The Immunophenotype and the Odontogenic Commitment of Dental Pulp Stem Cells Co-Cultured with Macrophages Under Inflammatory Conditions Is Modulated by Complex Magnetic Fields
Abstract
1. Introduction
2. Results
2.1. Morphological Changes After the CMF Treatment
2.2. Cytotoxicity Occurrence Under Pro-Inflammatory Conditions and After CMF Treatment
2.3. The Effect of CMF Treatment on the Generation of Superoxide Anions
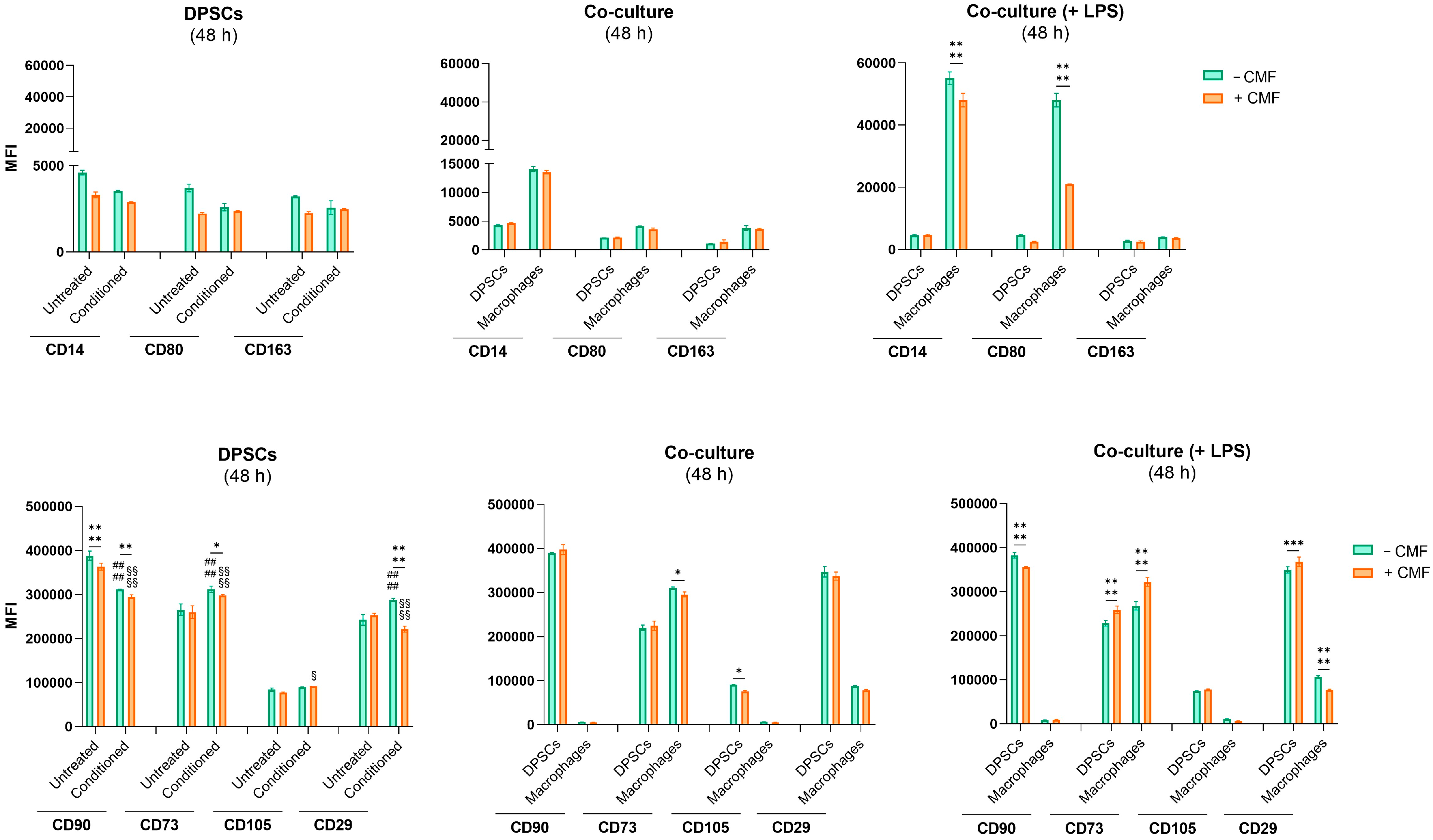
2.4. Immunophenotypic Profile of Co-Cultured DPSCs and Macrophages Under Inflammatory Conditions and After CMF Treatment
3. Discussion
4. Materials and Methods
4.1. Cell Cultures
4.2. Set up of a Cell Co-Culture Model and Establishment of Pro-Inflammatory Conditions
4.3. Cell Treatment with the CMF Device
4.4. Cytotoxicity Assay (LDH Test)
4.5. Detection of Mitochondrial Superoxide Anions
4.6. Immunophenotyping In Vitro by Flow Cytometry
4.7. Statistical Analysis
5. Conclusions
Author Contributions
Funding
Institutional Review Board Statement
Informed Consent Statement
Data Availability Statement
Acknowledgments
Conflicts of Interest
References
- Chen, Z.; Lang, G.; Xu, X.; Liang, X.; Han, Y.; Han, Y. The Role of NF-kappaB in the Inflammatory Processes Related to Dental Caries, Pulpitis, Apical Periodontitis, and Periodontitis—A Narrative Review. PeerJ 2024, 12, e17953. [Google Scholar] [CrossRef] [PubMed]
- Chang, M.-C.; Chen, N.-Y.; Chen, J.-H.; Huang, W.-L.; Chen, C.-Y.; Huang, C.-C.; Pan, Y.-H.; Chang, H.-H.; Jeng, J.-H. bFGF Stimulated Plasminogen Activation Factors, but Inhibited Alkaline Phosphatase and SPARC in Stem Cells from Apical Papilla: Involvement of MEK/ERK, TAK1 and P38 Signaling. J. Adv. Res. 2022, 40, 95–107. [Google Scholar] [CrossRef] [PubMed]
- Mijiritsky, E.; Ferroni, L.; Gardin, C.; Peleg, O.; Gultekin, A.; Saglanmak, A.; Delogu, L.G.; Mitrecic, D.; Piattelli, A.; Tatullo, M.; et al. Presence of ROS in Inflammatory Environment of Peri-Implantitis Tissue: In Vitro and In Vivo Human Evidence. J. Clin. Med. 2019, 9, 38. [Google Scholar] [CrossRef] [PubMed]
- Leng, S.; Liu, L.; Xu, W.; Yang, F.; Du, J.; Ye, L.; Huang, D.; Zhang, L. Inflammation down regulates stromal cell-derived factor 1α in the early phase of pulpitis. Cytokine 2022, 158, 155983. [Google Scholar] [CrossRef] [PubMed]
- Agriesti, F.; Landini, F.; Tamma, M.; Pacelli, C.; Mazzoccoli, C.; Calice, G.; Ruggieri, V.; Capitanio, G.; Mori, G.; Piccoli, C.; et al. Bioenergetic Profile and Redox Tone Modulate in Vitro Osteogenesis of Human Dental Pulp Stem Cells: New Perspectives for Bone Regeneration and Repair. Stem Cell Res. Ther. 2023, 14, 215. [Google Scholar] [CrossRef]
- Wang, Y.; Xie, Y.; Xue, N.; Xu, H.; Zhang, D.; Ji, N.; Chen, Q. TSG-6 Inhibits the NF-κB Signaling Pathway and Promotes the Odontogenic Differentiation of Dental Pulp Stem Cells via CD44 in an Inflammatory Environment. Biomolecules 2024, 14, 368. [Google Scholar] [CrossRef] [PubMed]
- Jang, Y.-E.; Kim, Y.; Kim, S.-Y.; Kim, B.S. Predicting Early Endodontic Treatment Failure Following Primary Root Canal Treatment. BMC Oral Health 2024, 24, 327. [Google Scholar] [CrossRef] [PubMed]
- Zanotti, F.; Trentini, M.; Zanolla, I.; Tiengo, E.; Mantarro, C.; Dalla Paola, L.; Tremoli, E.; Sambataro, M.; Sambado, L.; Picari, M.; et al. Playing with Biophysics: How a Symphony of Different Electromagnetic Fields Acts to Reduce the Inflammation in Diabetic Derived Cells. Int. J. Mol. Sci. 2023, 24, 1754. [Google Scholar] [CrossRef] [PubMed]
- Ross, C.L.; Harrison, B.S. Effect of time-varied magnetic field on inflammatory response in macrophage cell line RAW 264.7. Electromagn. Biol. Med. 2012, 32, 59–69. [Google Scholar] [CrossRef] [PubMed]
- Kwack, K.H.; Lee, H.W. Clinical Potential of Dental Pulp Stem Cells in Pulp Regeneration: Current Endodontic Progress and Future Perspectives. Front. Cell Dev. Biol. 2022, 10, 857066. [Google Scholar] [CrossRef]
- Neves, V.C.M.; Yianni, V.; Sharpe, P.T. Macrophage modulation of dental pulp stem cell activity during tertiary dentinogenesis. Sci. Rep. 2020, 10, 20216. [Google Scholar] [CrossRef]
- Gallorini, M.; Widbiller, M.; Bolay, C.; Carradori, S.; Buchalla, W.; Cataldi, A.; Schweikl, H. Relevance of Cellular Redox Homeostasis for Vital Functions of Human Dental Pulp Cells. Antioxidants 2021, 11, 23. [Google Scholar] [CrossRef]
- Farges, J.C.; Alliot-Licht, B.; Renard, E.; Ducret, M.; Gaudin, A.; Smith, A.J.; Cooper, P.R. Dental Pulp Defence and Repair Mechanisms in Dental Caries. Mediat. Inflamm. 2015, 2015, 230251. [Google Scholar] [CrossRef] [PubMed]
- Galler, K.; Weber, M.; Korkmaz, Y.; Widbiller, M.; Feuerer, M. Inflammatory Response Mechanisms of the Dentine—Pulp Complex and the Periapical Tissues. Int. J. Mol. Sci. 2021, 22, 1480. [Google Scholar] [CrossRef]
- Mukherjee, A.; Ghosh, K.K.; Chakrabortty, S.; Gulyás, B.; Padmanabhan, P.; Ball, W.B. Mitochondrial Reactive Oxygen Species in Infection and Immunity. Biomolecules 2024, 14, 670. [Google Scholar] [CrossRef]
- Svandova, E.; Vesela, B.; Kratochvilova, A.; Holomkova, K.; Oralova, V.; Dadakova, K.; Burger, T.; Sharpe, P.; Lesot, H.; Matalova, E. Markers of dental pulp stem cells in in vivo developmental context. Ann. Anat. 2023, 250, 152149. [Google Scholar] [CrossRef] [PubMed]
- Fawzy El-Sayed, K.M.; Elsalawy, R.; Ibrahim, N.; Gadalla, M.; Albargasy, H.; Zahra, N.; Mokhtar, S.; El Nahhas, N.; El Kaliouby, Y.; Dörfer, C.E. The Dental Pulp Stem/Progenitor Cells-Mediated Inflammatory-Regenerative Axis. Tissue Eng. Part B Rev. 2019, 25, 445–460. [Google Scholar] [CrossRef] [PubMed]
- Liu, B.; Li, J.; Chen, B.; Shuai, Y.; He, X.; Liu, K.; He, M.; Jin, L. Dental pulp stem cells induce anti-inflammatory phenotypic transformation of macrophages to enhance osteogenic potential via IL-6/GP130/STAT3 signaling. Ann. Transl. Med. 2023, 11, 90. [Google Scholar] [CrossRef]
- Plevriti, A.; Lamprou, M.; Mourkogianni, E.; Skoulas, N.; Giannakopoulou, M.; Sajib, M.S.; Wang, Z.; Mattheolabakis, G.; Chatzigeorgiou, A.; Marazioti, A.; et al. The Role of Soluble CD163 (sCD163) in Human Physiology and Pathophysiology. Cells 2024, 13, 1679. [Google Scholar] [CrossRef]
- Jaguin, M.; Houlbert, N.; Fardel, O.; Lecureur, V. Polarization profiles of human M-CSF-generated macrophages and comparison of M1-markers in classically activated macrophages from GM-CSF and M-CSF origin. Cell. Immunol. 2013, 1, 51–61. [Google Scholar] [CrossRef] [PubMed]
- Sharygin, D.; Koniaris, L.G.; Wells, C.; Zimmers, T.A.; Hamidi, T. Role of CD14 in human disease. Immunology 2023, 169, 260–270. [Google Scholar] [CrossRef] [PubMed]
- Gallorini, M.; Di Carlo, R.; Pilato, S.; Ricci, A.; Schweikl, H.; Cataldi, A.; Fontana, A.; Zara, S. Liposomes embedded with differentiating factors as a new strategy for enhancing DPSC osteogenic commitment. Eur. Cells Mater. 2021, 41, 108–120. [Google Scholar] [CrossRef] [PubMed]
- Bakopoulou, A.; Leyhausen, G.; Volk, J.; Koidis, P.; Geurtsen, W. Comparative characterization of STRO-1(neg)/CD146(pos) and STRO-1(pos)/CD146(pos) apical papilla stem cells enriched with flow cytometry. Arch. Oral Biol. 2013, 58, 1556–1568. [Google Scholar] [CrossRef]
- Murphy, P.S.; Wang, J.; Bhagwat, S.P.; Munger, J.C.; Janssen, W.J.; Wright, T.W.; Elliott, M.R. CD73 regulates anti-inflammatory signaling between apoptotic cells and endotoxin-conditioned tissue macrophages. Cell Death Differ. 2017, 24, 559–570. [Google Scholar] [CrossRef]
- Maccallini, C.; Arias, F.; Gallorini, M.; Amoia, P.; Ammazzalorso, A.; De Filippis, B.; Fantacuzzi, M.; Giampietro, L.; Cataldi, A.; Camacho, M.E.; et al. Antiglioma Activity of Aryl and Amido-Aryl Acetamidine Derivatives Targeting iNOS: Synthesis and Biological Evaluation. ACS Med. Chem. Lett. 2020, 11, 1470–1475. [Google Scholar] [CrossRef] [PubMed]
- Gallorini, M.; Krifka, S.; Widbiller, M.; Schröder, A.; Brochhausen, C.; Cataldi, A.; Hiller, K.A.; Buchalla, W.; Schweikl, H. Distinguished properties of cells isolated from the dentin-pulp interface. Ann. Anat. 2021, 234, 151628. [Google Scholar] [CrossRef] [PubMed]







Disclaimer/Publisher’s Note: The statements, opinions and data contained in all publications are solely those of the individual author(s) and contributor(s) and not of MDPI and/or the editor(s). MDPI and/or the editor(s) disclaim responsibility for any injury to people or property resulting from any ideas, methods, instructions or products referred to in the content. |
© 2024 by the authors. Licensee MDPI, Basel, Switzerland. This article is an open access article distributed under the terms and conditions of the Creative Commons Attribution (CC BY) license (https://creativecommons.org/licenses/by/4.0/).
Share and Cite
Gallorini, M.; Mencarelli, N.; Di Pietro, N.; di Giacomo, V.; Zara, S.; Ricci, A.; Rapino, M.; Piattelli, A.; Cipollina, A.; Cataldi, A. The Immunophenotype and the Odontogenic Commitment of Dental Pulp Stem Cells Co-Cultured with Macrophages Under Inflammatory Conditions Is Modulated by Complex Magnetic Fields. Int. J. Mol. Sci. 2025, 26, 48. https://doi.org/10.3390/ijms26010048
Gallorini M, Mencarelli N, Di Pietro N, di Giacomo V, Zara S, Ricci A, Rapino M, Piattelli A, Cipollina A, Cataldi A. The Immunophenotype and the Odontogenic Commitment of Dental Pulp Stem Cells Co-Cultured with Macrophages Under Inflammatory Conditions Is Modulated by Complex Magnetic Fields. International Journal of Molecular Sciences. 2025; 26(1):48. https://doi.org/10.3390/ijms26010048
Chicago/Turabian StyleGallorini, Marialucia, Noemi Mencarelli, Natalia Di Pietro, Viviana di Giacomo, Susi Zara, Alessia Ricci, Monica Rapino, Adriano Piattelli, Alessandro Cipollina, and Amelia Cataldi. 2025. "The Immunophenotype and the Odontogenic Commitment of Dental Pulp Stem Cells Co-Cultured with Macrophages Under Inflammatory Conditions Is Modulated by Complex Magnetic Fields" International Journal of Molecular Sciences 26, no. 1: 48. https://doi.org/10.3390/ijms26010048
APA StyleGallorini, M., Mencarelli, N., Di Pietro, N., di Giacomo, V., Zara, S., Ricci, A., Rapino, M., Piattelli, A., Cipollina, A., & Cataldi, A. (2025). The Immunophenotype and the Odontogenic Commitment of Dental Pulp Stem Cells Co-Cultured with Macrophages Under Inflammatory Conditions Is Modulated by Complex Magnetic Fields. International Journal of Molecular Sciences, 26(1), 48. https://doi.org/10.3390/ijms26010048

