Synthesis of Antiviral Drug Tecovirimat and Its Key Maleimide Intermediates Using Organocatalytic Mumm Rearrangement at Ambient Conditions
Abstract
1. Introduction
2. Results and Discussion
2.1. Study Design
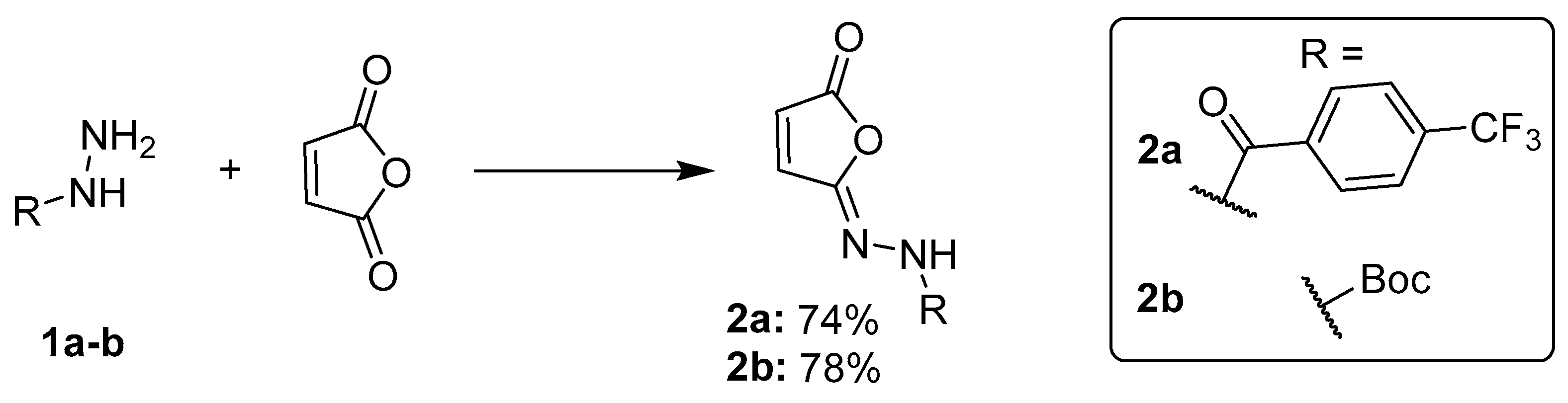
2.2. Optimization of Isomaleimide 2a and 2b Synthesis
2.3. Development of Low-Temperature Mumm Rearrangement Conditions
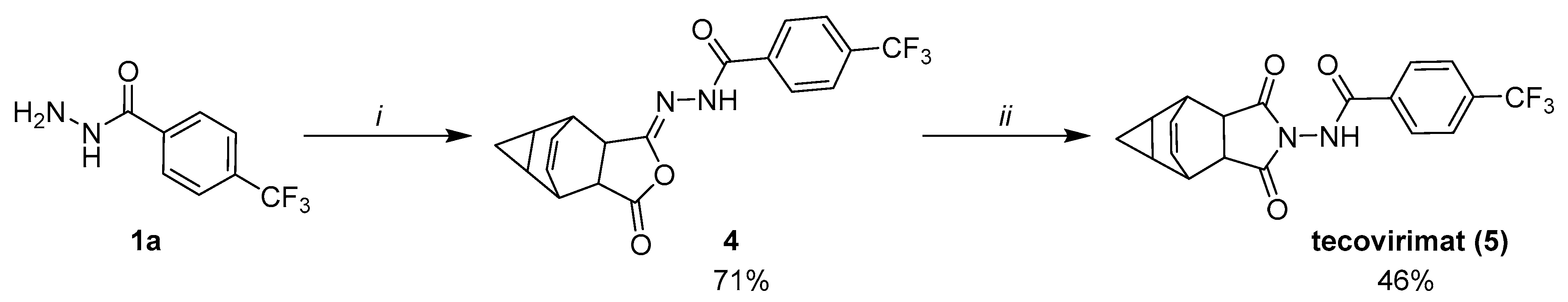
2.4. Synthesis of Tecovirimat from Maleimide 3a
2.5. Synthesis of Tecovirimat Through Isosuccinimide Rearrangement
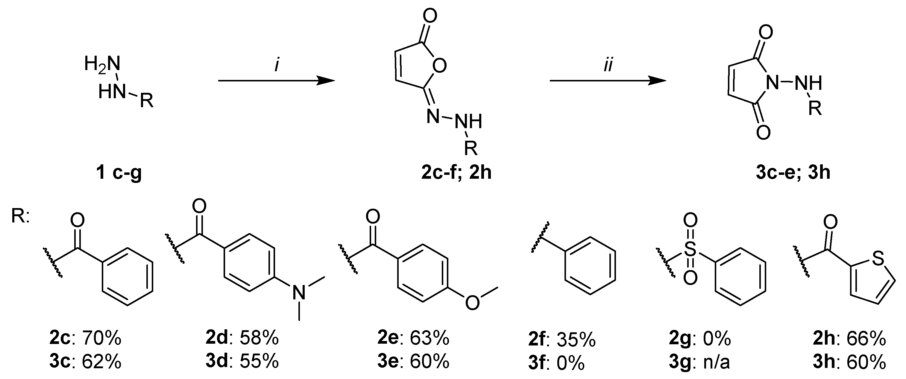
2.6. Spectrum of Application of the Developed Synthetic Methodology
2.7. Structural Basis of Low-Temperature Mumm Rearrangement: Preliminary Computational Studies
2.8. Study Limits
3. Materials and Methods
3.1. General Methodology
3.2. Nuclear Magnetic Resonance (NMR) Spectroscopy
3.3. Automated Flash Chromatography
3.4. High-Performance Liquid Chromatography (HPLC)
3.5. Ultra-Performance Liquid Chromatography–Mass Spectrometry (UPLC-MS)
3.6. Synthetic Procedures
3.6.1. General Procedure for Synthesis of Hydrazides 1a–e and 1g
3.6.2. General Procedure for Synthesis of Isomaleimides 2a–2h and Isosuccinimide 4
3.6.3. General Procedure for Synthesis of Maleimides 3a–3e, 3h and Tecovirimat (5)
3.6.4. Synthesis of Tecovirimat (5) from Maleimide 3a
3.7. Spectral and Analytical Data
3.7.1. N′-(5-oxofuran-2(5H)-ylidene)-4-(trifluoromethyl)benzohydrazide (2a)
3.7.2. Tert-butyl 2-(5-oxofuran-2(5H)-ylidene)hydrazine-1-carboxylate (2b)
3.7.3. N′-(5-oxofuran-2(5H)-ylidene)benzohydrazide (2c)
3.7.4. 4-(Dimethylamino)-N′-(5-oxofuran-2(5H)-ylidene)benzohydrazide (2d)
3.7.5. 4-Methoxy-N′-(5-oxofuran-2(5H)-ylidene)benzohydrazide (2e)
3.7.6. 5-(2-Phenylhydrazineylidene)furan-2(5H)-one (2f)
3.7.7. N′-[5-oxo-2,5-dihydrofuran-2-ylidene]thiophene-2-carbohydrazide (2h)
3.7.8. N-(2,5-dioxo-2,5-dihydro-1H-pyrrol-1-yl)-4-(trifluoromethyl)benzamide (3a)
3.7.9. Tert-butyl (2,5-dioxo-2,5-dihydro-1H-pyrrol-1-yl)carbamate (3b)
3.7.10. N-(2,5-dioxo-2,5-dihydro-1H-pyrrol-1-yl)benzamide (3c)
3.7.11. 4-(Dimethylamino)-N-(2,5-dioxo-2,5-dihydro-1H-pyrrol-1-yl)benzamide (3d)
3.7.12. N-(2,5-dioxo-2,5-dihydro-1H-pyrrol-1-yl)-4-methoxybenzamide (3e)
3.7.13. N-(2,5-dioxo-2,5-dihydro-1H-pyrrol-1-yl)thiophene-2-carboxamide (3h)
3.7.14. (Z)-N’-(3-oxo-3,3a,4,4a,5,5a,6,6a-octahydro-1H-4,6-ethenocyclopropa[f]isobenzofuran-1-ylidene)-4-(trifluoromethyl)benzohydrazide (4)
3.7.15. (Z)-N′-(3-oxo-3,3a,4,4a,5,5a,6,6a-octahydro-1H-4,6-ethenocyclopropa[f]isobenzofuran-1-ylidene)-4-(trifluoromethyl)benzohydrazide (Tecovirimat, 5)
3.8. Computational Procedure
4. Conclusions
Supplementary Materials
Author Contributions
Funding
Institutional Review Board Statement
Informed Consent Statement
Data Availability Statement
Conflicts of Interest
References
- Meyer, H.; Ehmann, R.; Smith, G.L. Smallpox in the Post-Eradication Era. Viruses 2020, 12, 138. [Google Scholar] [CrossRef] [PubMed]
- Breman, J.G.; Henderson, D.A. Diagnosis and Management of Smallpox. N. Engl. J. Med. 2002, 346, 1300–1308. [Google Scholar] [CrossRef] [PubMed]
- Vorou, R.M.; Papavassiliou, V.G.; Pierroutsakos, I.N. Cowpox Virus Infection: An Emerging Health Threat. Curr. Opin. Infect. Dis. 2008, 21, 153–156. [Google Scholar] [CrossRef] [PubMed]
- Sharif, N.; Sharif, N.; Alzahrani, K.J.; Halawani, I.F.; Alzahrani, F.M.; Díez, I.D.l.T.; Lipari, V.; Flores, M.A.L.; Parvez, A.K.; Dey, S.K. Molecular Epidemiology, Transmission and Clinical Features of 2022-mpox Outbreak: A Systematic Review. Health Sci. Rep. 2023, 6, e1603. [Google Scholar] [CrossRef]
- Li, P.; Li, J.; Ayada, I.; Avan, A.; Zheng, Q.; Peppelenbosch, M.P.; de Vries, A.C.; Pan, Q. Clinical Features, Antiviral Treatment, and Patient Outcomes: A Systematic Review and Comparative Analysis of the Previous and the 2022 Mpox Outbreaks. J. Infect. Dis. 2023, 228, 391–401. [Google Scholar] [CrossRef]
- Almehmadi, M.; Allahyani, M.; Alsaiari, A.A.; Alshammari, M.K.; Alharbi, A.S.; Hussain, K.H.; Alsubaihi, L.I.; Kamal, M.; Alotaibi, S.S.; Alotaibi, A.N.; et al. A Glance at the Development and Patent Literature of Tecovirimat: The First-in-Class Therapy for Emerging Monkeypox Outbreak. Viruses 2022, 14, 1870. [Google Scholar] [CrossRef]
- Hoy, S.M. Tecovirimat: First Global Approval. Drugs 2018, 78, 1377–1382. [Google Scholar] [CrossRef]
- Hughes, D.L. Review of the Patent Literature: Synthesis and Final Forms of Antiviral Drugs Tecovirimat and Baloxavir Marboxil. Org. Process Res. Dev. 2019, 23, 1298–1307. [Google Scholar] [CrossRef]
- Rouhani, M. A Deeper Computational Look at Mumm Rearrangement: Evaluation of Substituent, Solvent, and Temperature Effects. J. Phys. Org. Chem. 2020, 33, e4106. [Google Scholar] [CrossRef]
- Mumm, O. Umsetzung von Säureimidchloriden Mit Salzen Organischer Säuren Und Mit Cyankalium. Berichte Dtsch. Chem. Ges. 1910, 43, 886–893. [Google Scholar] [CrossRef]
- Alam, K.; McFee, E.C.; Croatt, M.P. Rapid and Facile Synthesis of Isomaleimides: Dehydration of Maleamic Acids Using Methanesulfonyl Chloride. Synthesis 2022, 54, 3085–3092. [Google Scholar] [CrossRef]
- Vol, W.; Brook, B.; Cotter, R.J.; Sauers, C.K.; Whelan, J.M. The Synthesis of N-Substituted Isomaleimides. J. Org. Chem. 1961, 26, 10–15. [Google Scholar] [CrossRef]
- Klimenkovs, I.; Bakis, E.; Priksane, A. Propanephosphonic Acid Anhydride–Mediated Cyclodehydration of Maleic Acid Monoamides. Synth. Commun. 2013, 43, 2634–2640. [Google Scholar] [CrossRef]
- Garner, P.; Bin Ho, W.; Grandhee, S.K.; Youngs, W.J.; Kennedy, V.O. Development of an Asymmetric Approach to the 3,8-Diazabicyclo[3.2.1 Joctane Moiety of Quinocarcin via Intermolecular 1,3-Dipolar Cycloadditions of Photochemically Generated Azomethine Ylides. J. Org. Chem. 1991, 56, 5893–5903. [Google Scholar] [CrossRef]
- Kinzel, O.; Alfieri, A.; Altamura, S.; Brunetti, M.; Bufali, S.; Colaceci, F.; Ferrigno, F.; Filocamo, G.; Fonsi, M.; Gallinari, P.; et al. Identification of MK-5710 ((8aS)-8a-Methyl-1,3-Dioxo-2-[(1S,2R)-2-Phenylcyclo- Propyl]-N-(1-Phenyl-1H-Pyrazol-5-Yl)Hexahydro-Imidazo[1,5-a]Pyrazine-7(1H)-Carboxamide), a Potent Smoothened Antagonist for Use in Hedgehog Pathway Dependent Malignancies, Part 2. Bioorg Med. Chem. Lett. 2011, 21, 4429–4435. [Google Scholar] [CrossRef]
- Leonard, N.M.; Brunckova, J. In Situ Formation of N-Trifluoroacetoxy Succinimide (TFA-NHS): One-Pot Formation of Succinimidyl Esters, N-Trifluoroacetyl Amino Acid Succinimidyl Esters, and N-Maleoyl Amino Acid Succinimidyl Esters. J. Org. Chem. 2011, 76, 9169–9174. [Google Scholar] [CrossRef]
- Dongcheng, D. Methods of Preparing Tecovirimat US9546137B2, 17 January 2017.
- Bonku, E.M.; Qin, H.; Odilov, A.; Yang, F.; Xing, X.; Wang, X.; Guma, S.D.; Shen, J. Efficient Large-Scale Process for Tecovirimat via Reactive Distillation for the Preparation of Cycloheptatriene. Org. Process Res. Dev. 2023, 27, 1984–1991. [Google Scholar] [CrossRef]
- Bonner, A.; Baumann, M. Continuous Flow Synthesis of the Antiviral Drug Tecovirimat and Related Sp3-Rich Scaffolds. Org. Biomol. Chem. 2024, 22, 8323–8327. [Google Scholar] [CrossRef]
- Bonku, E.M.; Qin, H.; Odilov, A.; Abduahadi, S.; Desta Guma, S.; Yang, F.; Xing, X.; Wang, X.; Shen, J. Impurity Study of Tecovirimat. Heliyon 2024, 10, e29559. [Google Scholar] [CrossRef]
- Pedreira, J.G.B.; Nahidino, P.; Kudolo, M.; Pantsar, T.; Berger, B.T.; Forster, M.; Knapp, S.; Laufer, S.; Barreiro, E.J. Bioisosteric Replacement of Arylamide-Linked Spine Residues with N-Acylhydrazones and Selenophenes as a Design Strategy to Novel Dibenzosuberone Derivatives as Type i 1/2 P38α MAP Kinase Inhibitors. J. Med. Chem. 2020, 63, 7347–7354. [Google Scholar] [CrossRef]
- Leal, C.M.; Pereira, S.L.; Kümmerle, A.E.; Leal, D.M.; Tesch, R.; De Sant’Anna, C.M.R.; Fraga, C.A.M.; Barreiro, E.J.; Sudo, R.T.; Zapata-Sudo, G. Antihypertensive Profile of 2-Thienyl-3,4-Methylenedioxybenzoylhydrazone Is Mediated by Activation of the A2A Adenosine Receptor. Eur. J. Med. Chem. 2012, 55, 49–57. [Google Scholar] [CrossRef]
- Stewart, J.J.P. Optimization of Parameters for Semiempirical Methods VI: More Modifications to the NDDO Approximations and Re-Optimization of Parameters. J. Mol. Model. 2013, 19, 1–32. [Google Scholar] [CrossRef] [PubMed]
- Dayanara, N.L.; Froelich, J.; Roome, P.; Perrin, D.M. Chemoselective, Regioselective, and Positionally Selective Fluorogenic Stapling of Unprotected Peptides for Cellular Uptake and Direct Cell Imaging. Chem. Sci. 2025, 16, 584–595. [Google Scholar] [CrossRef] [PubMed]
- Rab, A.; Yang, X.; Tracy, W.F.; Hong, J.S.; Joshi, D.; Manfredi, C.; Ponnaluri, S.S.; Kolykhalov, A.A.; Qui, M.; Fu, H.; et al. A Novel 7H-[1,2,4]Triazolo[3,4-b]Thiadiazine-Based Cystic Fibrosis Transmembrane Conductance Regulator Potentiator Directed toward Treatment of Cystic Fibrosis. ACS Med. Chem. Lett. 2023, 14, 1338–1343. [Google Scholar] [CrossRef] [PubMed]
- Yang, S.; Wang, Y.; Yang, Y.; Zhang, Z.; Li, F.; Tao, L.; Han, L.; Guo, S.; Zhang, Y.; Jiang, Y.; et al. Design, Synthesis, and Biological Evaluation of 1,3,4-Thiadiazole Derivatives as Novel Potent Peptide Deformylase Inhibitors for Combating Drug-Resistant Gram-Positive and -Negative Bacteria. J. Med. Chem. 2025, 68, 2942–2962. [Google Scholar] [CrossRef]
- Leaver, D.J.; Cleary, B.; Nguyen, N.; Priebbenow, D.L.; Lagiakos, H.R.; Sanchez, J.; Xue, L.; Huang, F.; Sun, Y.; Mujumdar, P.; et al. Discovery of Benzoylsulfonohydrazides as Potent Inhibitors of the Histone Acetyltransferase KAT6A. J. Med. Chem. 2019, 62, 7146–7159. [Google Scholar] [CrossRef]
- Bailey, T.R.; Rippin, S.R.; Opsitnick, E.; Burns, C.J.; Pevear, D.C.; Collett, M.S.; Rhodes, G.; Tohan, S.; Huggins, J.W.; Baker, R.O.; et al. N-(3,3a,4,4a,5,5a,6,6a-Octahydro-1,3-Dioxo-4,6-Ethenocycloprop[f] Isoindol-2-(1H)-Yl)Carboxamides: Identification of Novel Orthopoxvirus Egress Inhibitors. J. Med. Chem. 2007, 50, 1442–1444. [Google Scholar] [CrossRef]
- Dongcheng, D. Methods of Preparing Tecovirimat US20150322010A1, 12 November 2015.
- Rozhkov, S.S.; Ovchinnikov, K.L.; Krasovskaya, G.G.; Danilova, A.S.; Kolobov, A. V Synthesis of the E and Z Isomers of 3-(5-Aryl-1,3,4-Oxadiazol-2-Yl)Acrylic Acids. Russ. J. Org. Chem. 2015, 51, 1000–1005. [Google Scholar] [CrossRef]
- Han, X.; Zhu, X.; Zhu, S.; Wei, L.; Hong, Z.; Guo, L.; Chen, H.; Chi, B.; Liu, Y.; Feng, L.; et al. A Rational Design, Synthesis, Biological Evaluation and Structure–Activity Relationship Study of Novel Inhibitors against Cyanobacterial Fructose-1,6-Bisphosphate Aldolase. J. Chem. Inf. Model. 2015, 56, 73–81. [Google Scholar] [CrossRef]
- Szafrański, P.W.; Siwek, A.; Smaga-Maślanka, I.; Pomierny-Chamioło, L.; Ilnicki, P.; Żuchowski, G.; Nevalainen, T.; Filip, M.; Zajdel, P.; Cegła, M.T. Synthesis, Relative Configuration and CB1 Receptor Affinity Studies for a Set of 1,2,3-Triazole Derivatives. J. Mol. Struct. 2023, 1282, 135223. [Google Scholar] [CrossRef]
- Szafrański, P.W.; Trybula, M.E.; Kasza, P.; Cegła, M.T. Following the Oxidation State of Organosulfur Compounds with NMR: Experimental Data versus DFT Calculations and Database-Powered NMR Prediction. J. Mol. Struct. 2020, 1202, 127346. [Google Scholar] [CrossRef]
- Kasza, P.; Trybula, M.E.; Baradziej, K.; Kepczynski, M.; Szafrański, P.W.; Cegła, M.T. Fluorescent Triazolyl Spirooxazolidines: Synthesis and NMR Stereochemical Studies. J. Mol. Struct. 2019, 1183, 157–167. [Google Scholar] [CrossRef]
- Puranen, J.S.; Vainio, M.J.; Johnson, M.S. Accurate Conformation-Dependent Molecular Electrostatic Potentials for High-Throughput in Silico Drug Discovery. J. Comput. Chem. 2009, 31, 1722–1732. [Google Scholar] [CrossRef]
- James, J.P. Stewart, Stewart Computational Chemistry; MOPAC: Colorado Springs, CO, USA, 2016. Available online: HTTP://OpenMOPAC.Net (accessed on 16 December 2025).
- Hanson, R.M. Jmol-a Paradigm Shift in Crystallographic Visualization. J. Appl. Crystallogr. 2010, 43, 1250–1260. [Google Scholar] [CrossRef]







| No | Base | MsCl | Solvent | Isolated Yield (Crude) | HPLC Purity |
|---|---|---|---|---|---|
| 1 | TEA (3 eq.) | 3 eq. | EtOAc | 86% | 80.5% |
| 2 | TEA (3 eq.) | 1.05 eq. | CH2Cl2 | 64% | 3% |
| 3 | TEA (2 eq.) | 62% | 78% | ||
| 4 | TEA (1 eq.) + K2CO3 (1.5 eq.) | 59% | 93.9% | ||
| 5 | TEA (1 eq.) + K2CO3 (1 eq.) | 47% | 95% | ||
| 6 | TEA (0.5 eq.) + K2CO3 (1.5 eq.) | 36% | 94.3% | ||
| 7 | K2CO3 (2 eq.) | 9% | 22% |
| No | Catalyst | Isomerization Progress (1H NMR) a |
|---|---|---|
| 1 | NMM | - |
| 2 | Imidazole | 50% |
| 3 | NHS | 92% |
| 4 | Imidazole + NHS | 99% |
| 5 | NMM + NHS | 80% |
| 6 | TEA + NHS | 80% |
| Atom | 2a | 2b | 2c | 2d | 2e | 2f | 2h | 4 |
|---|---|---|---|---|---|---|---|---|
| -O-C=O | 0.62 | 0.61 | 0.61 | 0.62 | 0.62 | 0.61 | 0.60 | 0.62 |
| =C-C=O | −0.25 | −0.22 | −0.23 | −0.27 | −0.26 | −0.20 | −0.21 | −0.22 a |
| N=C-C= | −0.07 | −0.08 | −0.10 | −0.06 | −0.06 | −0.14 | −0.12 | −0.19 a |
| O-C=N | 0.30 | 0.30 | 0.24 | 0.27 | 0.28 | 0.30 | 0.32 | 0.40 |
| N-H | 0.37 | 0.37 | 0.34 | 0.37 | 0.37 | 0.30 | 0.37 | 0.36 |
| LUMO energy [eV] | −1.678 | −1.678 | −1.724 | −1.516 | −1.574 | −1.704 | −1.785 | −1.142 b |
| isomerization | +++ | + | +++ | ++ | +++ | - | +++ | ++ |
Disclaimer/Publisher’s Note: The statements, opinions and data contained in all publications are solely those of the individual author(s) and contributor(s) and not of MDPI and/or the editor(s). MDPI and/or the editor(s) disclaim responsibility for any injury to people or property resulting from any ideas, methods, instructions or products referred to in the content. |
© 2025 by the authors. Licensee MDPI, Basel, Switzerland. This article is an open access article distributed under the terms and conditions of the Creative Commons Attribution (CC BY) license.
Share and Cite
Szafrański, P.W.; Trybała, W.; Mazur, A.; Pańczyk-Straszak, K.; Kacprzak, A.; Canale, V.; Zajdel, P. Synthesis of Antiviral Drug Tecovirimat and Its Key Maleimide Intermediates Using Organocatalytic Mumm Rearrangement at Ambient Conditions. Int. J. Mol. Sci. 2026, 27, 61. https://doi.org/10.3390/ijms27010061
Szafrański PW, Trybała W, Mazur A, Pańczyk-Straszak K, Kacprzak A, Canale V, Zajdel P. Synthesis of Antiviral Drug Tecovirimat and Its Key Maleimide Intermediates Using Organocatalytic Mumm Rearrangement at Ambient Conditions. International Journal of Molecular Sciences. 2026; 27(1):61. https://doi.org/10.3390/ijms27010061
Chicago/Turabian StyleSzafrański, Przemysław W., Wojciech Trybała, Adam Mazur, Katarzyna Pańczyk-Straszak, Alicja Kacprzak, Vittorio Canale, and Paweł Zajdel. 2026. "Synthesis of Antiviral Drug Tecovirimat and Its Key Maleimide Intermediates Using Organocatalytic Mumm Rearrangement at Ambient Conditions" International Journal of Molecular Sciences 27, no. 1: 61. https://doi.org/10.3390/ijms27010061
APA StyleSzafrański, P. W., Trybała, W., Mazur, A., Pańczyk-Straszak, K., Kacprzak, A., Canale, V., & Zajdel, P. (2026). Synthesis of Antiviral Drug Tecovirimat and Its Key Maleimide Intermediates Using Organocatalytic Mumm Rearrangement at Ambient Conditions. International Journal of Molecular Sciences, 27(1), 61. https://doi.org/10.3390/ijms27010061

