Development of CS/PLA Composites with Enhanced Ductility via PBS Elastomer Reinforcement
Abstract
1. Introduction
2. Results and Discussion
2.1. Effect of PBS Contents on Chemical Properties of CS/PLA-ADR-PBS Composites
2.2. Mechanical Properties of Composites
2.3. The Effect of PBS Contents on the Morphology of CS/PLA-ADR-PBS Composites
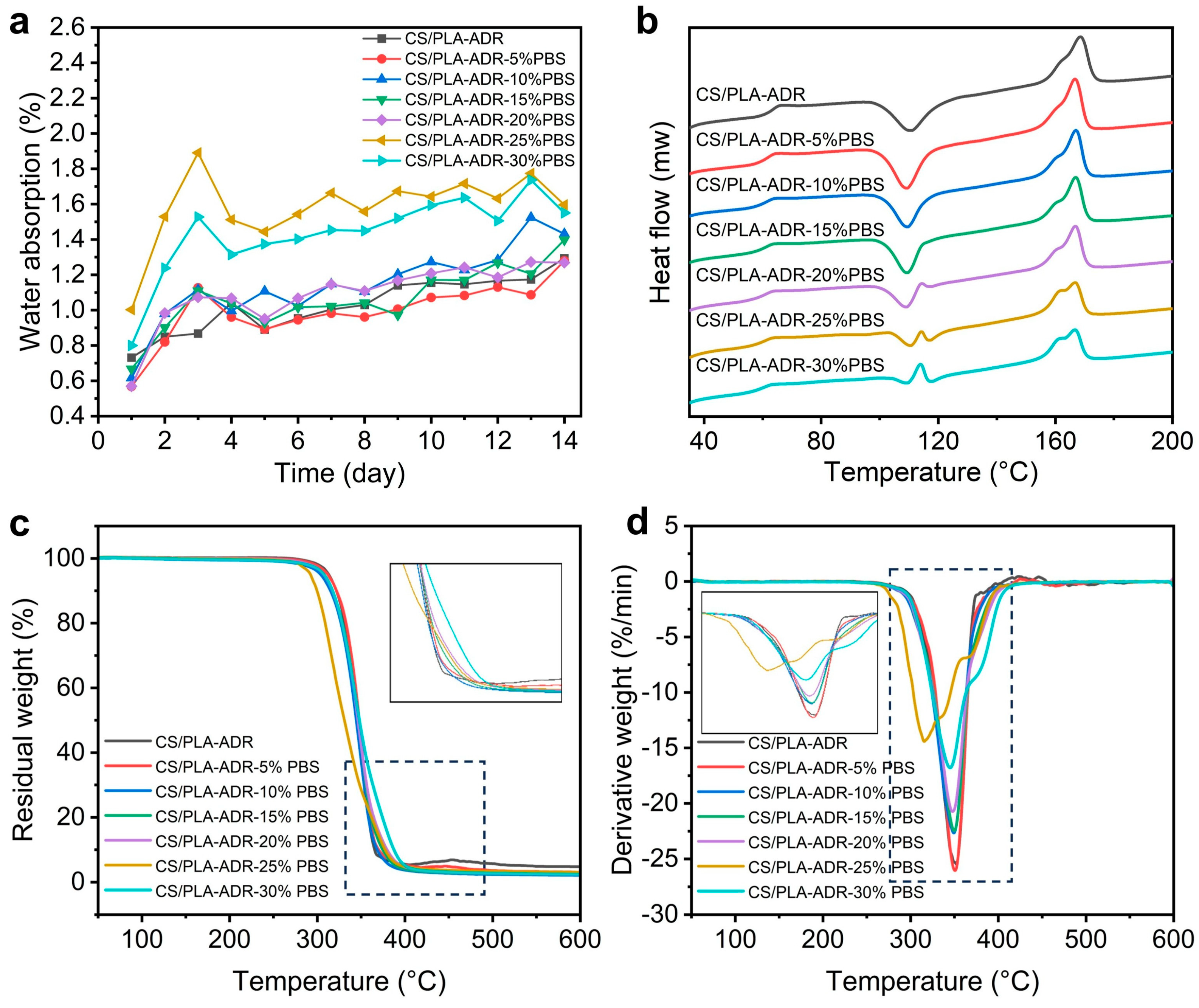
2.4. Effect of PBS Contents on Water Absorption of CS/PLA-ADR-PBS Composites
2.5. Effect of PBS Contents on Thermal Properties of CS/PLA-ADR-PBS Composites
2.6. Effect of PBS Contents on Thermal Stability of CS/PLA-ADR-PBS Composites
2.7. Effect of PBS Contents on Crystallization Properties of CS/PLA-ADR-PBS Composites
2.8. Effect of PBS Contents on Thermomechanical Properties of CS/PLA-ADR-PBS Composites
2.9. Effect of PBS Contents on Rheological Properties of CS/PLA-ADR-PBS Composites
2.10. Mechanism of CS/PLA-ADR Composite Capacitation and Toughening by PBS
3. Methods and Materials
3.1. Experimental Materials
3.2. Preparation of CS/PLA-ADR-PBS Composites
3.3. Characterization
4. Conclusions
Author Contributions
Funding
Institutional Review Board Statement
Informed Consent Statement
Data Availability Statement
Conflicts of Interest
References
- Bioplastics, E. Plastics Strategy—Contribution of Bioplastics to a Sustainable Circular Plastics Economy. In European Bioplastics; Elsevier: Berlin, Germany, 2018. [Google Scholar]
- Srimalanon, P.; Prapagdee, B.; Markpin, T.; Sombatsompop, N. Effects of DCP as a free radical producer and HPQM as a biocide on the mechanical properties and antibacterial performance of in situ compatibilized PBS/PLA blends. Polym. Test. 2018, 67, 331–341. [Google Scholar] [CrossRef]
- Wang, L.; Ma, W.; Gross, R.; McCarthy, S. Reactive compatibilization of biodegradable blends of poly (lactic acid) and poly (ε-caprolactone). Polym. Degrad. Stab. 1998, 59, 161–168. [Google Scholar] [CrossRef]
- Zhao, P.; Liu, W.; Wu, Q.; Ren, J. Preparation, mechanical, and thermal properties of biodegradable polyesters/poly (lactic acid) blends. J. Nanomater. 2010, 2010, 287082. [Google Scholar] [CrossRef]
- Gigli, M.; Fabbri, M.; Lotti, N.; Gamberini, R.; Rimini, B.; Munari, A. Poly (butylene succinate)-based polyesters for biomedical applications: A review. Eur. Polym. J. 2016, 75, 431–460. [Google Scholar] [CrossRef]
- Changwichan, K.; Silalertruksa, T.; Gheewala, S.H. Eco-efficiency assessment of bioplastics production systems and end-of-life options. Sustainability 2018, 10, 952. [Google Scholar] [CrossRef]
- Khan, W.U.; Khan, S.U.; Khan, S.U.; Gul, A.; Zaman, H.; Khan, W.U.; Ali, N.; Aziz, A.; Khan, M.I.; Khan, D.; et al. Carboxymethyl-cellulose/starch/copper-oxide nanocomposite hydrogel green synthesis for organic pollutants photocatalytic degradation that supports health applications. Colloids Surf. A Physicochem. Eng. Asp. 2025, 718, 136919. [Google Scholar] [CrossRef]
- Zhu, G.; Wang, J.; Gao, J.; Lin, X.; Zhu, Z. Simple preparation, big effect: Chitosan-based flame retardant towards simultaneous enhancement of flame retardancy, antibacterial, crystallization and mechanical properties of PLA. Int. J. Biol. Macromol. 2025, 303, 140668. [Google Scholar] [CrossRef]
- Barczewski, M.; Aniśko, J.; Hejna, A.; Marć, M.; Safandowska, M.; Lewandowski, K.; Ortega, Z.; Mietliński, P.; Andrzejewski, J. The use of chain extenders as processing aids in the valorization of single-use polylactide (PLA) products by rotomolding. J. Clean. Prod. 2024, 478, 143969. [Google Scholar] [CrossRef]
- Yan, T.; Wang, X.; Qiao, Y. Strategy to Antibacterial, High-Mechanical, and Degradable Polylactic Acid/Chitosan Composite Film through Reactive Compatibilization via Epoxy Chain Extender. ACS Omega 2024, 9, 27312–27320. [Google Scholar] [CrossRef]
- Qu, D.; Wang, L.; Sun, S.; Gao, H.; Bai, Y.; Ding, L. Properties of poly (butylene-co-isosorbide succinate) after blown film extrusion. Green Matters 2019, 8, 68–78. [Google Scholar] [CrossRef]
- Suparanon, T.; Phusunti, N.; Phetwarotai, W. Properties and characteristics of polylactide blends: Synergistic combination of poly (butylene succinate) and flame retardant. Polym. Adv. Technol. 2018, 29, 785–794. [Google Scholar] [CrossRef]
- Su, S.; Kopitzky, R.; Tolga, S.; Kabasci, S. Polylactide (PLA) and Its Blends with Poly(butylene succinate) (PBS): A Brief Review. Polymers 2019, 11, 1193. [Google Scholar] [CrossRef] [PubMed]
- Preampree, S.; Thanyapanich, T.; Boonmahittsud, A.; Intatha, U.; Tawichai, N.; Soykeabkaew, N. Effects of mold sealing and fiber volume fraction on properties of rice straw/unsaturated polyester biocomposites. ScienceAsia 2020, 46, 85–90. [Google Scholar] [CrossRef]
- Yu, W.; Sun, L.; Li, M.; Li, M.; Lei, W.; Wei, C. FDM 3D Printing and Properties of PBS/PLA Blends. Polymers 2023, 15, 4305. [Google Scholar] [CrossRef]
- Ullah, M.S.; Yildirim, R.; Kodal, M.; Ozkoc, G. Reactive compatibilization of PLA/PBS bio-blends via a new generation of hybrid nanoparticles. J. Vinyl Addit. Technol. 2023, 29, 737–757. [Google Scholar] [CrossRef]
- Jia, S.; Yan, Z.; Zhu, Y.; Zhang, Q.; Zhang, X.; Coates, P.; Liu, W.; Zhao, Z. Distinct strategy for the improvement of conductivity and electromagnetic shielding properties of MWCNTs/PLA/PBS composites: Synergistic effects of double percolation structure and UV aging. Polym. Compos. 2023, 44, 2816–2835. [Google Scholar] [CrossRef]
- Koca, N.; Aversa, C.; Barletta, M.J.J. Recycling of poly(lactic acid)/poly(butylene succinate) (PLA/PBS) blends with high amounts of secondary raw material. J. Appl. Polym. Sci. 2023, 140, e54659. [Google Scholar] [CrossRef]
- Liu, Y.; Dou, Q. Enhanced toughness of poly(lactic acid) and poly(butylene adipate-co-terephthalate) blends by incorporating an ADR chain-extending agent and a bio-resourced plasticizer. Int. J. Biol. Macromol. 2025, 293, 139344. [Google Scholar] [CrossRef]
- de Matos Costa, A.R.; Crocitti, A.; Hecker de Carvalho, L.; Carroccio, S.C.; Cerruti, P.; Santagata, G. Properties of Biodegradable Films Based on Poly(butylene Succinate) (PBS) and Poly(butylene Adipate-co-Terephthalate) (PBAT) Blends. Polymers 2020, 12, 2317. [Google Scholar] [CrossRef]
- Chen, Q.; Wen, X.; Chen, H.; Qi, Y.; Gong, J.; Yang, H.; Li, Y.; Tang, T. Study of the effect of nanosized carbon black on flammability and mechanical properties of poly(butylene succinate). Polym. Adv. Technol. 2015, 26, 128–135. [Google Scholar] [CrossRef]
- Fang, Y.-G.; Lin, J.-Y.; Zhang, Y.-C.; Qiu, Q.-W.; Zeng, Y.; Li, W.-X.; Wang, Z.-Y. A reactive compatibilization with the compound containing four epoxy groups for polylactic acid/poly(butylene adipate-co-terephthalate)/thermoplastic starch ternary bio-composites. Int. J. Biol. Macromol. 2024, 262, 129998. [Google Scholar] [CrossRef] [PubMed]
- Wang, P.; Wang, Z.; Yan, T.; Yang, L.; Yang, L.; Ling, J.; Feng, S.; Xu, P.; Ding, Y. Mechanically robust and flame-retardant poly(lactide)/poly(butylene adipate-co-terephthalate) composites based on carbon nanotubes and ammonium polyphosphate. Int. J. Biol. Macromol. 2022, 221, 573–584. [Google Scholar] [CrossRef]
- Choi, I.S.; Kim, Y.K.; Hong, S.H.; Seo, H.-J.; Hwang, S.-H.; Kim, J.; Lim, S.K. Effects of Polybutylene Succinate Content on the Rheological Properties of Polylactic Acid/Polybutylene Succinate Blends and the Characteristics of Their Fibers. Materials 2024, 17, 662. [Google Scholar] [CrossRef]
- Chuayjuljit, S.; Wongwaiwattanakul, C.; Chaiwutthinan, P.; Prasassarakich, P.J.P.C. Biodegradable poly(lactic acid)/poly(butylene succinate)/wood flour composites: Physical and morphological properties. Polym. Compos. 2017, 38, 2841–2851. [Google Scholar] [CrossRef]
- Zhang, X.; Zhang, Y. Reinforcement effect of poly(butylene succinate) (PBS)-grafted cellulose nanocrystal on toughened PBS/polylactic acid blends. Carbohydr. Polym. 2016, 140, 374–382. [Google Scholar] [CrossRef] [PubMed]
- Sun, C.; Ren, L.; Qin, Y.; Liu, X.; Shao, M.; Mu, G.; Gao, Y.; Zhang, M. In-situ reaction compatibilization modification of biodegradable poly (lactic acid)/poly (3-hydroxybutyrate-co-4-hydroxy-butyrate) blends by multifunctional epoxy compound. J. Polym. Res. 2025, 32, 46. [Google Scholar] [CrossRef]
- Han, Y.; Shi, J.; Mao, L.; Wang, Z.; Zhang, L. Improvement of Compatibility and Mechanical Performances of PLA/PBAT Composites with Epoxidized Soybean Oil as Compatibilizer. Ind. Eng. Chem. Res. 2020, 59, 21779–21790. [Google Scholar] [CrossRef]
- Tachaphiboonsap, S.; Jarukumjorn, K. Mechanical, Thermal, and Morphological Properties of Thermoplastic Starch/Poly(lactic acid/Poly(butylene adipate-co-terephthalate) Blends. Adv. Mater. Res. 2014, 970, 312–316. [Google Scholar] [CrossRef]
- Zhou, S.; Hrymak, A.N.; Kamal, M.R. Properties of microinjection-molded multi-walled carbon nanotubes-filled poly(lactic acid)/poly[(butylene succinate)-co-adipate] blend nanocomposites. J. Mater. Sci. 2018, 53, 9013–9025. [Google Scholar] [CrossRef]
- Park, C.-W.; Youe, W.-J.; Han, S.-Y.; Park, J.-S.; Lee, E.-A.; Park, J.-Y.; Kwon, G.-J.; Kim, S.-J.; Lee, S.-H. Influence of Lignin and Polymeric Diphenylmethane Diisocyante Addition on the Properties of Poly(butylene succinate)/Wood Flour Composite. Polymers 2019, 11, 1161. [Google Scholar] [CrossRef]
- Zhang, Q.; Ma, L.; Zhang, X.; Zhang, L.; Wang, Z. Lignocellulose nanofiber/polylactic acid (LCNF/PLA) composite with internal lignin for enhanced performance as 3D printable filament. Ind. Crops Prod. 2022, 178, 114590. [Google Scholar] [CrossRef]
- Jariyasakoolroj, P.; Kumsang, P.; Phattarateera, S.; Kerddonfag, N. Enhanced Impact Resistance, Oxygen Barrier, and Thermal Dimensional Stability of Biaxially Processed Miscible Poly(Lactic Acid)/Poly(Butylene Succinate) Thin Films. Polymers 2024, 16, 3033. [Google Scholar] [CrossRef]
- Song, J.; Yu, S.; Han, J.; Zhang, R.; Ma, X. Preparation of Antimicrobial Polybutylene Succinate/Polylactic Acid Composites with a Promoting Effect on the Growth of Green Vegetables. J. Polym. Environ. 2024, 32, 4213–4228. [Google Scholar] [CrossRef]
- Shen, A.; Wang, G.; Wang, J.; Zhang, X.; Fei, X.; Fan, L.; Zhu, J.; Liu, X. Poly(1,4-butylene -co-1,4-cyclohexanedimethylene 2,5-furandicarboxylate) copolyester: Potential bio-based engineering plastic. Eur. Polym. J. 2021, 147, 110317. [Google Scholar] [CrossRef]
- Wang, X.; Peng, S.; Chen, H.; Yu, X.; Zhao, X. Mechanical properties, rheological behaviors, and phase morphologies of high-toughness PLA/PBAT blends by in-situ reactive compatibilization. Compos. Part B Eng. 2019, 173, 107028. [Google Scholar] [CrossRef]
- Ge, Q.-y.; Dou, Q. Preparation of Supertough Polylactide/Polybutylene Succinate/Epoxidized Soybean Oil Bio-Blends by Chain Extension. ACS Sustain. Chem. Eng. 2023, 11, 9620–9629. [Google Scholar] [CrossRef]
- Yuan, J.; Gao, X.; Chen, Y.; Zhao, L.; Hu, D. Green Fabrication of Biobased and Degradable Poly(lactic acid)/Poly(butylene succinate) Open-Cell Foams for Highly Efficient Oil–Water Separation with Ultrafast Degradation. ACS Sustain. Chem. Eng. 2024, 12, 18101–18113. [Google Scholar] [CrossRef]
- GB/T 1040.1-2018; Plastics—Determination of Tensile Properties—Part 1:General Principles. Standards Press of China: Beijing, China, 2018.
- GB/T 9341-2008; Plastics—Determination of Flexural Properties. Standards Press of China: Beijing, China, 2008.
- GB/T 9341-2008; Plastics—Determination of Charpy Impact Properties—Part 1: Non—Instrumented Impact Test. Standards Press of China: Beijing, China, 2008.
- GB/T 1034-2008; Plastics—Determination of Water Absorption. Standards Press of China: Beijing, China, 2008.
- Song, Y.; Tashiro, K.; Xu, D.; Liu, J.; Bin, Y. Crystallization behavior of poly(lactic acid)/microfibrillated cellulose composite. Polymer 2013, 54, 3417–3425. [Google Scholar] [CrossRef]









| Formulation | Tg (°C) | Tcc (°C) | Tm (°C) | ΔHm (J/g) | Xc (%) |
|---|---|---|---|---|---|
| CS/PLA-ADR | 63.63 | 110.8 | 168.6 | 3.05 | 3.39 |
| CS/PLA-ADR-5%PBS | 62.01 | 109.17 | 166.68 | 1.07 | 1.12 |
| CS/PLA-ADR-10%PBS | 61.50 | 109.45 | 167.00 | 3.33 | 3.29 |
| CS/PLA-ADR-15%PBS | 61.10 | 109.32 | 166.90 | 3.58 | 3.36 |
| CS/PLA-ADR-20%PBS | 61.20 | 109.19 | 166.83 | 6.776 | 6.03 |
| CS/PLA-ADR-25%PBS | 60.26 | 110.67 | 166.71 | 8.349 | 7.08 |
| CS/PLA-ADR-30%PBS | 60.83 | 109.48 | 166.62 | 12.259 | 9.93 |
| Sample | CS (wt%) | PLA + PBS (wt%) | PLA /(PLA + PBS) | PBS /(PLA + PBS) | ADR (%) |
|---|---|---|---|---|---|
| CS/PLA-ADR-5%PBS | 4 | 96 | 95% | 5% | 1.5 |
| CS/PLA-ADR-10%PBS | 4 | 96 | 90% | 10% | 1.5 |
| CS/PLA-ADR-15%PBS | 4 | 96 | 85% | 15% | 1.5 |
| CS/PLA-ADR-20%PBS | 4 | 96 | 80% | 20% | 1.5 |
| CS/PLA-ADR-25%PBS | 4 | 96 | 75% | 25% | 1.5 |
| CS/PLA-ADR-30%PBS | 4 | 96 | 70% | 30% | 1.5 |
Disclaimer/Publisher’s Note: The statements, opinions and data contained in all publications are solely those of the individual author(s) and contributor(s) and not of MDPI and/or the editor(s). MDPI and/or the editor(s) disclaim responsibility for any injury to people or property resulting from any ideas, methods, instructions or products referred to in the content. |
© 2025 by the authors. Licensee MDPI, Basel, Switzerland. This article is an open access article distributed under the terms and conditions of the Creative Commons Attribution (CC BY) license (https://creativecommons.org/licenses/by/4.0/).
Share and Cite
Yan, T.; Chen, K.; Wang, X.; Qiao, Y. Development of CS/PLA Composites with Enhanced Ductility via PBS Elastomer Reinforcement. Int. J. Mol. Sci. 2025, 26, 4643. https://doi.org/10.3390/ijms26104643
Yan T, Chen K, Wang X, Qiao Y. Development of CS/PLA Composites with Enhanced Ductility via PBS Elastomer Reinforcement. International Journal of Molecular Sciences. 2025; 26(10):4643. https://doi.org/10.3390/ijms26104643
Chicago/Turabian StyleYan, Tingqiang, Kang Chen, Xiaodong Wang, and Yingjie Qiao. 2025. "Development of CS/PLA Composites with Enhanced Ductility via PBS Elastomer Reinforcement" International Journal of Molecular Sciences 26, no. 10: 4643. https://doi.org/10.3390/ijms26104643
APA StyleYan, T., Chen, K., Wang, X., & Qiao, Y. (2025). Development of CS/PLA Composites with Enhanced Ductility via PBS Elastomer Reinforcement. International Journal of Molecular Sciences, 26(10), 4643. https://doi.org/10.3390/ijms26104643

