Carnosic Acid and Its Semisynthetic Derivatives as Promising Anticancer Agents
Abstract
1. Introduction
2. Chemical Structure and Natural Occurrence of Carnosic Acid
3. Biosynthesis of Carnosic Acid
4. Anticancer Activity of Carnosic Acid
| Type of Cancer | Cell Lines | Effects on Targeted Cells | Molecular Pathways/Targets | Ref. |
|---|---|---|---|---|
| Colorectal | Caco-2 | Antiproliferation Apoptosis Inhibition of cell adhesion, migration, and invasion | ↓ uPA activity, MMP-2/9 activity, COX-2 | [52] |
| Antiproliferation Cell cycle arrest (G2/M phase) | ↓ cyclin A | [53] | ||
| HT-29 | Antiproliferation Cell cycle arrest (G1 phase) Inhibition of cell adhesion, migration, and invasion | ↑ GCNT3, HO-1, SQSTM1, HSPA5 | [71] | |
| ↓ RRM1, TOP2A, COPS8, RBBP4, GMPS, HPRT1, MKI67, NAP1L1, NASP | ||||
| Antiproliferation Apoptosis | ↑ ROS | [51] | ||
| ↓ p-JAK2, p-Src, survivin, cyclin D1/D2, p-STAT3 | ||||
| Antiproliferation Apoptosis Cell cycle arrest (S phase) | ↑ Bax | [70] | ||
| ↓ Cyclin D1, CDK4, p-AKT, Bcl-xL | ||||
| HCT116 | Antiproliferation Apoptosis | ↑ c-caspase-3, Nrf2, sestrin-2 | [72] | |
| Antiproliferation Apoptosis | ↑ p53, Bax, c-caspases-3/9, c-PARP, ROS | [51] | ||
| ↓ Mdm2, Bcl-2, Bcl-xl, p-JAK2, p-Src, survivin, cyclin D1/D2/D3, p-STAT3 | ||||
| SW480 | Antiproliferation | ↑ Nrf2, PERK | [72] | |
| Antiproliferation Apoptosis | ↑ ROS | [51] | ||
| ↓ p-JAK2, p-Src, survivin, cyclin D1/D2, p-STAT3 |
| Type of Cancer | Cell Lines | Effects on Targeted Cells | Molecular Pathways/Targets | Ref. |
|---|---|---|---|---|
| Esophageal | KYSE-150 | Antiproliferation Apoptosis Cell cycle arrest (G2/M phase) Inhibition of cell migration and invasion | ↑ γ-H2AX, Bax, c-caspase-3 | [74] |
| ↓ cyclin B1, Mdm2, CDK1, Bcl2, p-ERK, p-JNK, p-p38 | ||||
| Gastric | AGS | Antiproliferation Apoptosis Cell cycle arrest (G1 phase) | ↑ c-PARP, caspases-3/8/9 activity | [55] |
| ↓ survivin, p-mTOR, mTOR, p-AKT, AKT1 | ||||
| Leukemia | KBM-7 | Antiproliferation Apoptosis Cell cycle arrest (G2/M phase) Inhibition of cell invasion | ↓ microRNA-780 | [56] |
| CCRF-CEM | Apoptosis | ↑ p53, c-PARP | [57] | |
| ↓ ROS, FAK | ||||
| CEM/ADR5000 | Apoptosis | ↑ p53, c-PARP | [57] | |
| ↓ FAK | ||||
| Liver | HepG2 SMMC-7721 | Antiproliferation Apoptosis Cell cycle arrest (G2/M phase) Inhibition of cell migration | ↑ Bax, Bad, ROS, c-caspases-3/8/9, c-PARP | [58] |
| ↓ Bcl-2, MMP | ||||
| HepG2 | Antiproliferation Autophagia | ↑ LC3-II | [75] | |
| ↓ p-AKT, p-mTOR | ||||
| Lung | A549 | Antiproliferation Apoptosis Inhibition of cell migration and invasion | ↓ MMP-9, p-mTOR, p-PI3K, p-AKT | [60] |
| H1299 | Antiproliferation Apoptosis Autophagy | ↑ c-caspases-3/7, c-PARP, Bax, sestrin-2, p-LKB1, p-AMPK, nuclear condensation, LC3-II | [59] | |
| ↓ Bcl-2 | ||||
| Neuroblastoma | IMR-2 | Antiproliferation Apoptosis | ↑ c-caspases-3/9, c-PARP, ROS, p-p38 | [61] |
| ↓ Bcl-2, p-ERK, p-JNK1 |
| Type of Cancer | Cell Lines | Effects on Targeted Cells | Molecular Pathways/Targets | Ref. |
|---|---|---|---|---|
| Oral | CAL27-DDP SCC9-DDP | Antiproliferation Ferroptosis | ↑ ROS, lipid peroxidation levels | [62] |
| ↓ GSH levels, Nrf2, HO-1, xCT | ||||
| Prostate | PC-3 | Antiproliferation | ↑ p-AMPK, p-ACC, sestrin-2 | [63] |
| ↓ p-AKT, p-mTOR, p-p70S6K | ||||
| Antiproliferation Apoptosis | ↑ caspases-3/7/8/9, c-PARP, PP2A activity, Bax, cytosol cytochrome c | [64] | ||
| ↓ XIAP, cIAP1, cIAP2, IKK activity, p-IkBα, Bid, Bcl-2, p-AKT, nuclear NF-κB/p50, nuclear NF-κB/p65 | ||||
| DU145 | Antiproliferation Apoptosis | ↑ caspases-3/7/9, c-PARP, Bax, cytosol cytochrome c | [64] | |
| ↓ Bcl-2 | ||||
| Renal | Caki | Antiproliferation Apoptosis | ↑ c-caspase 3/7/8/9, c-PARP, Bax, cytoplasm cytochrome c, p53, p27, ROS, DR4, DR5 | [76] |
| ↓ Bcl-2, Bcl-xL, Mdm2, p-STAT3, c-Myc, p-Src, cyclin D1/D2/D3, survivin | ||||
| Skin | B16F10 | Antiproliferation Cell cycle arrest (G0/G1) | ↑ p21 | [66] |
| ↓ p27 | ||||
| Inhibition of cell migration and invasion | ↑ TIMP-2, E-cadherin | [77] | ||
| ↓ MMP-9, TIMP-1, uPA, VCAM-1, Snail, Slug, vimentin, N-cadherin, p-Src, p-FAK, p-AKT | ||||
| A375 | Antiproliferation Apoptosis Cell cycle arrest (G2/M phases) | N.D. | [65] |
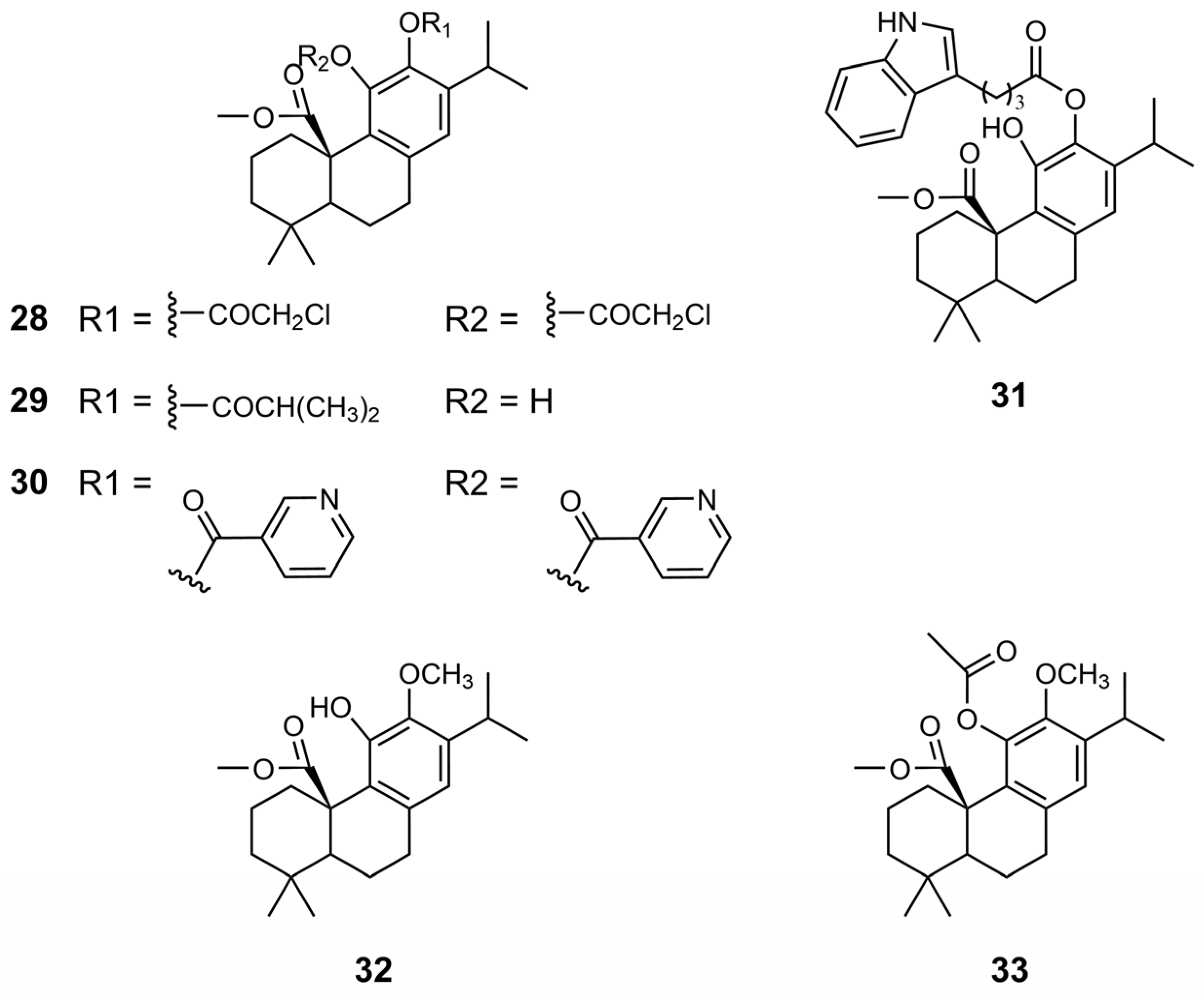
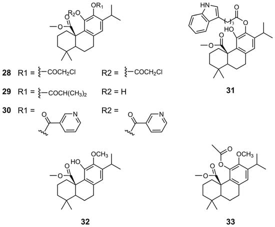
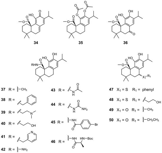
5. Semisynthetic Derivatives of Carnosic Acid
6. SAR Considerations
7. Conclusions and Future Perspectives
Author Contributions
Funding
Data Availability Statement
Acknowledgments
Conflicts of Interest
References
- Bray, F.; Laversanne, M.; Sung, H.; Ferlay, J.; Siegel, R.L.; Soerjomataram, I.; Jemal, A. Global cancer statistics 2022: GLOBOCAN estimates of incidence and mortality worldwide for 36 cancers in 185 countries. CA-Cancer J. Clin. 2024, 74, 229–263. [Google Scholar] [CrossRef]
- Senthebane, D.A.; Rowe, A.; Thomford, N.E.; Shipanga, H.; Munro, D.; Mazeedi, M.A.M.A.; Almazyadi, H.A.M.; Kallmeyer, K.; Dandara, C.; Pepper, M.S.; et al. The Role of Tumor Microenvironment in Chemoresistance: To Survive, Keep Your Enemies Closer. Int. J. Mol. Sci. 2017, 18, 1586. [Google Scholar] [CrossRef]
- Vasan, N.; Baselga, J.; Hyman, D.M. A view on drug resistance in cancer. Nature 2019, 575, 299–309. [Google Scholar] [CrossRef]
- Mokhtari-Hessari, P.; Montazeri, A. Health-related quality of life in breast cancer patients: Review of reviews from 2008 to 2018. Health Qual. Life Outcomes 2020, 18, 338, Correction in Health Qual. Life Outcomes 2022, 20, 35. [Google Scholar] [CrossRef] [PubMed]
- Huang, M.; Lu, J.J.; Ding, J. Natural Products in Cancer Therapy: Past, Present and Future. Nat. Prod. Bioprospect. 2021, 11, 5–13. [Google Scholar] [CrossRef]
- Newman, D.J.; Cragg, G.M. Natural Products as Sources of New Drugs over the Nearly Four Decades from 01/1981 to 09/2019. J. Nat. Prod. 2020, 83, 770–803. [Google Scholar] [CrossRef]
- Naeem, A.; Hu, P.; Yang, M.; Zhang, J.; Liu, Y.; Zhu, W.; Zheng, Q. Natural Products as Anticancer Agents: Current Status and Future Perspectives. Molecules 2022, 27, 8367. [Google Scholar] [CrossRef] [PubMed]
- Thomford, N.; Senthebane, D.; Rowe, A.; Munro, D.; Seele, P.; Maroyi, A.; Dzobo, K. Natural Products for Drug Discovery in the 21st Century: Innovations for Novel Drug Discovery. Int. J. Mol. Sci. 2018, 19, 1578. [Google Scholar] [CrossRef]
- Barreca, M.; Spanò, V.; Montalbano, A.; Cueto, M.; Díaz Marrero, A.R.; Deniz, I.; Erdoğan, A.; Lukić Bilela, L.; Moulin, C.; Taffin-de-Givenchy, E.; et al. Marine Anticancer Agents: An Overview with a Particular Focus on Their Chemical Classes. Mar. Drugs 2020, 18, 619. [Google Scholar] [CrossRef] [PubMed]
- Antoniuk, O.; Maranha, A.; Salvador, J.A.R.; Empadinhas, N.; Moreira, V.M. Bi- and tricyclic diterpenoids: Landmarks from a decade (2013–2023) in search of leads against infectious diseases. Nat. Prod. Rep. 2024, 41, 1858–1894. [Google Scholar] [CrossRef]
- Salvador, J.A.R.; Moreira, V.M.; Gonçalves, B.M.F.; Leal, A.S.; Jing, Y. Ursane-type pentacyclic triterpenoids as useful platforms to discover anticancer drugs. Nat. Prod. Rep. 2012, 29, 1463–1479. [Google Scholar] [CrossRef]
- Atanasov, A.G.; Zotchev, S.B.; Dirsch, V.M.; Supuran, C.T. Natural products in drug discovery: Advances and opportunities. Nat. Rev. Drug Discov. 2021, 20, 200–216. [Google Scholar] [CrossRef]
- Singh, K.; Gupta, J.K.; Chanchal, D.K.; Shinde, M.G.; Kumar, S.; Jain, D.; Almarhoon, Z.M.; Alshahrani, A.M.; Calina, D.; Sharifi-Rad, J.; et al. Natural products as drug leads: Exploring their potential in drug discovery and development. Naunyn Schmiedebergs Arch. Pharmacol. 2025, 398, 4673–4687. [Google Scholar] [CrossRef]
- Boufridi, A.; Quinn, R.J. Harnessing the Properties of Natural Products. Annu. Rev. Pharmacol. Toxicol. 2018, 58, 451–470. [Google Scholar] [CrossRef]
- Thurston, D.E.; Pysz, I. Chemistry and Pharmacology of Anticancer Drugs, 2nd ed.; CRC Press: Boca Raton, FL, USA, 2021. [Google Scholar]
- Mosca, L.; Ilari, A.; Fazi, F.; Assaraf, Y.G.; Colotti, G. Taxanes in cancer treatment: Activity, chemoresistance and its overcoming. Drug Resist. Updates 2021, 54, 100742. [Google Scholar] [CrossRef] [PubMed]
- Xiao, Z.; Morris-Natschke, S.L.; Lee, K.H. Strategies for the Optimization of Natural Leads to Anticancer Drugs or Drug Candidates. Med. Res. Rev. 2016, 36, 32–91. [Google Scholar] [CrossRef]
- Petiwala, S.M.; Johnson, J.J. Diterpenes from rosemary (Rosmarinus officinalis): Defining their potential for anti-cancer activity. Cancer Lett. 2015, 367, 93–102. [Google Scholar] [CrossRef]
- Birtić, S.; Dussort, P.; Pierre, F.-X.; Bily, A.C.; Roller, M. Carnosic acid. Phytochemistry 2015, 115, 9–19. [Google Scholar] [CrossRef]
- Bahri, S.; Jameleddine, S.; Shlyonsky, V. Relevance of carnosic acid to the treatment of several health disorders: Molecular targets and mechanisms. Biomed. Pharmacother. 2016, 84, 569–582. [Google Scholar] [CrossRef] [PubMed]
- González, M.A. Aromatic abietane diterpenoids: Their biological activity and synthesis. Nat. Prod. Rep. 2015, 32, 684–704. [Google Scholar] [CrossRef] [PubMed]
- Chen, X.; Wei, C.; Zhao, J.; Zhou, D.; Wang, Y.; Zhang, S.; Zuo, H.; Dong, J.; Zhao, Z.; Hao, M.; et al. Carnosic acid: An effective phenolic diterpenoid for prevention and management of cancers via targeting multiple signaling pathways. Pharmacol. Res. 2024, 206, 107288. [Google Scholar] [CrossRef]
- Mirza, F.J.; Zahid, S.; Holsinger, R.M.D. Neuroprotective Effects of Carnosic Acid: Insight into Its Mechanisms of Action. Molecules 2023, 28, 2306. [Google Scholar] [CrossRef]
- Habtemariam, S. Anti-Inflammatory Therapeutic Mechanisms of Natural Products: Insight from Rosemary Diterpenes, Carnosic Acid and Carnosol. Biomedicines 2023, 11, 545. [Google Scholar] [CrossRef]
- de Oliveira, M.R. The Dietary Components Carnosic Acid and Carnosol as Neuroprotective Agents: A Mechanistic View. Mol. Neurobiol. 2016, 53, 6155–6168. [Google Scholar] [CrossRef] [PubMed]
- Satoh, T.; Trudler, D.; Oh, C.K.; Lipton, S.A. Potential Therapeutic Use of the Rosemary Diterpene Carnosic Acid for Alzheimer’s Disease, Parkinson’s Disease, and Long-COVID through NRF2 Activation to Counteract the NLRP3 Inflammasome. Antioxidants 2022, 11, 124. [Google Scholar] [CrossRef] [PubMed]
- Abdul Ghani, M.A.; Ugusman, A.; Latip, J.; Zainalabidin, S. Role of Terpenophenolics in Modulating Inflammation and Apoptosis in Cardiovascular Diseases: A Review. Int. J. Mol. Sci. 2023, 24, 5339. [Google Scholar] [CrossRef] [PubMed]
- Farkhondeh, T.; Samarghandian, S.; Pourbagher-Shahri, A.M. Hypolipidemic effects of Rosmarinus officinalis L. J. Cell. Physiol. 2019, 234, 14680–14688. [Google Scholar] [CrossRef]
- Bao, T.Q.; Li, Y.; Qu, C.; Zheng, Z.G.; Yang, H.; Li, P. Antidiabetic Effects and Mechanisms of Rosemary (Rosmarinus officinalis L.) and its Phenolic Components. Am. J. Chin. Med. 2020, 48, 1353–1368. [Google Scholar] [CrossRef]
- Danisman, B.; Cicek, B.; Yildirim, S.; Bolat, I.; Kantar, D.; Golokhvast, K.S.; Nikitovic, D.; Tsatsakis, A.; Taghizadehghalehjoughi, A. Carnosic Acid Ameliorates Indomethacin-Induced Gastric Ulceration in Rats by Alleviating Oxidative Stress and Inflammation. Biomedicines 2023, 11, 829. [Google Scholar] [CrossRef]
- Allegra, A.; Tonacci, A.; Pioggia, G.; Musolino, C.; Gangemi, S. Anticancer Activity of Rosmarinus officinalis L.: Mechanisms of Action and Therapeutic Potentials. Nutrients 2020, 12, 1739. [Google Scholar] [CrossRef]
- Acquaviva, R.; Malfa, G.A.; Loizzo, M.R.; Xiao, J.; Bianchi, S.; Tundis, R. Advances on Natural Abietane, Labdane and Clerodane Diterpenes as Anti-Cancer Agents: Sources and Mechanisms of Action. Molecules 2022, 27, 4791. [Google Scholar] [CrossRef] [PubMed]
- Iobbi, V.; Parisi, V.; Bernabè, G.; De Tommasi, N.; Bisio, A.; Brun, P. Anti-Biofilm Activity of Carnosic Acid from Salvia rosmarinus against Methicillin-Resistant Staphylococcus aureus. Plants 2023, 12, 3679. [Google Scholar] [CrossRef]
- González, M.A. Synthetic derivatives of aromatic abietane diterpenoids and their biological activities. Eur. J. Med. Chem. 2014, 87, 834–842. [Google Scholar] [CrossRef]
- Aoyagi, Y.; Takahashi, Y.; Satake, Y.; Takeya, K.; Aiyama, R.; Matsuzaki, T.; Hashimoto, S.; Kurihara, T. Cytotoxicity of abietane diterpenoids from Perovskia abrotanoides and of their semisynthetic analogues. Bioorg. Med. Chem. 2006, 14, 5285–5291. [Google Scholar] [CrossRef]
- Pertino, M.W.; Theoduloz, C.; Rodríguez, J.A.; Yáñez, T.; Lazo, V.; Schmeda-Hirschmann, G. Gastroprotective Effect of Carnosic Acid γ-Lactone Derivatives. J. Nat. Prod. 2010, 73, 639–643. [Google Scholar] [CrossRef]
- Pertino, M.; Theoduloz, C.; Butassi, E.; Zacchino, S.; Schmeda-Hirschmann, G.; Pertino, M.W.; Theoduloz, C.; Butassi, E.; Zacchino, S.; Schmeda-Hirschmann, G. Synthesis, Antiproliferative and Antifungal Activities of 1,2,3-Triazole-Substituted Carnosic Acid and Carnosol Derivatives. Molecules 2015, 20, 8666–8686. [Google Scholar] [CrossRef]
- Theoduloz, C.; Pertino, M.; Rodríguez, J.; Schmeda-Hirschmann, G. Gastroprotective Effect and Cytotoxicity of Carnosic Acid Derivatives. Planta Med. 2011, 77, 882–887. [Google Scholar] [CrossRef]
- Han, S.; Li, X.; Xia, Y.; Yu, Z.; Cai, N.; Malwal, S.R.; Han, X.; Oldfield, E.; Zhang, Y. Farnesyl Pyrophosphate Synthase as a Target for Drug Development: Discovery of Natural-Product-Derived Inhibitors and Their Activity in Pancreatic Cancer Cells. J. Med. Chem. 2019, 62, 10867–10896. [Google Scholar] [CrossRef]
- Moura, S.P.S.P.; Marín, S.; Rufino, I.; Guedes, R.C.; Cascante, M.; Salvador, J.A.R. Design, Synthesis, and Biological Evaluation of Novel Urea-Containing Carnosic Acid Derivatives with Anticancer Activity. Int. J. Mol. Sci. 2024, 25, 13332. [Google Scholar] [CrossRef]
- Moura, S.; Cascante, M.; Rufino, I.; Guedes, R.C.; Marin, S.; Salvador, J.A.R. Synthesis and biological evaluation of novel carnosic acid derivatives with anticancer activity. RSC Adv. 2025, 15, 36861–36878. [Google Scholar] [CrossRef] [PubMed]
- Sandjo, L.P.; Kuete, V. Diterpenoids from the Medicinal Plants of Africa. In Medicinal Plant Research in Africa: Pharmacology and Chemistry; Elsevier Inc.: London, UK, 2013; pp. 105–133. [Google Scholar]
- Roy, N.K.; Murmu, R.; Munda, M.; Niyogi, S.; Bisai, A. Asymmetric total syntheses of immunosuppressive diterpenoids triptobenzenes N and R via a remote Csp(3)-H functionalization. Chem. Commun. 2025, 61, 11053–11056. [Google Scholar] [CrossRef]
- Munda, M.; Chatterjee, D.; Majhi, M.; Biswas, S.; Pal, D.; Bisai, A. Total synthesis of naturally occurring abietane diterpenoids via a late-stage Fe(iii)-bTAML catalysed Csp(3)-H functionalization. RSC Adv. 2024, 14, 20420–20424. [Google Scholar] [CrossRef]
- Scheler, U.; Brandt, W.; Porzel, A.; Rothe, K.; Manzano, D.; Božić, D.; Papaefthimiou, D.; Balcke, G.U.; Henning, A.; Lohse, S.; et al. Elucidation of the biosynthesis of carnosic acid and its reconstitution in yeast. Nat. Commun. 2016, 7, 12942. [Google Scholar] [CrossRef]
- Božić, D.; Papaefthimiou, D.; Brückner, K.; de Vos, R.C.; Tsoleridis, C.A.; Katsarou, D.; Papanikolaou, A.; Pateraki, I.; Chatzopoulou, F.M.; Dimitriadou, E.; et al. Towards Elucidating Carnosic Acid Biosynthesis in Lamiaceae: Functional Characterization of the Three First Steps of the Pathway in Salvia fruticosa and Rosmarinus officinalis. PLoS ONE 2015, 10, e0124106. [Google Scholar] [CrossRef]
- Ignea, C.; Athanasakoglou, A.; Ioannou, E.; Georgantea, P.; Trikka, F.A.; Loupassaki, S.; Roussis, V.; Makris, A.M.; Kampranis, S.C. Carnosic acid biosynthesis elucidated by a synthetic biology platform. Proc. Natl. Acad. Sci. USA 2016, 113, 3681–3686. [Google Scholar] [CrossRef]
- Cortese, K.; Daga, A.; Monticone, M.; Tavella, S.; Stefanelli, A.; Aiello, C.; Bisio, A.; Bellese, G.; Castagnola, P. Carnosic acid induces proteasomal degradation of Cyclin B1, RB and SOX2 along with cell growth arrest and apoptosis in GBM cells. Phytomedicine 2016, 23, 679–685. [Google Scholar] [CrossRef] [PubMed]
- Borhan, A.; Bagherlou, A.; Ghayour, M.B. Evaluating the anticancer effects of carnosic acid against breast cancer: An In Vitro investigation. Tissue Cell 2025, 93, 102718. [Google Scholar] [CrossRef] [PubMed]
- Dong, Y.; Liu, M.; Mao, Y.; Wu, S.; Wen, J.; Lu, J.; Yang, Y.; Ruan, S.; Li, L.; Liu, X.; et al. Discovery of 2-(isoxazol-5-yl)phenyl 3,4-dihydroxybenzoate as a potential inhibitor for the Wnt/β-catenin pathway. Bioorg. Chem. 2022, 128, 106116. [Google Scholar] [CrossRef] [PubMed]
- Kim, D.-H.; Park, K.-W.; Chae, I.G.; Kundu, J.; Kim, E.-H.; Kundu, J.K.; Chun, K.-S. Carnosic acid inhibits STAT3 signaling and induces apoptosis through generation of ROS in human colon cancer HCT116 cells. Mol. Carcinog. 2016, 55, 1096–1110. [Google Scholar] [CrossRef]
- Barni, M.V.; Carlini, M.J.; Cafferata, E.G.; Puricelli, L.; Moreno, S. Carnosic acid inhibits the proliferation and migration capacity of human colorectal cancer cells. Oncol. Rep. 2012, 27, 1041–1048. [Google Scholar] [CrossRef]
- Visanji, J.M.; Thompson, D.G.; Padfield, P.J. Induction of G2/M phase cell cycle arrest by carnosol and carnosic acid is associated with alteration of cyclin A and cyclin B1 levels. Cancer Lett. 2006, 237, 130–136. [Google Scholar] [CrossRef] [PubMed]
- Bai, N.; He, K.; Roller, M.; Lai, C.-S.; Shao, X.; Pan, M.-H.; Ho, C.-T. Flavonoids and Phenolic Compounds from Rosmarinus officinalis. J. Agric. Food Chem. 2010, 58, 5363–5367. [Google Scholar] [CrossRef]
- El-Huneidi, W.; Bajbouj, K.; Muhammad, J.S.; Vinod, A.; Shafarin, J.; Khoder, G.; Saleh, M.A.; Taneera, J.; Abu-Gharbieh, E. Carnosic Acid Induces Apoptosis and Inhibits Akt/mTOR Signaling in Human Gastric Cancer Cell Lines. Pharmaceuticals 2021, 14, 230. [Google Scholar] [CrossRef]
- Liu, D.; Wang, B.; Zhu, Y.; Yan, F.; Dong, W. Carnosic acid regulates cell proliferation and invasion in chronic myeloid leukemia cancer cells via suppressing microRNA-708. J. BUON 2018, 23, 741–746. [Google Scholar]
- Mahmoud, N.; Saeed, M.E.M.; Sugimoto, Y.; Klinger, A.; Fleischer, E.; Efferth, T. Putative molecular determinants mediating sensitivity or resistance towards carnosic acid tumor cell responses. Phytomedicine 2020, 77, 153271. [Google Scholar] [CrossRef]
- Zhang, X.; Chen, Y.; Cai, G.; Li, X.; Wang, D. Carnosic acid induces apoptosis of hepatocellular carcinoma cells via ROS-mediated mitochondrial pathway. Chem.-Biol. Interact. 2017, 277, 91–100, Correction in Chem.-Biol. Interact. 2017, 309, 108697. [Google Scholar] [CrossRef]
- O’Neill, E.J.; Sze, N.S.K.; MacPherson, R.E.K.; Tsiani, E. Carnosic Acid against Lung Cancer: Induction of Autophagy and Activation of Sestrin-2/LKB1/AMPK Signalling. Int. J. Mol. Sci. 2024, 25, 1950. [Google Scholar] [CrossRef]
- Zhao, L.; Zhang, J.; Fan, Y.; Li, Y. Antiproliferative activity of carnosic acid is mediated via inhibition of cell migration and invasion, and suppression of phosphatidylinositol 3-kinases (PI3K)/Akt/mammalian target of rapamycin (mTOR) signaling pathway. Med. Sci. Monit. 2019, 25, 7864–7871. [Google Scholar] [CrossRef] [PubMed]
- Tsai, C.-W.; Lin, C.-Y.; Lin, H.-H.; Chen, J.-H. Carnosic Acid, a Rosemary Phenolic Compound, Induces Apoptosis Through Reactive Oxygen Species-Mediated p38 Activation in Human Neuroblastoma IMR-32 Cells. Neurochem. Res. 2011, 36, 2442–2451. [Google Scholar] [CrossRef]
- Han, L.; Li, L.; Wu, G. Induction of ferroptosis by carnosic acid-mediated inactivation of Nrf2/HO-1 potentiates cisplatin responsiveness in OSCC cells. Mol. Cell. Probes 2022, 64, 101821. [Google Scholar] [CrossRef]
- Nadile, M.; Sze, N.S.K.; Fajardo, V.A.; Tsiani, E. Inhibition of Prostate Cancer Cell Survival and Proliferation by Carnosic Acid Is Associated with Inhibition of Akt and Activation of AMPK Signaling. Nutrients 2024, 16, 1257. [Google Scholar] [CrossRef]
- Kar, S.; Palit, S.; Ball, W.B.; Das, P.K. Carnosic acid modulates Akt/IKK/NF-κB signaling by PP2A and induces intrinsic and extrinsic pathway mediated apoptosis in human prostate carcinoma PC-3 cells. Apoptosis 2012, 17, 735–747. [Google Scholar] [CrossRef]
- Koutsoulas, A.; Čarnecká, M.; Slanina, J.; Tóth, J.; Slaninová, I. Characterization of phenolic compounds and antiproliferative effects of salvia pomifera and salvia fruticosa extracts. Molecules 2019, 24, 2921. [Google Scholar] [CrossRef]
- Lin, K.-I.; Lin, C.-C.; Kuo, S.-M.; Lai, J.-C.; Wang, Y.-Q.; You, H.-L.; Hsu, M.-L.; Chen, C.-H.; Shiu, L.-Y. Carnosic acid impedes cell growth and enhances anticancer effects of carmustine and lomustine in melanoma. Biosci. Rep. 2018, 38, BSR20180005. [Google Scholar] [CrossRef]
- Telang, N. Anti-proliferative and pro-apoptotic effects of rosemary and constituent terpenoids in a model for the HER-2-enriched molecular subtype of clinical breast cancer. Oncol. Lett. 2018, 16, 5489–5497. [Google Scholar] [CrossRef]
- Su, K.; Wang, C.-f.; Zhang, Y.; Cai, Y.-j.; Zhang, Y.-y.; Zhao, Q. The inhibitory effects of carnosic acid on cervical cancer cells growth by promoting apoptosis via ROS-regulated signaling pathway. Biomed. Pharmacother. 2016, 82, 180–191. [Google Scholar] [CrossRef]
- Nabekura, T.; Yamaki, T.; Hiroi, T.; Ueno, K.; Kitagawa, S. Inhibition of anticancer drug efflux transporter P-glycoprotein by rosemary phytochemicals. Pharmacol. Res. 2010, 61, 259–263. [Google Scholar] [CrossRef]
- Kim, Y.-J.; Kim, J.-S.; Seo, Y.R.; Park, J.H.Y.; Choi, M.-S.; Sung, M.-K. Carnosic acid suppresses colon tumor formation in association with antiadipogenic activity. Mol. Nutr. Food Res. 2014, 58, 2274–2285. [Google Scholar] [CrossRef]
- Valdés, A.; García-Cañas, V.; Artemenko, K.A.; Simó, C.; Bergquist, J.; Cifuentes, A. Nano-liquid Chromatography-orbitrap MS-based Quantitative Proteomics Reveals Differences Between the Mechanisms of Action of Carnosic Acid and Carnosol in Colon Cancer Cells. Mol. Cell. Proteom. 2017, 16, 8–22. [Google Scholar] [CrossRef]
- Yan, M.; Li, G.; Petiwala, S.M.; Householter, E.; Johnson, J.J. Standardized rosemary (Rosmarinus officinalis) extract induces Nrf2/sestrin-2 pathway in colon cancer cells. J. Funct. Foods 2015, 13, 137–147. [Google Scholar] [CrossRef]
- Li, S.; Yang, H.; Li, L.; Wang, W.; Tan, H.Y.; Qu, Y.; Wang, D. The involvement of gut microbiota in the anti-tumor effect of carnosic acid via IL-17 suppression in colorectal cancer. Chem.-Biol. Interact. 2022, 365, 110080. [Google Scholar] [CrossRef]
- Jiang, S.; Qiu, Y.; Wang, Z.; Ji, Y.; Zhang, X.; Yan, X.; Zhan, Z. Carnosic Acid Induces Antiproliferation and Anti-Metastatic Property of Esophageal Cancer Cells via MAPK Signaling Pathways. J. Oncol. 2021, 2021, 4451533. [Google Scholar] [CrossRef]
- Gao, Q.; Liu, H.; Yao, Y.; Geng, L.; Zhang, X.; Jiang, L.; Shi, B.; Yang, F. Carnosic acid induces autophagic cell death through inhibition of the Akt/mTOR pathway in human hepatoma cells. J. Appl. Toxicol. 2015, 35, 485–492. [Google Scholar] [CrossRef] [PubMed]
- Park, J.E.; Park, B.; Chae, I.G.; Kim, D.-H.; Kundu, J.; Kundu, J.K.; Chun, K.-S. Carnosic acid induces apoptosis through inactivation of Src/STAT3 signaling pathway in human renal carcinoma Caki cells. Oncol. Rep. 2016, 35, 2723–2732, Correction in Oncol. Rep. 2016, 36, 3717. [Google Scholar] [CrossRef] [PubMed]
- Park, S.; Song, H.; Sung, M.-K.; Kang, Y.-H.; Lee, K.; Park, J. Carnosic Acid Inhibits the Epithelial-Mesenchymal Transition in B16F10 Melanoma Cells: A Possible Mechanism for the Inhibition of Cell Migration. Int. J. Mol. Sci. 2014, 15, 12698–12713. [Google Scholar] [CrossRef] [PubMed]














| Type of Cancer | Cell Line | IC50 (µM) 1 | Time (h) | Assay | Ref. |
|---|---|---|---|---|---|
| Brain | PT2 | 27.5 | 48 | MTT | [48] |
| Breast | MCF-7 | 47.5 | 24 | MTT | [49] |
| MDA-MB-231 | 29.3 | 24 | MTT | [49] | |
| Colorectal | SW480 | 28.2 | 72 | CCK-8 | [50] |
| HCT116 | 32.52 | 72 | CCK-8 | [50] | |
| 26.80 | 24 | MTS | [51] | ||
| 27.67 | 48 | MTS | [51] | ||
| 28.95 | 72 | MTS | [51] | ||
| HT-29 | 30.13 | 72 | CCK-8 | [50] | |
| 48.5 | 24 | CellTiter 96 Aqueous Non-Radioactive Cell Proliferation | [52] | ||
| Caco-2 | 92.1 | 24 | CellTiter 96 Aqueous Non-Radioactive Cell Proliferation | [52] | |
| 23 | 24 | Thymidine incorporation | [53] | ||
| LoVo | 26.4 | 24 | CellTiter 96 Aqueous Non-Radioactive Cell Proliferation | [52] | |
| COLO 205 | 32.8 | 24 | MTT | [54] | |
| Gastric | AGS | 59.86 | 24 | MTT | [55] |
| 56.94 | 48 | MTT | [55] | ||
| 49.84 | 72 | MTT | [55] | ||
| MKN-45 | 72.07 | 24 | MTT | [55] | |
| 61.33 | 48 | MTT | [55] | ||
| 53.42 | 72 | MTT | [55] | ||
| Leukemia | CML KBM-7 | 25 | 48 | MTT | [56] |
| HL-60 | 1.7 | 24 | MTT | [54] | |
| CEM/ADR5000 | 11.48 | 72 | Resazurin | [57] | |
| CCRF-CEM | 19.50 | 72 | Resazurin | [57] | |
| Liver | HepG2 | 43.7 | 24 | MTT | [58] |
| SMMC-7721 | 74.8 | 24 | MTT | [58] | |
| Lung | H1299 | 47.3 | 24 | Crystal violet | [59] |
| 27.1 | 48 | Crystal violet | [59] | ||
| H460 | 89.6 | 24 | Crystal violet | [59] | |
| 67 | 48 | Crystal violet | [59] | ||
| A549 | 42.42 | 72 | CCK-8 | [50] | |
| 12.5 | - | CCK-8 | [60] | ||
| Neuroblastoma | IMR-32 | 30 | 24 | MTT | [61] |
| Oral | CAL27 | 34.71 | 24 | CCK-8 | [62] |
| SCC9 | 32.73 | 24 | CCK-8 | [62] | |
| Prostate | PC-3 | 64 | - | Crystal violet | [63] |
| 41.1 | 48 | MTT | [64] | ||
| LNCaP | 21 | - | Crystal violet | [63] | |
| Skin | A375 | 22.74 | 48 | MTT | [65] |
| MelJuSo | 35.34 | 48 | MTT | [65] | |
| B16F10 | 7.08 | 24 | MTT | [66] |
| Type of Cancer | Cell Line | Effects on Targeted Cells | Molecular Pathways/Targets | Ref. |
|---|---|---|---|---|
| Brain | PT2 | Antiproliferation Apoptosis Cell cycle arrest (early G2) | ↑ p21WAF, p-AKT | [48] |
| ↓ cyclin B1, p-STAT3, Rb, p-Rb, SOX2, GFAP, CDK’s activity | ||||
| Breast | 184-B5/HER | Antiproliferation Apoptosis Cell cycle arrest (G2/M phase) | ↑ cyclin B1 | [67] |
| MCF-7 MDA-MB-231 | Antiproliferation Apoptosis | ↑ caspases-3/7 activity, ROS | [49] | |
| Cervical | CaSki | Antiproliferation Apoptosis Cell cycle arrest (G2/M) Inhibition of migration | ↑ ROS, p-JNK, Bax, Bak, Bad, Apaf1, c-caspases-3/9, cytoplasm cytochrome c, p-ERK1/2, p-p38, ATF2, ATF4, XBP1, CREB, caspases-3/9 activity | [68] |
| ↓ Bcl-2 | ||||
| SiHA | Antiproliferation Apoptosis | ↑ caspases-3/9 activity | [68] |
| Compound | IC50 (µM) | Ref. | |||
|---|---|---|---|---|---|
| Gastric | Liver | Lung | Non-Tumoral | ||
| AGS | HepG2 | SK-MES-1 | MRC-5 | ||
| CA 1 1 | 89.8 | 41.3 | N.D. | 21.8 | [36] |
| 16 1 | 45.2 | 43.5 | N.D. | 54.9 | [36] |
| 17 1 | 26.7 | 58.1 | N.D. | 31.9 | [36] |
| 18 1 | 246 | 240 | N.D. | 293 | [36] |
| 19 1 | 103 | 203 | N.D. | 130 | [36] |
| 20 1 | 99.5 | 56.1 | N.D. | 44.4 | [36] |
| 21 1 | 133 | 522 | N.D. | 516 | [36] |
| 22 1 | 85.6 | 251 | N.D. | 109 | [36] |
| 23 1 | 46.8 | 120 | N.D. | 54.5 | [36] |
| 24 2 | 39.2 | N.D. | 81.7 | 45.1 | [37] |
| 25 2 | 41.0 | N.D. | 76.0 | 46.9 | [37] |
| 26 2 | 48.9 | N.D. | 73.0 | 43.4 | [37] |
| 27 2 | >100 | N.D. | >100 | >100 | [37] |
| Compound | IC50 (µM) | ||
|---|---|---|---|
| Gastric | Liver | Non-Tumoral | |
| AGS | HepG2 | MRC-5 | |
| CA 1 | 89.8 | 41.3 | 21.8 |
| 12 | 48.4 | 46.6 | 18.3 |
| 28 | 17.7 | 31.2 | 15.4 |
| 29 | 47.9 | 203.3 | 21.5 |
| 30 | 28.3 | 23.3 | 51.5 |
| 31 | 40.1 | 43.9 | 77.8 |
| 32 | 90.3 | 27.7 | 33.4 |
| 33 | 52.7 | 91.4 | 86.1 |
| Compound | HsFPPS | Compound | HsFPPS | Compound | HsFPPS |
|---|---|---|---|---|---|
| IC50 (µM) | IC50 (µM) | IC50 (µM) | |||
| CA 1 | 20.0 | 44 | 3.10 | 58 | 2.20 |
| 12 | 0.865 | 45 | 0.800 | 59 | 0.859 |
| 13 | 7.80 | 46 | 0.520 | 60 | 1.0 |
| 18 | 10.6 | 47 | 28.0 | 61 | 0.644 |
| 34 | 0.833 | 48 | 1.30 | 62 | 0.194 |
| 35 | >100 | 49 | 1.10 | 63 | 7.40 |
| 36 | 41.2 | 50 | 13.3 | 64 | >100 |
| 37 | 2.70 | 51 | 0.389 | 65 | 12.5 |
| 38 | 6.03 | 52 | 0.523 | 66 | >100 |
| 39 | 1.20 | 53 | 0.234 | 67 | 0.335 |
| 40 | 0.914 | 54 | 18.7 | 68 | 0.252 |
| 41 | 2.70 | 55 | 0.596 | 69 | 0.289 |
| 42 | 35.0 | 56 | 13.3 | Zoledronate | 0.100–0.200 |
| 43 | 1.50 | 57 | 0.473 |
| Compound | EC50 (µM) 1 | Compound | EC50 (µM) 1 | ||
|---|---|---|---|---|---|
| PANC-1 | MiaPaCa-2 | PANC-1 | MiaPaca-2 | ||
| CA 1 | 15.0 | 5.50 | 51 | >50.0 | >50 |
| 12 | 12.0 | 13.0 | 52 | >50.0 | >50 |
| 13 | 3.60 | >50.0 | 54 | >50.0 | >50.0 |
| 18 | >100 | >100 | 55 | 21.2 | 19.3 |
| 34 | 8.00 | >100 | 57 | 40.6 | 32.5 |
| 36 | 31.7 | 46.4 | 59 | >50.0 | N.D. |
| 39 | 5.10 | 9.20 | 60 | 12.3 | 14.0 |
| 41 | >50.0 | 38.6 | 61 | 8.10 | 13.2 |
| 42 | 24.0 | 16.5 | 62 | 18.3 | 42.2 |
| 44 | >50.0 | 11.4 | 63 | 5.90 | 1.60 |
| 45 | 48.0 | 29.6 | 65 | 7.00 | 11.6 |
| 46 | 10.0 | >100 | 67 | 50.0 | N.D. |
| 47 | 2.7 | 11.1 | 68 | 13.0 | 29.4 |
| 48 | 12.9 | 12.2 | 69 | 45.0 | >100 |
| 49 | 13.3 | 8.20 | Zoledronate | 16.1–24.2 | 13.4 |
| Compound | IC50 (µM) | Reference |
|---|---|---|
| Colorectal | ||
| HCT116 | ||
| CA 1 | 42 | [40,41] |
| 35 | 28 | [41] |
| 70 | 55 | [40] |
| 71 | 44 | [40] |
| 72 | 31 | [40] |
| 73 | 22 | [40] |
| 74 | 41 | [40] |
| 75 | 14 | [40] |
| 76 | 9.8 | [40] |
| 77 | 12 | [40] |
| 78 | 21 | [40] |
| 79 | 55 | [41] |
| 80 | 37 | [41] |
| 81 | 17 | [41] |
| 82 | 25 | [41] |
| 83 | 26 | [41] |
| 84 | 15.1 | [41] |
| Compound | IC50 (µM) | Reference | |||||
|---|---|---|---|---|---|---|---|
| Colorectal | Melanoma | Pancreas | Non-Tumoral | ||||
| SW480 | SW620 | Caco-2 | A375 | MiaPaca-2 | BJ | ||
| CA 1 | 21.8 | 18 | 34 | 27.6 | 21 | N.D. | [40,41] |
| 75 | 8.6 | 9 | 10.9 | N.D. | N.D. | N.D. | [40] |
| 76 | 6.1 | 6.1 | 8.0 | 7.0 | 9.0 | >25 | [40] |
| 77 | 7.6 | 6.4 | 9.6 | 7.6 | 9.3 | N.D. | [40] |
| 81 | 6.3 | 10 | 16 | 7.5 | 6.7 | >50 | [41] |
| 84 | 6.8 | 11 | 12.7 | 12 | 8.1 | N.D. | [41] |
Disclaimer/Publisher’s Note: The statements, opinions and data contained in all publications are solely those of the individual author(s) and contributor(s) and not of MDPI and/or the editor(s). MDPI and/or the editor(s) disclaim responsibility for any injury to people or property resulting from any ideas, methods, instructions or products referred to in the content. |
© 2026 by the authors. Licensee MDPI, Basel, Switzerland. This article is an open access article distributed under the terms and conditions of the Creative Commons Attribution (CC BY) license.
Share and Cite
Moura, S.P.S.P.; Moreira, V.M.; Salvador, J.A.R. Carnosic Acid and Its Semisynthetic Derivatives as Promising Anticancer Agents. Int. J. Mol. Sci. 2026, 27, 1149. https://doi.org/10.3390/ijms27031149
Moura SPSP, Moreira VM, Salvador JAR. Carnosic Acid and Its Semisynthetic Derivatives as Promising Anticancer Agents. International Journal of Molecular Sciences. 2026; 27(3):1149. https://doi.org/10.3390/ijms27031149
Chicago/Turabian StyleMoura, Sara P. S. P., Vânia M. Moreira, and Jorge A. R. Salvador. 2026. "Carnosic Acid and Its Semisynthetic Derivatives as Promising Anticancer Agents" International Journal of Molecular Sciences 27, no. 3: 1149. https://doi.org/10.3390/ijms27031149
APA StyleMoura, S. P. S. P., Moreira, V. M., & Salvador, J. A. R. (2026). Carnosic Acid and Its Semisynthetic Derivatives as Promising Anticancer Agents. International Journal of Molecular Sciences, 27(3), 1149. https://doi.org/10.3390/ijms27031149

