Elucidating Immune Cell Changes in Celiac Disease: Revealing New Insights from Spectral Flow Cytometry
Abstract
1. Introduction
2. Results
2.1. Immunological Cell Patterns
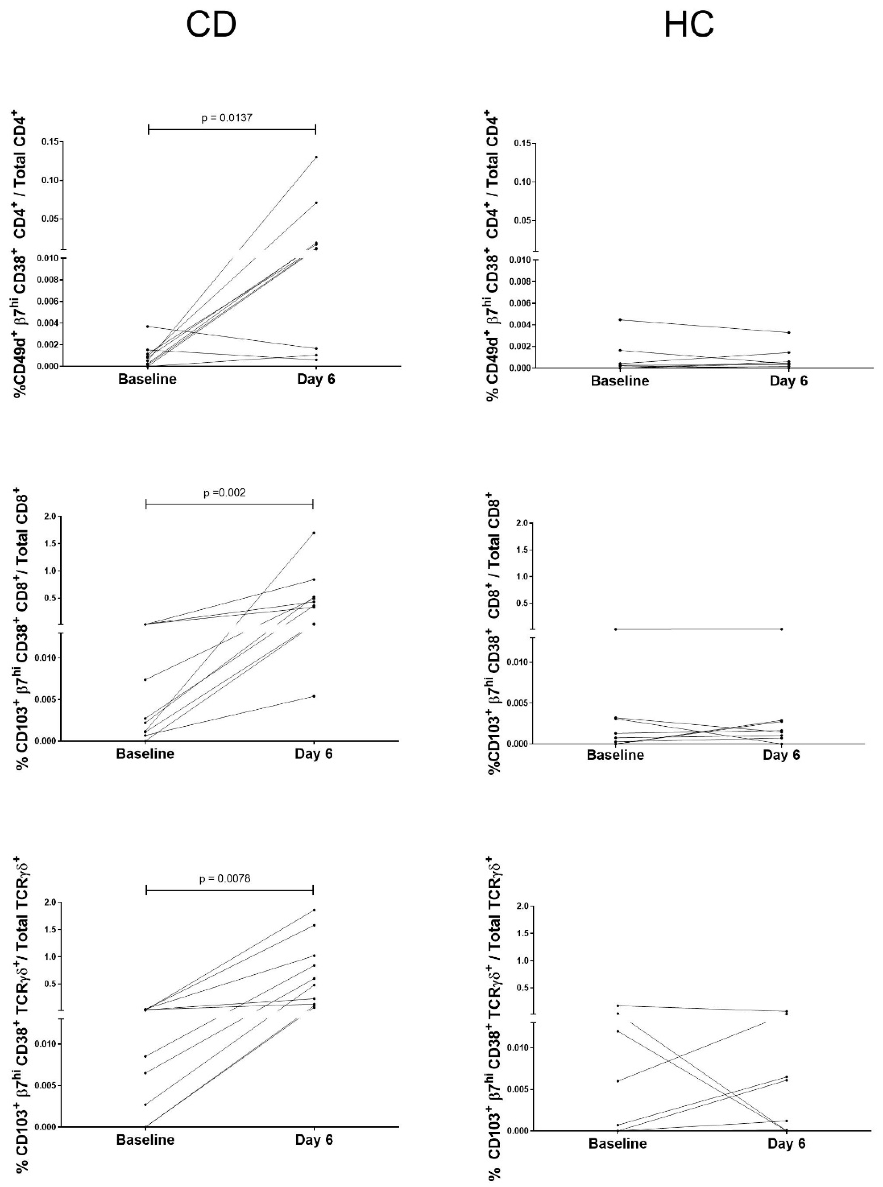
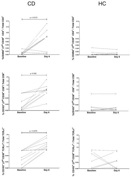
2.2. Characterization of CD4+, CD8+, and TCRγδ+ T Lymphocytes
3. Discussion
4. Materials and Methods
4.1. Study Design
4.2. Participants, Intervention, and Sample Collection
4.3. Panel Design
4.4. Sample Processing
4.5. Quality Control and Reproducibility: Panel Validation
4.6. Unsupervised Analysis
4.7. Supervised Analysis
Author Contributions
Funding
Institutional Review Board Statement
Informed Consent Statement
Data Availability Statement
Acknowledgments
Conflicts of Interest
Appendix A

Appendix B


Appendix C
| Product | Company | Reference |
|---|---|---|
| RBC lysis buffer (10X) | Biolegend | 420302 |
| LIVE/DEAD™ Fixable Blue Stain Fluorescence | Invitrogen | L34961 |
| True-Stain Monocyte Blocker™ | Biolegend | 426102 |
| Brilliant Stain Buffer | BD Biosciences | 563794 |
| anti-TCRγδ PerCP-eFluor 710 (clone: B1.1) | Invitrogen | 46-9959-42 |
| anti-CX3CR1 in BV711 (clone: 2A9-1) | Biolegend | 341630 |
| anti-CCR7 in BV421 (clone: G043H7) | Biolegend | 353208 |
| anti-CCR9 in PE/Dazzle (clone: L053E8) | Biolegend | 358918 |
| anti-CCR4 in BV750 (clone: 1G1) | BD Biosciences | 746980 |
| anti-CD11c in e-Fluor® 450 (clone: 3.9) | Invitrogen | 48-0116-42 |
| anti-CD127 in APC-R700 (clone: HIL-7R-M21) | BD Biosciences | 565185 |
| anti-CD3 in BV510 (clone: SK7) | Biolegend | 344828 |
| anti-CXCR3 in PE/Cy7 (clone: G025H7) | Biolegend | 353720 |
| anti-CD20 in Pacific Orange (clone: HI47) | Invitrogen | MHCD2030 |
| anti-CD39 in BUV615 (clone: TU66) | BD Biosciences | 751269 |
| anti-PD-1 in BV785 (clone: EH12.2H7) | Biolegend | 329930 |
| anti-CD1c in AF647 (clone: L161) | Biolegend | 331510 |
| anti-PD-L1 in BV650 (clone: 29E.2A3) | Biolegend | 329740 |
| anti-integrin β7 in PerCP/Cy5.5 (clone: FIB27) | Biolegend | 121008 |
| anti-CD38 in APC/Fire 810 (clone: HB-7) | Biolegend | 356644 |
| anti-CD25 in PE/AF-700 (clone: 3G10) | Invitrogen | MHCD2524 |
| anti-CD123 in SuperBright 436 (clone: 6H6) | Invitrogen | 62-1239-42 |
| anti-CD14 in Spark Blue 550 (clone: 63D3) | Biolegend | 367148 |
| anti-CD45 in PerCP (clone: 2D1) | Biolegend | 368506 |
| Anti-CLA in BV605 (HECA-452) | BD Biosciences | 563960 |
| anti-CD103 in PE (clone: Ber-ACT8) | Biolegend | 350206 |
| anti-CD141 in BB515 (clone: 1A4) | BD Biosciences | 566017 |
| anti-CD45RA in BUV395 (clone: 5H9) | BD Biosciences | 740315 |
| anti-CD49d in BUV615 (clone: 9F10) | BD Biosciences | 751596 |
| anti-CD19 in Spark NIR 685 (clone: HIB19) | Biolegend | 302270 |
| anti-CD69 in PE/Cy5 (clone: FN50) | Biolegend | 310908 |
| anti-HLA-DR in BUV563 (clone: G46-6) | BD Biosciences | 748340 |
| anti-CD56 in BUV737 (clone: NCAM16.2) | BD Biosciences | 612766 |
| anti-IgD in BUV480 (clone: IA6-2) | BD Biosciences | 566138 |
| anti-CD16 in BUV496 (clone: 3G8) | BD Biosciences | 612944 |
| anti-CD8 in BUV805 (clone: SK1) | BD Biosciences | 612889 |
| anti-CD4 in cFLUOR® YG584 (clone: SK3) | Cytek | SKU R7-20041 |
| anti-CD27 in APC/Cy7 (clone: M-T271) | Biolegend | 356424 |
References
- Ludvigsson, J.F.; Leffler, D.A.; Bai, J.C.; Biagi, F.; Fasano, A.; Green, P.H.R.; Hadjivassiliou, M.; Kaukinen, K.; Kelly, C.P.; Leonard, J.N.; et al. The Oslo definitions for coeliac disease and related terms. Gut 2013, 62, 43–52. [Google Scholar] [CrossRef] [PubMed]
- Anderson, R.P.; van Heel, A.D.; Tye-Din, A.J.; Barnardo, M.; Salio, M.; Jewell, D.P.; Hill, A.V.S. T cells in peripheral blood after gluten challenge in coeliac disease. Gut 2005, 54, 1217–1223. [Google Scholar] [CrossRef] [PubMed]
- Han, A.; Newell, E.W.; Glanville, J.; Fernandez-Becker, N.; Khosla, C.; Chien, Y.-H.; Davis, M.M. Dietary gluten triggers concomitant activation of CD4+ and CD8+ αβ T cells and γδ T cells in celiac disease. Proc. Natl. Acad. Sci. USA 2013, 110, 13073–13078. [Google Scholar] [CrossRef] [PubMed]
- López-Palacios, N.; Pascual, V.; Castaño, M.; Bodas, A.; Fernández-Prieto, M.; Espino-Paisán, L.; Martínez-Ojinaga, E.; Salazar, I.; Martínez-Curiel, R.; Rey, E.; et al. Evaluation of T cells in blood after a short gluten challenge for coeliac disease diagnosis. Dig. Liver Dis. 2018, 50, 1183–1188. [Google Scholar] [CrossRef]
- Fernández-Bañares, F.; López-Palacios, N.; Corzo, M.; Arau, B.; Rubio, M.; Fernández-Prieto, M.; Tristán, E.; Pujals, M.; Farrais, S.; Horta, S.; et al. Activated gut-homing CD8+ T cells for coeliac disease diagnosis on a gluten-free diet. BMC Med. 2021, 19, 237–246. [Google Scholar] [CrossRef]
- Christophersen, A.; Risnes, L.F.; Dahal-Koirala, S.; Sollid, L.M. Therapeutic and Diagnostic Implications of T Cell Scarring in Celiac Disease and Beyond. Trends Mol. Med. 2019, 25, 836–852. [Google Scholar] [CrossRef]
- Ráki, M.; Fallang, L.-E.; Brottveit, M.; Bergseng, E.; Quarsten, H.; Lundin, K.E.A.; Sollid, L.M. Tetramer visualization of gut-homing gluten-specific T cells in the peripheral blood of celiac disease patients. Proc. Natl. Acad. Sci. USA 2007, 104, 2831–2836. [Google Scholar] [CrossRef]
- Cook, L.; Munier, C.M.L.; Seddiki, N.; van Bockel, D.; Ontiveros, N.; Hardy, M.Y.; Gillies, J.K.; Levings, M.K.; Reid, H.H.; Petersen, J.; et al. Circulating gluten-specific FOXP3+ CD39+ regulatory T cells have impaired suppressive function in patients with celiac disease. J. Allergy Clin. Immunol. 2017, 140, 1592–1603. [Google Scholar] [CrossRef]
- Tompa, A.; Faresjö, M. Shift in the B cell subsets between children with type 1 diabetes and/or celiac disease. Clin. Exp. Immunol. 2024, 216, 36–44. [Google Scholar] [CrossRef]
- Escudero-Hernández, C.; Martín, Á.; de Pedro Andrés, R.; Fernández-Salazar, L.; Garrote, J.A.; Bernardo, D.; Arranz, E. Circulating Dendritic Cells from Celiac Disease Patients Display a Gut-Homing Profile and are Differentially Modulated by Different Gliadin-Derived Peptides. Mol. Nutr. Food Res. 2020, 64, e1900989. [Google Scholar] [CrossRef]
- Sabatino, D.; Bertrandi, E.; Maldini, C.; Pennese, F.; Proietti, F.; Corazza, G. Phenotyping of peripheral blood lymphocytes in adult coeliac disease. Immunology 1998, 95, 572–576. [Google Scholar] [CrossRef] [PubMed]
- Cseh, Á.; Vásárhelyi, B.; Szalay, B.; Molnár, K.; Nagy-Szakál, D.; Treszl, A.; Vannay, Á.; Arató, A.; Tulassay, T.; Veres, G. Immune Phenotype of Children with Newly Diagnosed and Gluten-Free Diet-Treated Celiac Disease. Dig. Dis. Sci. 2011, 56, 792–798. [Google Scholar] [CrossRef] [PubMed]
- Frisullo, G.; Nociti, V.; Iorio, R.; Patanella, A.K.; Marti, A.; Assunta, B.; Plantone, D.; Cammarota, G.; Tonali, P.A.; Batocchi, A.P. Increased CD4+CD25+Foxp3+ T cells in peripheral blood of celiac disease patients: Correlation with dietary treatment. Hum. Immunol. 2009, 70, 430–435. [Google Scholar] [CrossRef] [PubMed]
- Santaguida, M.G.; Gatto, I.; Mangino, G.; Virili, C.; Stramazzo, I.; Fallahi, P.; Antonelli, A.; Gargiulo, P.; Romeo, G.; Centanni, M. Breg Cells in Celiac Disease Isolated or Associated to Hashimoto’s Thyroiditis. Int. J. Endocrinol. 2018, 2018, 1–6. [Google Scholar] [CrossRef]
- Passerini, L.; Amodio, G.; Bassi, V.; Vitale, S.; Mottola, I.; Di Stefano, M.; Fanti, L.; Sgaramella, P.; Ziparo, C.; Furio, S.; et al. IL-10-producing regulatory cells impact on celiac disease evolution. Clin. Immunol. 2024, 260, 109923. [Google Scholar] [CrossRef]
- Baumgaertner, P.; Sankar, M.; Herrera, F.; Benedetti, F.; Barras, D.; Thierry, A.-C.; Dangaj, D.; Kandalaft, L.E.; Coukos, G.; Xenarios, I.; et al. Unsupervised Analysis of Flow Cytometry Data in a Clinical Setting Captures Cell Diversity and Allows Population Discovery. Front. Immunol. 2021, 12, 449–462. [Google Scholar] [CrossRef]
- Saeys, Y.; Van Gassen, S.; Lambrecht, B.N. Computational flow cytometry: Helping to make sense of high-dimensional immunology data. Nat. Rev. Immunol. 2016, 16, 449–462. [Google Scholar] [CrossRef]
- Christophersen, A.; Zühlke, S.; Lund, E.G.; Snir, O.; Dahal-Koirala, S.; Risnes, L.F.; Jahnsen, J.; Lundin, K.E.A.; Sollid, L.M. Pathogenic T Cells in Celiac Disease Change Phenotype on Gluten Challenge: Implications for T-Cell-Directed Therapies. Adv. Sci. 2021, 8, 2102778. [Google Scholar] [CrossRef]
- Morbach, H.; Eichhorn, E.M.; Liese, J.G.; Girschick, H.J. Reference values for B cell subpopulations from infancy to adulthood. Clin. Exp. Immunol. 2010, 162, 271–279. [Google Scholar] [CrossRef]
- Perez-Andres, M.; Paiva, B.; Nieto, W.G.; Caraux, A.; Schmitz, A.; Almeida, J.; Vogt, R.F.; Marti, G.E.; Rawstron, A.C.; Van Zelm, M.C.; et al. Human peripheral blood B-cell compartments: A crossroad in B-cell traffic. Cytometry B Clin. Cytom. 2010, 78B, S47–S60. [Google Scholar] [CrossRef]
- Knippenberg, S.; Peelen, E.; Smolders, J.; Thewissen, M.; Menheere, P.; Tervaert, J.W.C.; Hupperts, R.; Damoiseaux, J. Reduction in IL-10 producing B cells (Breg) in multiple sclerosis is accompanied by a reduced naïve/memory Breg ratio during a relapse but not in remission. J. Neuroimmunol. 2011, 239, 80–86. [Google Scholar] [CrossRef] [PubMed]
- Christophersen, A.; Dahal-Koirala, S.; Chlubnová, M.; Jahnsen, J.; Lundin, K.E.A.; Sollid, L.M. Phenotype-Based Isolation of Antigen-Specific CD4 + T Cells in Autoimmunity: A Study of Celiac Disease. Adv. Sci. 2022, 9, 2104766. [Google Scholar] [CrossRef] [PubMed]
- Gómez-Aguililla, S.; Farrais, S.; López-Palacios, N.; Arau, B.; Senosiain, C.; Corzo, M.; Fernandez-Jimenez, N.; Ruiz-Carnicer, A.; Fernández-Bañares, F.; González-García, B.P.; et al. Diagnosis of celiac disease on a gluten-free diet: A multicenter prospective quasi-experimental clinical study. medRxiv 2024. [Google Scholar] [CrossRef]
- Park, L.M.; Lannigan, J.; Jaimes, M.C. OMIP-069: Forty-Color Full Spectrum Flow Cytometry Panel for Deep Immunophenotyping of Major Cell Subsets in Human Peripheral Blood. Cytometry Part. A. 2020, 97, 1044–1051. [Google Scholar] [CrossRef]







| Analysis | Cluster | Lineage | Phenotypic Markers |
|---|---|---|---|
| CD45+ | Clu-29 | CD8+ CD3+ | CD127+ CD27+ CD45RA+ CCR7+ |
| Clu-68 | CD20+ CD19+ | CD27+ CD45RA+ HLA-DR+ CD49d+ | |
| Clu-04 | CD4+ CD3+ | CD38+ CD49d+ β7+ | |
| Clu-05 | CD4+ CD3+ | CD127+ CD27+ CD45RA+ CCR7+ | |
| Clu-69 | CD20+ CD19+ | CCR7+ CD45RA+ HLA-DR+ IgD+ | |
| CD3+ | Clu-21 | CD4+ | CD38+ CD49d+ β7+ |
| Clu-22 | CD8+ | CD38+ CD103+ β7+ |
Disclaimer/Publisher’s Note: The statements, opinions and data contained in all publications are solely those of the individual author(s) and contributor(s) and not of MDPI and/or the editor(s). MDPI and/or the editor(s) disclaim responsibility for any injury to people or property resulting from any ideas, methods, instructions or products referred to in the content. |
© 2025 by the authors. Licensee MDPI, Basel, Switzerland. This article is an open access article distributed under the terms and conditions of the Creative Commons Attribution (CC BY) license (https://creativecommons.org/licenses/by/4.0/).
Share and Cite
Gómez-Aguililla, S.; Farrais, S.; Senosiain, C.; López-Palacios, N.; Arau, B.; Ruiz-Carnicer, Á.; Sánchez-Domínguez, R.; Corzo, M.; Casado, I.; Pujals, M.; et al. Elucidating Immune Cell Changes in Celiac Disease: Revealing New Insights from Spectral Flow Cytometry. Int. J. Mol. Sci. 2025, 26, 2877. https://doi.org/10.3390/ijms26072877
Gómez-Aguililla S, Farrais S, Senosiain C, López-Palacios N, Arau B, Ruiz-Carnicer Á, Sánchez-Domínguez R, Corzo M, Casado I, Pujals M, et al. Elucidating Immune Cell Changes in Celiac Disease: Revealing New Insights from Spectral Flow Cytometry. International Journal of Molecular Sciences. 2025; 26(7):2877. https://doi.org/10.3390/ijms26072877
Chicago/Turabian StyleGómez-Aguililla, Sara, Sergio Farrais, Carla Senosiain, Natalia López-Palacios, Beatriz Arau, Ángela Ruiz-Carnicer, Rebeca Sánchez-Domínguez, María Corzo, Isabel Casado, Mar Pujals, and et al. 2025. "Elucidating Immune Cell Changes in Celiac Disease: Revealing New Insights from Spectral Flow Cytometry" International Journal of Molecular Sciences 26, no. 7: 2877. https://doi.org/10.3390/ijms26072877
APA StyleGómez-Aguililla, S., Farrais, S., Senosiain, C., López-Palacios, N., Arau, B., Ruiz-Carnicer, Á., Sánchez-Domínguez, R., Corzo, M., Casado, I., Pujals, M., Bodas, A., Sousa, C., & Núñez, C. (2025). Elucidating Immune Cell Changes in Celiac Disease: Revealing New Insights from Spectral Flow Cytometry. International Journal of Molecular Sciences, 26(7), 2877. https://doi.org/10.3390/ijms26072877

