Catalyst for Solvent-Free Mizoroki–Heck Reaction. J. Mol. Catal. A Chem. 2015, 398, 241–247. [Google Scholar] [CrossRef]
- Biernat, M.; Woźniak, A.; Chraniuk, M.; Panasiuk, M.; Tymowicz-Grzyb, P.; Pagacz, J.; Antosik, A.; Ciołek, L.; Gromadzka, B.; Jaegermann, Z. Effect of Selected Crosslinking and Stabilization Methods on the Properties of Porous Chitosan Composites Dedicated for Medical Applications. Polymers 2023, 15, 2507. [Google Scholar] [CrossRef]
- Kishore, M.; Hussein, S.A.M.; Abdoon, F.M.; Bindu, G.N.H.; Hamad, A.A.; Saxena, K.K.; Raj R, G.; Kumar, A.; Srinivas, T. Chitosan–PVA Composite Reinforced with Cu-Decorated ZnO Nanoparticles for Photocatalytic Dye Degradation. Chem. Phys. Impact 2025, 11, 100953. [Google Scholar] [CrossRef]
- Kulikova, M.; Chudakova, M.; Ivantsov, M.; Kuz’min, A.; Krylova, A.; Maksimov, A. Properties of Cu-Co Composite Catalysts for Synthesis of Aliphatic Alcohols. J. Braz. Chem. Soc. 2021, 31, 287–298. [Google Scholar] [CrossRef]
- Zeng, H.; Ma, G.; Zheng, X.; Lin, D.; Zhang, J.; Li, D. Preparation, Application and Regeneration of Chitosan Composite Adsorbents for Arsenic Removal: A Review from a Sustainable Perspective. Int. J. Biol. Macromol. 2025, 330, 148156. [Google Scholar] [CrossRef]
- Zare, Y.; Shabani, I. Polymer/Metal Nanocomposites for Biomedical Applications. Mater. Sci. Eng. C 2016, 60, 195–203. [Google Scholar] [CrossRef] [PubMed]
- Rajpoot, A.; Khan, A.A.; Ahmad, E. Boosting Turquoise Hydrogen and Carbon Nanotube Production via Catalytic Methane Decomposition: Influence of Active Metal Ratios in Fe5–Co–Zn/γ-Al2O3 Nanocatalysts. Nanoscale Adv. 2025, 7, 5067–5079. [Google Scholar] [CrossRef]
- Horváth, A.; Németh, M.; Beck, A.; Olasz, D.; Serényi, M.; Sáfrán, G. Dramatic Interference of Au TEM Grid with Model and Supported MoNi/MgO Catalysts during High Temperature Reduction and Methane Decomposition. Mater. Today Nano 2025, 32, 100690. [Google Scholar] [CrossRef]
- Sotnikova, A.; Ivantsov, M.; Lubavina, V.; Kulikova, M. Production of Turquoise Hydrogen by Methane Decomposition in the Presence of Ni/Cu/C-Containing Composite Catalysts. Int. J. Hydrogen Energy 2025, 196, 152568. [Google Scholar] [CrossRef]
- Pudukudy, M.; Yaakob, Z. Methane Decomposition over Ni, Co and Fe Based Monometallic Catalysts Supported on Sol Gel Derived SiO2 Microflakes. Chem. Eng. J. 2015, 262, 1009–1021. [Google Scholar] [CrossRef]
- Huang, J.; Liu, T.; Wang, K.; Huang, Z.; Wang, J.; Rokhum, S.L.; Li, H. Room-Temperature and Carbon-Negative Production of Biodiesel via Synergy of Geminal-Atom and Photothermal Catalysis. Environ. Chem. Lett. 2024, 22, 1607–1613. [Google Scholar] [CrossRef]
- Guo, Z.; Zhou, P.; Jiang, L.; Liu, S.; Yang, Y.; Li, Z.; Wu, P.; Zhang, Z.; Li, H. Electron Localization-Triggered Proton Pumping Toward Cu Single Atoms for Electrochemical CO2 Methanation of Unprecedented Selectivity. Adv. Mater. 2024, 36, e2311149. [Google Scholar] [CrossRef]
- Yang, M.; Gao, W.; Zhang, H.; Li, S.; Mikulčič, H.; Baeyens, J. Catalytic Methane Decomposition on an Fe-Catalyst, Coated on a Novel Fleece Reactor. Energy 2025, 335, 138340. [Google Scholar] [CrossRef]
- Kosari, M.; Portillo, S.B.; Xi, S.; Pedersen, A.; Talpade, A.; Li, F. Zr-Promoted Ni Nanoparticles in Mesoporous Silica Spheres (NiZr/MSiO2) for Catalytic Decomposition of Methane. Chem. Eng. J. 2025, 507, 160328. [Google Scholar] [CrossRef]
- Lubavina, V.V.; Sotnikova, A.E.; Krysanova, K.O.; Ivantsov, M.I.; Kulikova, M.V. Iron and Biochar-Based Catalysts (Fe/C) for Hydrogen Production by Methane Decomposition. Russ. J. Inorg. Chem. 2025, 70, 1493–1500. [Google Scholar] [CrossRef]
- Pati, S.; Jangam, A. Hydrogen Production from Catalytic Methane Decomposition Using Ni-Phyllosilicate Functionalized Zeolite Membrane Reactor. Surf. Interfaces 2025, 75, 107811. [Google Scholar] [CrossRef]
- Kim, N.Y.; Choi, D.S.; Kim, J.; Kim, D.W.; Joo, J.B. Synthesis of Waste-Derived Nickel-Supported Red Mud Catalysts Containing Various Ni–Fe Alloy Species for Fixed-Bed Catalytic Methane Decomposition. J. Environ. Chem. Eng. 2025, 13, 118461. [Google Scholar] [CrossRef]
- Gazi, M.J.; Bahuguna, A.; Panda, S.; Rana, B.S.; Naik, D.V.; Bhandari, S.; Bordoloi, A. Synthesis of Ni-Fe Particle Embedded CNx Matrix for Efficient Catalytic Methane Decomposition. Int. J. Hydrogen Energy 2025, 101, 1518–1531. [Google Scholar] [CrossRef]
- Patlolla, S.R.; Katsu, K.; Sharafian, A.; Wei, K.; Herrera, O.E.; Mérida, W. A Review of Methane Pyrolysis Technologies for Hydrogen Production. Renew. Sustain. Energy Rev. 2023, 181, 113323. [Google Scholar] [CrossRef]
- Zhang, J.; Li, X.; Chen, H.; Qi, M.; Zhang, G.; Hu, H.; Ma, X. Hydrogen Production by Catalytic Methane Decomposition: Carbon Materials as Catalysts or Catalyst Supports. Int. J. Hydrogen Energy 2017, 42, 19755–19775. [Google Scholar] [CrossRef]
- Tian, M.; Li, K.; Zhu, X.; Wei, Y.; Zheng, Y.; Zhang, L.; Long, Y.; Wang, H. Modified Al@Al2O3 Phase Change Materials by Carbon via In-Situ Catalytic Decomposition of Methane. Sol. Energy Mater. Sol. Cells 2019, 200, 109924. [Google Scholar] [CrossRef]
- Lawrie, G.; Keen, I.; Drew, B.; Chandler-Temple, A.; Rintoul, L.; Fredericks, P.; Grøndahl, L. Interactions between Alginate and Chitosan Biopolymers Characterized Using FTIR and XPS. Biomacromolecules 2007, 8, 2533–2541. [Google Scholar] [CrossRef] [PubMed]
- Pawlak, A.; Mucha, M. Thermogravimetric and FTIR Studies of Chitosan Blends. Thermochim. Acta 2003, 396, 153–166, Erratrum in Thermochim. Acta 2004, 409, 95–97. [Google Scholar] [CrossRef]
- Xu, Y.X.; Kim, K.M.; Hanna, M.A.; Nag, D. Chitosan–Starch Composite Film: Preparation and Characterization. Ind. Crops Prod. 2005, 21, 185–192. [Google Scholar] [CrossRef]
- Wang, X.; Du, Y.; Fan, L.; Liu, H.; Hu, Y. Chitosan-Metal Complexes as Antimicrobial Agent: Synthesis, Characterization and Structure-Activity Study. Polym. Bull. 2005, 55, 105–113. [Google Scholar] [CrossRef]
- Tang, L.-G.; Hon, D.N.-S. Chelation of Chitosan Derivatives with Zinc Ions. II. Association Complexes of Zn2+ OntoO,N-Carboxymethyl Chitosan. J. Appl. Polym. Sci. 2001, 79, 1476–1485. [Google Scholar] [CrossRef]
- Tarasevich, B.N. IR Spectra of the Main Classes of Organic Compounds; MSU: Moscow, Russia, 2012. [Google Scholar]
- Kaczmarek, H.; Zawadzki, J. Chitosan Pyrolysis and Adsorption Properties of Chitosan and Its Carbonizate. Carbohydr. Res. 2010, 345, 941–947. [Google Scholar] [CrossRef]
- Zheng, A.; Jiang, L.; Zhao, Z.; Huang, Z.; Zhao, K.; Wei, G.; Wang, X.; He, F.; Li, H. Impact of Torrefaction on the Chemical Structure and Catalytic Fast Pyrolysis Behavior of Hemicellulose, Lignin, and Cellulose. Energy Fuels 2015, 29, 8027–8034. [Google Scholar] [CrossRef]
- Rybarczyk, M.K.; Lieder, M.; Jablonska, M. N-Doped Mesoporous Carbon Nanosheets Obtained by Pyrolysis of a Chitosan–Melamine Mixture for the Oxygen Reduction Reaction in Alkaline Media. RSC Adv. 2015, 5, 44969–44977. [Google Scholar] [CrossRef]
- Hu, J.; He, Y.; Zhang, J.; Chen, L.; Zhou, Y.; Zhang, J.; Tao, H.; Zhou, N.; Mi, B.; Wu, F. In-Situ Catalytic Pyrolysis of Biomass with Nickel Salts: Effect of Nickel Salt Type. J. Anal. Appl. Pyrolysis 2023, 172, 106029. [Google Scholar] [CrossRef]
- Trimukhe, K.; Varma, A. A Morphological Study of Heavy Metal Complexes of Chitosan and Crosslinked Chitosans by SEM and WAXRD. Carbohydr. Polym. 2008, 71, 698–702. [Google Scholar] [CrossRef]
- Lewandowska, K.; Sionkowska, A.; Kaczmarek, B.; Furtos, G. Characterization of Chitosan Composites with Various Clays. Int. J. Biol. Macromol. 2014, 65, 534–541. [Google Scholar] [CrossRef] [PubMed]
- Dementjev, A.; de Graaf, A.; van de Sanden, M.C.; Maslakov, K.; Naumkin, A.; Serov, A. X-Ray Photoelectron Spectroscopy Reference Data for Identification of the C3 N4 Phase in Carbon–Nitrogen Films. Diam. Relat. Mater. 2000, 9, 1904–1907. [Google Scholar] [CrossRef]
- Kvon, R.I.; Il’inich, G.N.; Chuvilin, A.L.; Likholobov, V.A. XPS and TEM Study of New Carbon Material: N-Containing Catalytic Filamentous Carbon. J. Mol. Catal. A Chem. 2000, 158, 413–416. [Google Scholar] [CrossRef]
- Ayiania, M.; Smith, M.; Hensley, A.J.R.; Scudiero, L.; McEwen, J.-S.; Garcia-Perez, M. Deconvoluting the XPS Spectra for Nitrogen-Doped Chars: An Analysis from First Principles. Carbon 2020, 162, 528–544. [Google Scholar] [CrossRef]
- Tian, K.; Wang, J.; Cao, L.; Yang, W.; Guo, W.; Liu, S.; Li, W.; Wang, F.; Li, X.; Xu, Z.; et al. Single-Site Pyrrolic-Nitrogen-Doped Sp2-Hybridized Carbon Materials and Their Pseudocapacitance. Nat. Commun. 2020, 11, 3884. [Google Scholar] [CrossRef]
- Zhang, C.; Shahcheraghi, L.; Ismail, F.; Eraky, H.; Yuan, H.; Hitchcock, A.P.; Higgins, D. Chemical Structure and Distribution in Nickel–Nitrogen–Carbon Catalysts for CO2 Electroreduction Identified by Scanning Transmission X-Ray Microscopy. ACS Catal. 2022, 12, 8746–8760. [Google Scholar] [CrossRef]
- Grosvenor, A.P.; Biesinger, M.C.; Smart, R.S.C.; McIntyre, N.S. New Interpretations of XPS Spectra of Nickel Metal and Oxides. Surf. Sci. 2006, 600, 1771–1779. [Google Scholar] [CrossRef]
- Tarditi, A.M.; Barroso, N.; Galetti, A.E.; Arrúa, L.A.; Cornaglia, L.; Abello, M.C. XPS Study of the Surface Properties and Ni Particle Size Determination of Ni-Supported Catalysts. Surf. Interface Anal. 2014, 46, 521–529. [Google Scholar] [CrossRef]
- Zhao, T.; Wang, S.; Li, Y.; Jia, C.; Su, Z.; Hao, D.; Ni, B.; Zhang, Q.; Zhao, C. Heterostructured V-Doped Ni2P/Ni12P5 Electrocatalysts for Hydrogen Evolution in Anion Exchange Membrane Water Electrolyzers. Small 2022, 18, e2204758. [Google Scholar] [CrossRef]
- Easton, C.D.; Morgan, D.J. Critical Examination of the Use of X-Ray Photoelectron Spectroscopy (XPS) O 1 s to Characterize Oxygen Vacancies in Catalytic Materials and Beyond. J. Vac. Sci. Technol. A 2025, 43, 053205. [Google Scholar] [CrossRef]
- Hao, J.; Wang, X.; Wang, Y.; Lai, X.; Guo, Q.; Zhao, J.; Yang, Y.; Li, Y. Hierarchical Structure N, O-Co-Doped Porous Carbon/Carbon Nanotube Composite Derived from Coal for Supercapacitors and CO2 Capture. Nanoscale Adv. 2020, 2, 878–887. [Google Scholar] [CrossRef]
- Blume, A.R.; Calvet, W.; Ghafari, A.; Mayer, T.; Knop-Gericke, A.; Schlögl, R. Structural and Chemical Properties of NiOx Thin Films: The Role of Oxygen Vacancies in NiOOH Formation in a H2O Atmosphere. Phys. Chem. Chem. Phys. 2023, 25, 25552–25565. [Google Scholar] [CrossRef] [PubMed]
- Yoon, B.S.; Kim, K.C.; Kim, M.-J.; Youn, J.-R.; Kim, M.; Jung, T.; Jeon, S.G.; Kim, W.; Ko, C.H. Production of CO2-Free Hydrogen via Catalytic Methane Decomposition over Ce-Promoted Ni/Al2O3 Catalysts. Fuel Process. Technol. 2025, 278, 108338. [Google Scholar] [CrossRef]
- Bibak, F.; Meshkani, F. Promotion Effect of the Rare Earth Metals (Cerium, Lanthanum, and Yttrium) on the Catalytic Performance of Ni/Al2O3 Catalyst Fabricate via the Neoteric One-Pot Hydrothermal Method for Methane Decomposition. Fuel 2024, 366, 131048. [Google Scholar] [CrossRef]
- Tenório, N.V.N.; Motta, R.J.B.; Meneghetti, S.M.P.; de Almeida, R.M. Application of the Modified Pechini Method Through the Addition of Glycerol in the Synthesis of Fe/Al2O3 and Ni/Al2O3 Catalysts for Methane Decomposition. Waste Biomass Valorization 2025. [Google Scholar] [CrossRef]
- Gubanov, M.A.; Ivantsov, M.I.; Kulikova, M.V.; Kryuchkov, V.A.; Nikitchenko, N.V.; Knyazeva, M.I.; Kulikov, A.B.; Pimenov, A.A.; Maksimov, A.L. Methane Decomposition Nickel Catalysts Based on Structured Supports. Pet. Chem. 2020, 60, 1043–1051. [Google Scholar] [CrossRef]
- Sotnikova, A.; Ivantsov, M.; Kulikov, A.; Kulikova, M. Influence of MgO Promoution to Ni-Based Composites in Hydrogen Production Methane Decomposition Process. Int. J. Hydrogen Energy 2024, 57, 1208–1220. [Google Scholar] [CrossRef]
- Abbas, H.F.; Wan Daud, W.M.A. Hydrogen Production by Methane Decomposition: A Review. Int. J. Hydrogen Energy 2010, 35, 1160–1190. [Google Scholar] [CrossRef]
- MURADOV, N.; VEZIROLU, T. From Hydrocarbon to Hydrogen?Carbon to Hydrogen Economy. Int. J. Hydrogen Energy 2005, 30, 225–237. [Google Scholar] [CrossRef]
- López-Díaz, D.; Delgado-Notario, J.A.; Clericò, V.; Diez, E.; Merchán, M.D.; Velázquez, M.M. Towards Understanding the Raman Spectrum of Graphene Oxide: The Effect of the Chemical Composition. Coatings 2020, 10, 524. [Google Scholar] [CrossRef]
- Kazemi, S.; Alavi, S.M.; Rezaei, M. Influence of Various Spinel Materials Supported Ni Catalysts on Thermocatalytic Decomposition of Methane for the Production of COx-Free Hydrogen. Fuel Process. Technol. 2023, 240, 107575. [Google Scholar] [CrossRef]
- Awadallah, A.E.; Aboul-Enein, A.A.; Deyab, M.A.; Azab, M.A.; Haggar, A.M. Impact of Cr Doping on the Performance of Ni/Al2O3 Catalyst through Methane Decomposition into COx-Free Hydrogen and Carbon Nanomaterials. Chem. Eng. Res. Des. 2022, 186, 701–712. [Google Scholar] [CrossRef]
- Alharthi, A.I.; Alotaibi, M.A.; Abdel-Fattah, E.M.; Qahtan, T.F.; Alshreef, O.A. The Role of Promoters on NiO Catalysts for Methane Decomposition and Hydrogen Production. Sci. Rep. 2025, 15, 21448. [Google Scholar] [CrossRef]
- Zhang, P.; Fan, J.; Wang, Y.; Dang, Y.; Heumann, S.; Ding, Y. Insights into the Role of Defects on the Raman Spectroscopy of Carbon Nanotube and Biomass-Derived Carbon. Carbon 2024, 222, 118998. [Google Scholar] [CrossRef]
- Singh, K.; Chaudhary, S.; Venugopal, R.; Gaurav, A. Bulk Synthesis of Multi-Walled Carbon Nanotubes by AC Arc Discharge Method. Proc. Inst. Mech. Eng. Part N J. Nanomater. Nanoeng. Nanosyst. 2017, 231, 141–151. [Google Scholar] [CrossRef]









| No | Sample | Ni, wt.% from Chitosan | Content, wt.% | ||||
|---|---|---|---|---|---|---|---|
| Ni | C | N | H | O | |||
| 1 | Ni/Ch–1 | 5 | 10.8 | 61.7 | 11.3 | 2.1 | 14.0 |
| 2 | Ni/Ch–2 | 10 | 20.4 | 55.3 | 10.8 | 2.0 | 11.4 |
| 3 | Ni/Ch–3 | 15 | 28.7 | 43.9 | 7.9 | 1.3 | 18.2 |
| 4 | Ni/Ch–4 | 20 | 47.5 | 40.7 | 6.7 | 1.1 | 4.1 |
| No | Wavenumbers, cm−1 | Comments | ||||
|---|---|---|---|---|---|---|
| Chitosan | Ni/Ch–1 | Ni/Ch–2 | Ni/Ch–3 | Ni/Ch–4 | ||
| 1 | 3366 | 3362 | 3317 | 3308 | 3311 | Stretching vibrations OH and NH |
| 2 | - | 3177 | 3180 | 3178 | 3179 | |
| 3 | 2914 | 2925 | 2925 | 2928 | 2927 | Stretching vibrations of –CH2 |
| 4 | 2874 | 2851 | 2854 | 2854 | 2854 | |
| 5 | 1653 | 1628 | 1629 | 1617 | 1601 | Stretching vibrations of C=O (amide I) |
| 6 | 1593 | 1548 | 1543 | 1551 | 1555 | Deformation vibrations of NH |
| 7 | 1423 | is blocked by another lane | Stretching vibrations of –CH2 | |||
| 8 | 1320 | |||||
| 9 | 1262 | 1252 | 1251 | 1256 | 1254 | Cyclic ethers, ring stretching vibrations |
| 10 | 1253 | 1253 | 1253 | 1253 | 1254 | Stretching vibrations of –CH2 |
| 11 | 1153 | 1153 | 1153 | 1154 | 1155 | Refers to the structure of the saccharide |
| 12 | 1109 | 1111 | 1111 | 1113 | 1113 | Stretching vibrations of C-O |
| 13 | 1032 | 1032 | 1025 | 1025 | 1025 | |
| 14 | 947 | 945 | 945 | 946 | 947 | Cyclic ethers, ring stretching vibrations |
| 15 | 896 | 896 | 894 | 896 | 894 | |
| 16 | - | 827 | 827 | 827 | 827 | Nitro compounds R-NO2 |
| No | Sample | Ssp, m2/g | Smeso, m2/g | Smicro, m2/g | Sext, m2/g | Vpore, mL/g | Vmeso, mL/g | Vmicro, mL/g | D, nm |
|---|---|---|---|---|---|---|---|---|---|
| 1 | Ni/Ch–1 | 26 | 1 | 24 | 1 | 0.03 | 0.00 | 0.03 | 4.0 |
| 2 | Ni/Ch–2 | 257 | 9 | 244 | 4 | 0.14 | 0.03 | 0.11 | 2.2 |
| 3 | Ni/Ch–3 | 269 | 44 | 206 | 19 | 0.25 | 0.15 | 0.10 | 3.7 |
| 4 | Ni/Ch–4 | 224 | 63 | 132 | 29 | 0.30 | 0.24 | 0.06 | 5.3 |
| No | Sample | Content | Element | |||
|---|---|---|---|---|---|---|
| Ni | C | N | O | |||
| 1 | Ni/Ch–1 | at.% | 1.2 | 82.2 | 9.1 | 7.5 |
| 2 | Ni/Ch–2 | at.% | 1.8 | 78.9 | 10.0 | 9.3 |
| 3 | Ni/Ch–3 | at.% | 3.2 | 79.5 | 8.4 | 8.9 |
| 4 | Ni/Ch–4 | at.% | 4.8 | 78.2 | 6.2 | 10.8 |
| No | Sample | Element | Binding Energy, eV | FWHM, eV | % | Compound Type |
|---|---|---|---|---|---|---|
| 1 | Ni/Ch–1 | C 1 s | 285.6 | 2.16 | 39.6 | C-O/sp2 C-N |
| 284.8 | 1.54 | 40.0 | C-C | |||
| 289.6 | 4.23 | 7.7 | -COO-/CO32− | |||
| 287.2 | 3.32 | 12.7 | C=O/sp3 C-N | |||
| N 1 s | 399.8 | 2.14 | 41.4 | Pyrrole nitrogen | ||
| 397.9 | 1.90 | 52.9 | Pyridinic nitrogen | |||
| 402.7 | 3.05 | 5.7 | Tetracoordinate nitrogen | |||
| Ni 2 p3/2 | 861.0 | 6.10 | 28.3 | Satellite | ||
| 854.9 | 1.79 | 14.3 | Ni2+ | |||
| 854.1 | 3.70 | 49.8 | Ni2+ | |||
| 856.1 | 1.97 | 7.7 | Ni(OH)2 | |||
| O 1 s | 532.8 | 3.369 | 66.1 | C=O/COOH/C-O | ||
| 531.2 | 2.024 | 24.7 | OH | |||
| 530.4 | 2.60 | 9.2 | Me-O | |||
| 2 | Ni/Ch–2 | C 1 s | 291.5 | 2.53 | 2.2 | π-π * shake-up |
| 284.0 | 1.49 | 15.8 | C=C | |||
| 288.7 | 3.27 | 10.3 | C=O/C(O)O- | |||
| 284.5 | 1.26 | 22.4 | C-C | |||
| 286.8 | 1.89 | 10.9 | C-O-C/C-OH | |||
| 285.4 | 1.76 | 38.5 | C-O/sp2 C-N | |||
| N 1 s | 400.3 | 2.10 | 39.4 | Pyrrole nitrogen | ||
| 398.5 | 1.81 | 49.5 | Pyridinic nitrogen | |||
| 403.0 | 5.47 | 11.1 | Oxidized N (pyridine-N-O) | |||
| Ni 2 p3/2 | 854.8 | 2.98 | 52.0 | Ni2+ | ||
| 852.5 | 1.51 | 17.2 | Ni met | |||
| 859.7 | 7.53 | 30.8 | Satellite | |||
| O 1 s | 531.4 | 1.64 | 22.7 | OH/C-O | ||
| 532.9 | 3.11 | 63.3 | C=O/COOH/C-O | |||
| 530.5 | 2.03 | 14.0 | Me-O | |||
| 3 | Ni/Ch–3 | C 1 s | 284.3 | 1.50 | 35.6 | C=C |
| 285.0 | 2.02 | 35.0 | C-C | |||
| 291.8 | 3.97 | 3.0 | π-π * shake-up | |||
| 287.4 | 3.59 | 11.5 | C=O/sp3 C-N | |||
| 286.1 | 2.07 | 9.0 | C-O-C/C-OH/sp2 C-N | |||
| 289.1 | 3.87 | 5.9 | -COO-/CO32− | |||
| N 1 s | 399.6 | 3.13 | 68.9 | Pyrrole nitrogen | ||
| 398.2 | 1.40 | 19.5 | Pyridinic nitrogen | |||
| 404.3 | 6.27 | 11.6 | Oxidized N (pyridine-N-O) | |||
| Ni 2 p3/2 | 853.8 | 3.96 | 54.1 | Ni2+ | ||
| 852.5 | 1.32 | 28.3 | Ni met | |||
| 858.7 | 5.07 | 17.6 | Satellite | |||
| O 1 s | 531.2 | 2.41 | 67.3 | OH/C-O | ||
| 533.2 | 2.47 | 29.3 | C=O/COOH/C-O | |||
| 529.5 | 0.99 | 3.4 | Me-O | |||
| 4 | Ni/Ch–4 | C 1 s | 285.7 | 1.90 | 45.6 | C-O-C/C-OH/sp2 C-N |
| 284.8 | 1.23 | 16.2 | C-C | |||
| 289.6 | 2.02 | 6.5 | -COO-/CO32− | |||
| 287.3 | 2.09 | 11.7 | C=O/sp3 C-N | |||
| 291.9 | 1.10 | 0.8 | π-π * shake-up | |||
| 284.4 | 1.50 | 19.3 | C=C | |||
| N 1 s | 399.7 | 2.72 | 57.9 | Pyrrole nitrogen | ||
| 398.0 | 1.51 | 30.6 | Pyridinic nitrogen | |||
| 404.4 | 4.88 | 11.6 | Oxidized N (pyridine-N-O) | |||
| Ni 2 p3/2 | 851.8 | 1.17 | 18.1 | Ni met | ||
| 852.4 | 2.95 | 48.9 | Ni+ | |||
| 857.9 | 5.29 | 22.5 | Satellite | |||
| 854.9 | 2.04 | 10.5 | NiO/Ni(Ni(OH)2) | |||
| O 1 s | 530.3 | 1.62 | 24.1 | Me-O | ||
| 532.9 | 2.69 | 42.2 | C=O/COOH/C-O | |||
| 531.4 | 1.83 | 23.5 | -OH | |||
| 528.9 | 1.41 | 10.3 | Me-O |
| No | Temperature, °C | Sample | XCH4, % | A, gH2/gcat/h | Yield, gH2/gNi/h |
|---|---|---|---|---|---|
| 1 | 550 | Ni/Ch–1 | 0.8 | 0.01 | 0.09 |
| Ni/Ch–2 | 0.8 | 0.02 | 0.08 | ||
| Ni/Ch–3 | 1.0 | 0.02 | 0.08 | ||
| Ni/Ch–4 | 12.7 | 0.32 | 0.68 | ||
| 2 | 700 | Ni/Ch–1 | 9.7 | 0.11 | 0.99 |
| Ni/Ch–2 | 19.7 | 0.39 | 1.90 | ||
| Ni/Ch–3 | 25.8 | 0.57 | 1.98 | ||
| Ni/Ch–4 | 24.2 | 0.62 | 1.30 | ||
| 3 | 950 | Ni/Ch–1 | 9.7 | 0.32 | 2.91 |
| Ni/Ch–2 | 26.7 | 0.53 | 2.58 | ||
| Ni/Ch–3 | 31.7 | 0.69 | 2.41 | ||
| Ni/Ch–4 | 37.2 | 0.95 | 2.00 |
| No | Sample | ID/IG | I2 D/IG |
|---|---|---|---|
| 1 | Ni/Ch–1 | 0.56–0.57 | 0.60–0.69 |
| 2 | Ni/Ch–2 | 0.57–0.63 | 0.87–0.91 |
| 3 | Ni/Ch–3 | 0.53–0.68 | 0.38–0.56 |
| 4 | Ni/Ch–4 | 0.71–0.76 | 1.34–1.43 |
Disclaimer/Publisher’s Note: The statements, opinions and data contained in all publications are solely those of the individual author(s) and contributor(s) and not of MDPI and/or the editor(s). MDPI and/or the editor(s) disclaim responsibility for any injury to people or property resulting from any ideas, methods, instructions or products referred to in the content. |
© 2026 by the authors. Licensee MDPI, Basel, Switzerland. This article is an open access article distributed under the terms and conditions of the Creative Commons Attribution (CC BY) license.
Share and Cite
Sotnikova, A.; Ivantsov, M.; Vasileva, V.; Kulikova, M. Catalytic Design of Matrix-Isolated Ni/Chitosan Composites for Methane Decomposition. Int. J. Mol. Sci. 2026, 27, 1255. https://doi.org/10.3390/ijms27031255
Sotnikova A, Ivantsov M, Vasileva V, Kulikova M. Catalytic Design of Matrix-Isolated Ni/Chitosan Composites for Methane Decomposition. International Journal of Molecular Sciences. 2026; 27(3):1255. https://doi.org/10.3390/ijms27031255
Chicago/Turabian StyleSotnikova, Anastasiia, Mikhail Ivantsov, Valeriia Vasileva, and Mayya Kulikova. 2026. "Catalytic Design of Matrix-Isolated Ni/Chitosan Composites for Methane Decomposition" International Journal of Molecular Sciences 27, no. 3: 1255. https://doi.org/10.3390/ijms27031255
APA StyleSotnikova, A., Ivantsov, M., Vasileva, V., & Kulikova, M. (2026). Catalytic Design of Matrix-Isolated Ni/Chitosan Composites for Methane Decomposition. International Journal of Molecular Sciences, 27(3), 1255. https://doi.org/10.3390/ijms27031255

