Association of Plasma Lipid Patterns and LDL Cholesterol Levels with Breslow Thickness and Ulceration in Melanoma Patients
Abstract
1. Introduction
2. Results
2.1. Association Between LDL-C Level and Breslow Thickness of Melanoma Patients
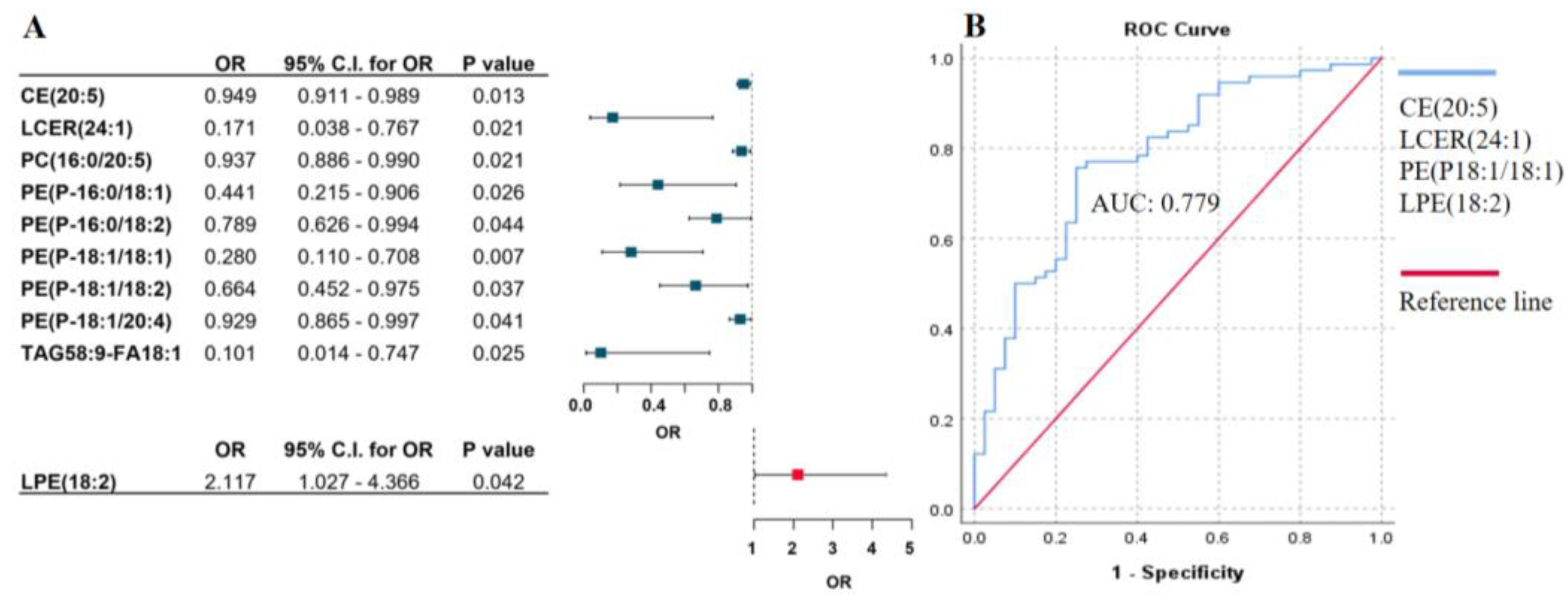
2.2. Lipid Species Signature in Plasma Associated with Breslow Thickness of the Primary Tumor
2.3. Association of Lipid Species Pattern with Ulceration of Primary Melanoma
3. Discussion
4. Materials and Methods
4.1. Melanoma Patients and Tumor Samples
4.2. Blood Samples and Extraction of Lipids from Plasma
4.3. Lipidomic Analysis and Data Processing
4.4. Statistical Analysis
5. Conclusions
Author Contributions
Funding
Institutional Review Board Statement
Informed Consent Statement
Data Availability Statement
Conflicts of Interest
References
- Breslow, A. Thickness, cross-sectional areas and depth of invasion in the prognosis of cutaneous melanoma. Ann. Surg. 1970, 172, 902–908. [Google Scholar] [CrossRef] [PubMed]
- Clark, W.H., Jr.; Mihm, M.C., Jr. Lentigo maligna and lentigo-maligna melanoma. Am. J. Pathol. 1969, 55, 39–67. [Google Scholar] [PubMed]
- Hersey, P.; Sillar, R.W.; Howe, C.G.; Burton, R.C.; Darbar, S.V.; Foster, H.M.; Collins, S.M.; Bradley, D.E.; Owens, D. Factors related to the presentation of patients with thick primary melanomas. Med. J. Aust. 1991, 154, 583–587. [Google Scholar] [CrossRef] [PubMed]
- Osborne, J.E.; Hutchinson, P.E. Clinical correlates of Breslow thickness of malignant melanoma. Br. J. Dermatol. 2001, 144, 476–483. [Google Scholar] [CrossRef]
- Balch, C.M.; Murad, T.M.; Soong, S.J.; Ingalls, A.L.; Halpern, N.B.; Maddox, W.A. A multifactorial analysis of melanoma: Prognostic histopathological features comparing Clark’s and Breslow’s staging methods. Ann. Surg. 1978, 188, 732–742. [Google Scholar] [CrossRef] [PubMed]
- Lachiewicz, A.M.; Berwick, M.; Wiggins, C.L.; Thomas, N.E. Survival differences between patients with scalp or neck melanoma and those with melanoma of other sites in the Surveillance, Epidemiology, and End Results (SEER) program. Arch. Dermatol. 2008, 144, 515–521. [Google Scholar] [CrossRef]
- Dabouz, F.; Barbe, C.; Lesage, C.; Le Clainche, A.; Arnoult, G.; Hibon, E.; Bernard, P.; Grange, F. Clinical and histological features of head and neck melanoma: A population-based study in France. Br. J. Dermatol. 2015, 172, 707–715. [Google Scholar] [CrossRef]
- Hille, D.M.; Mahoney, S.D.; Quirk, C.J. Factors affecting Breslow thickness: Results from a survey of 114 Western Australian patients with thicker melanoma. Australas. J. Dermatol. 2019, 60, 342–343. [Google Scholar] [CrossRef] [PubMed]
- Butler, L.M.; Perone, Y.; Dehairs, J.; Lupien, L.E.; de Laat, V.; Talebi, A.; Loda, M.; Kinlaw, W.B.; Swinnen, J.V. Lipids and cancer: Emerging roles in pathogenesis, diagnosis and therapeutic intervention. Adv. Drug Deliv. Rev. 2020, 159, 245–293. [Google Scholar] [PubMed]
- Hao, Y.; Li, D.; Xu, Y.; Ouyang, J.; Wang, Y.; Zhang, Y.; Li, B.; Xie, L.; Qin, G. Investigation of lipid metabolism dysregulation and the effects on immune microenvironments in pan-cancer using multiple omics data. BMC Bioinform. 2019, 20, 195. [Google Scholar] [CrossRef] [PubMed]
- Xie, J.; Wu, D.; Zhang, P.; Zhao, S.; Qi, M. Deciphering cutaneous melanoma prognosis through LDL metabolism: Single-cell transcriptomics analysis via 101 machine learning algorithms. Exp. Dermatol. 2024, 33, e15070. [Google Scholar] [CrossRef]
- Szasz, I.; Koroknai, V.; Varvolgyi, T.; Pal, L.; Szucs, S.; Piko, P.; Emri, G.; Janka, E.; Szabo, I.L.; Adany, R.; et al. Identification of Plasma Lipid Alterations Associated with Melanoma Metastasis. Int. J. Mol. Sci. 2024, 25, 4251. [Google Scholar] [CrossRef] [PubMed]
- Barricklow, Z.; DiVincenzo, M.J.; Angell, C.D.; Carson, W.E. Ulcerated Cutaneous Melanoma: A Review of the Clinical, Histologic, and Molecular Features Associated with a Clinically Aggressive Histologic Phenotype. Clin. Cosmet. Investig. Dermatol. 2022, 15, 1743–1757. [Google Scholar] [CrossRef] [PubMed]
- Zhao, Y.; Shen, M.; Wu, L.; Yang, H.; Yao, Y.; Yang, Q.; Du, J.; Liu, L.; Li, Y.; Bai, Y. Stromal cells in the tumour microenvironment: Accomplices of tumour progression? Cell Death Dis. 2023, 14, 587. [Google Scholar] [CrossRef]
- Marghoob, A.A.; Koenig, K.; Bittencourt, F.V.; Kopf, A.W.; Bart, R.S. Breslow thickness and clark level in melanoma: Support for including level in pathology reports and in American Joint Committee on Cancer Staging. Cancer 2000, 88, 589–595. [Google Scholar] [CrossRef]
- Mukherjee, A.; Bilecz, A.J.; Lengyel, E. The adipocyte microenvironment and cancer. Cancer Metastasis Rev. 2022, 41, 575–587. [Google Scholar] [CrossRef] [PubMed]
- Xie, H.; Li, L.; Zhu, G.; Dang, Q.; Ma, Z.; He, D.; Chang, L.; Song, W.; Chang, H.C.; Krolewski, J.J.; et al. Infiltrated pre-adipocytes increase prostate cancer metastasis via modulation of the miR-301a/androgen receptor (AR)/TGF-beta1/Smad/MMP9 signals. Oncotarget 2015, 6, 12326–12339. [Google Scholar] [CrossRef] [PubMed]
- Coelho, P.; Almeida, J.; Prudencio, C.; Fernandes, R.; Soares, R. Effect of Adipocyte Secretome in Melanoma Progression and Vasculogenic Mimicry. J. Cell Biochem. 2016, 117, 1697–1706. [Google Scholar] [CrossRef]
- Stoica, C.; Ferreira, A.K.; Hannan, K.; Bakovic, M. Bilayer Forming Phospholipids as Targets for Cancer Therapy. Int. J. Mol. Sci. 2022, 23, 5266. [Google Scholar] [CrossRef] [PubMed]
- Patel, D.; Witt, S.N. Ethanolamine and Phosphatidylethanolamine: Partners in Health and Disease. Oxid. Med. Cell Longev. 2017, 2017, 4829180. [Google Scholar] [CrossRef] [PubMed]
- Tan, L.T.; Chan, K.G.; Pusparajah, P.; Lee, W.L.; Chuah, L.H.; Khan, T.M.; Lee, L.H.; Goh, B.H. Targeting Membrane Lipid a Potential Cancer Cure? Front. Pharmacol. 2017, 8, 12. [Google Scholar] [CrossRef] [PubMed]
- Zhang, X.; Zhao, X.W.; Liu, D.B.; Han, C.Z.; Du, L.L.; Jing, J.X.; Wang, Y. Lipid levels in serum and cancerous tissues of colorectal cancer patients. World J. Gastroenterol. 2014, 20, 8646–8652. [Google Scholar] [CrossRef]
- Harm, T.; Dittrich, K.; Brun, A.; Fu, X.; Frey, M.; Petersen Uribe, A.; Schwarz, F.J.; Rohlfing, A.K.; Castor, T.; Geisler, T.; et al. Large-scale lipidomics profiling reveals characteristic lipid signatures associated with an increased cardiovascular risk. Clin. Res. Cardiol. 2023, 112, 1664–1678. [Google Scholar] [CrossRef]
- Gershenwald, J.E.; Scolyer, R.A.; Hess, K.R.; Sondak, V.K.; Long, G.V.; Ross, M.I.; Lazar, A.J.; Faries, M.B.; Kirkwood, J.M.; McArthur, G.A.; et al. Melanoma staging: Evidence-based changes in the American Joint Committee on Cancer eighth edition cancer staging manual. CA Cancer J. Clin. 2017, 67, 472–492. [Google Scholar] [CrossRef]
- Bonnelykke-Behrndtz, M.L.; Schmidt, H.; Christensen, I.J.; Damsgaard, T.E.; Moller, H.J.; Bastholt, L.; Norgaard, P.H.; Steiniche, T. Prognostic stratification of ulcerated melanoma: Not only the extent matters. Am. J. Clin. Pathol. 2014, 142, 845–856. [Google Scholar] [CrossRef] [PubMed]
- In’t Hout, F.E.; Haydu, L.E.; Murali, R.; Bonenkamp, J.J.; Thompson, J.F.; Scolyer, R.A. Prognostic importance of the extent of ulceration in patients with clinically localized cutaneous melanoma. Ann. Surg. 2012, 255, 1165–1170. [Google Scholar] [CrossRef]
- Wishart, D.S.; Guo, A.; Oler, E.; Wang, F.; Anjum, A.; Peters, H.; Dizon, R.; Sayeeda, Z.; Tian, S.; Lee, B.L.; et al. HMDB 5.0: The Human Metabolome Database for 2022. Nucleic Acids Res 2022, 50, D622–D631. [Google Scholar] [CrossRef] [PubMed]
- Bowman, E.R.; Cameron, C.; Richardson, B.; Kulkarni, M.; Gabriel, J.; Kettelhut, A.; Hornsby, L.; Kwiek, J.J.; Turner, A.N.; Malvestutto, C.; et al. In Vitro Exposure of Leukocytes to HIV Preexposure Prophylaxis Decreases Mitochondrial Function and Alters Gene Expression Profiles. Antimicrob. Agents Chemother. 2020, 65, e01755-20. [Google Scholar] [CrossRef] [PubMed]
- Lodge, S.; Lawler, N.G.; Gray, N.; Masuda, R.; Nitschke, P.; Whiley, L.; Bong, S.H.; Yeap, B.B.; Dwivedi, G.; Spraul, M.; et al. Integrative Plasma Metabolic and Lipidomic Modelling of SARS-CoV-2 Infection in Relation to Clinical Severity and Early Mortality Prediction. Int. J. Mol. Sci. 2023, 24, 11614. [Google Scholar] [CrossRef]
- Saito, K.; Gemma, A.; Tatsumi, K.; Hattori, N.; Ushiki, A.; Tsushima, K.; Saito, Y.; Abe, M.; Horimasu, Y.; Kashiwada, T.; et al. Identification and characterization of lysophosphatidylcholine 14:0 as a biomarker for drug-induced lung disease. Sci. Rep. 2022, 12, 19819. [Google Scholar] [CrossRef] [PubMed]
- Luczaj, W.; Jastrzab, A.; do Rosario Domingues, M.; Domingues, P.; Skrzydlewska, E. Changes in Phospholipid/Ceramide Profiles and Eicosanoid Levels in the Plasma of Rats Irradiated with UV Rays and Treated Topically with Cannabidiol. Int. J. Mol. Sci. 2021, 22, 8700. [Google Scholar] [CrossRef] [PubMed]
- Hohneck, A.L.; Rosenkaimer, S.; Hofheinz, R.D.; Akin, I.; Borggrefe, M.; Gerhards, S. Blood Cholesterol and Outcome of Patients with Cancer under Regular Cardiological Surveillance. Curr. Oncol. 2021, 28, 863–872. [Google Scholar] [CrossRef] [PubMed]
- Raza, U.; Asif, M.R.; Rehman, A.B.; Sheikh, A. Hyperlipidemia and hyper glycaemia in Breast Cancer Patients is related to disease stage. Pak. J. Med. Sci. 2018, 34, 209–214. [Google Scholar] [CrossRef] [PubMed]
- Rodrigues Dos Santos, C.; Fonseca, I.; Dias, S.; Mendes de Almeida, J.C. Plasma level of LDL-cholesterol at diagnosis is a predictor factor of breast tumour progression. BMC Cancer 2014, 14, 132. [Google Scholar] [CrossRef] [PubMed]
- Koomen, E.R.; Joosse, A.; Herings, R.M.; Casparie, M.K.; Bergman, W.; Nijsten, T.; Guchelaar, H.J. Is statin use associated with a reduced incidence, a reduced Breslow thickness or delayed metastasis of melanoma of the skin? Eur. J. Cancer 2007, 43, 2580–2589. [Google Scholar] [CrossRef] [PubMed]
- Piko, P.; Pal, L.; Szucs, S.; Kosa, Z.; Sandor, J.; Adany, R. Obesity-Related Changes in Human Plasma Lipidome Determined by the Lipidyzer Platform. Biomolecules 2021, 11, 326. [Google Scholar] [CrossRef]
- Franko, A.; Merkel, D.; Kovarova, M.; Hoene, M.; Jaghutriz, B.A.; Heni, M.; Konigsrainer, A.; Papan, C.; Lehr, S.; Haring, H.U.; et al. Dissociation of Fatty Liver and Insulin Resistance in I148M PNPLA3 Carriers: Differences in Diacylglycerol (DAG) FA18:1 Lipid Species as a Possible Explanation. Nutrients 2018, 10, 1314. [Google Scholar] [CrossRef] [PubMed]
- Ubhi, B.K. Direct Infusion-Tandem Mass Spectrometry (DI-MS/MS) Analysis of Complex Lipids in Human Plasma and Serum Using the Lipidyzer Platform. Methods Mol. Biol. 2018, 1730, 227–236. [Google Scholar]
- Liebisch, G.; Fahy, E.; Aoki, J.; Dennis, E.A.; Durand, T.; Ejsing, C.S.; Fedorova, M.; Feussner, I.; Griffiths, W.J.; Kofeler, H.; et al. Update on LIPID MAPS classification, nomenclature, and shorthand notation for MS-derived lipid structures. J. Lipid Res. 2020, 61, 1539–1555. [Google Scholar] [CrossRef] [PubMed]



![]() | |||
|---|---|---|---|
| Tumor Free Patients | Patients with Metastasis | ||
| Number of Patients (%) | |||
| 83 (54.97) | 68 (45.03) | ||
| Gender | Gender | ||
| Female | 44 (29.14) | Female | 23 (15.23) |
| Male | 39 (25.83) | Male | 45 (29.80) |
| Age groups (average age: 61.10 years) | Age groups (average age: 63.04 years) | ||
| 20–50 | 22 (14.57) | 20–50 | 7 (4.64) |
| ≥50 | 61 (40.40) | ≥50 | 61 (40.40) |
| Breslow thickness | Breslow thickness | ||
| <2 mm | 30 (19.87) | <2 mm | 10 (6.62) |
| ≥2 mm | 40 (26.49) | ≥2 mm | 34 (22.51) |
| No data | 13 (8.61) | No data | 24 (15.89) |
| Ulceration | Ulceration | ||
| Present | 32 (21.19) | Present | 35 (23.18) |
| Absent | 34 (22.52) | Absent | 10 (6.62) |
| No data | 17 (11.26) | No data | 23 (15.23) |
| Type of therapy at the time of blood sampling | |||
| None | 53 (35.10) | None | 11 (7.28) |
| Immunotherapy a | 22 (14.57) | Immunotherapy a | 42 (27.81) |
| Targeted therapy b | 8 (5.30) | Targeted therapy b | 15 (9.93) |
Disclaimer/Publisher’s Note: The statements, opinions and data contained in all publications are solely those of the individual author(s) and contributor(s) and not of MDPI and/or the editor(s). MDPI and/or the editor(s) disclaim responsibility for any injury to people or property resulting from any ideas, methods, instructions or products referred to in the content. |
© 2025 by the authors. Licensee MDPI, Basel, Switzerland. This article is an open access article distributed under the terms and conditions of the Creative Commons Attribution (CC BY) license (https://creativecommons.org/licenses/by/4.0/).
Share and Cite
Szász, I.; Koroknai, V.; Várvölgyi, T.; Pál, L.; Szűcs, S.; Pikó, P.; Emri, G.; Janka, E.; Szabó, I.L.; Ádány, R.; et al. Association of Plasma Lipid Patterns and LDL Cholesterol Levels with Breslow Thickness and Ulceration in Melanoma Patients. Int. J. Mol. Sci. 2025, 26, 1716. https://doi.org/10.3390/ijms26041716
Szász I, Koroknai V, Várvölgyi T, Pál L, Szűcs S, Pikó P, Emri G, Janka E, Szabó IL, Ádány R, et al. Association of Plasma Lipid Patterns and LDL Cholesterol Levels with Breslow Thickness and Ulceration in Melanoma Patients. International Journal of Molecular Sciences. 2025; 26(4):1716. https://doi.org/10.3390/ijms26041716
Chicago/Turabian StyleSzász, István, Viktória Koroknai, Tünde Várvölgyi, László Pál, Sándor Szűcs, Péter Pikó, Gabriella Emri, Eszter Janka, Imre Lőrinc Szabó, Róza Ádány, and et al. 2025. "Association of Plasma Lipid Patterns and LDL Cholesterol Levels with Breslow Thickness and Ulceration in Melanoma Patients" International Journal of Molecular Sciences 26, no. 4: 1716. https://doi.org/10.3390/ijms26041716
APA StyleSzász, I., Koroknai, V., Várvölgyi, T., Pál, L., Szűcs, S., Pikó, P., Emri, G., Janka, E., Szabó, I. L., Ádány, R., & Balázs, M. (2025). Association of Plasma Lipid Patterns and LDL Cholesterol Levels with Breslow Thickness and Ulceration in Melanoma Patients. International Journal of Molecular Sciences, 26(4), 1716. https://doi.org/10.3390/ijms26041716


