Potential Regulation of ARID1A by miR-129-5p and miR-3613-3p and Their Prognostic Value in Gastric Cancer
Abstract
1. Introduction
2. Results
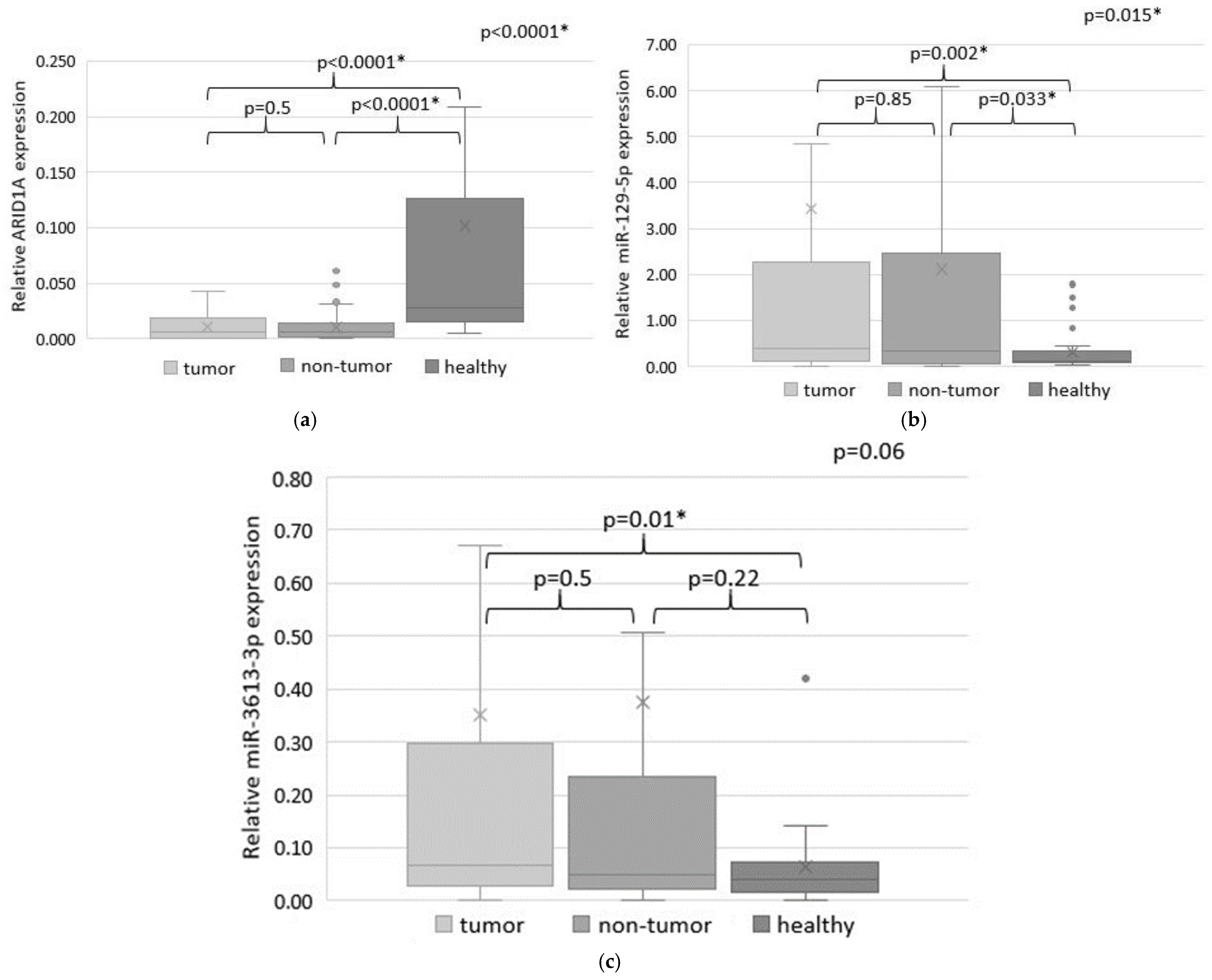
2.1. ARID1A and miR-129-5p Are Differentially Expressed in Tissues from GC Patients and Sectional Normal Gastric Tissues
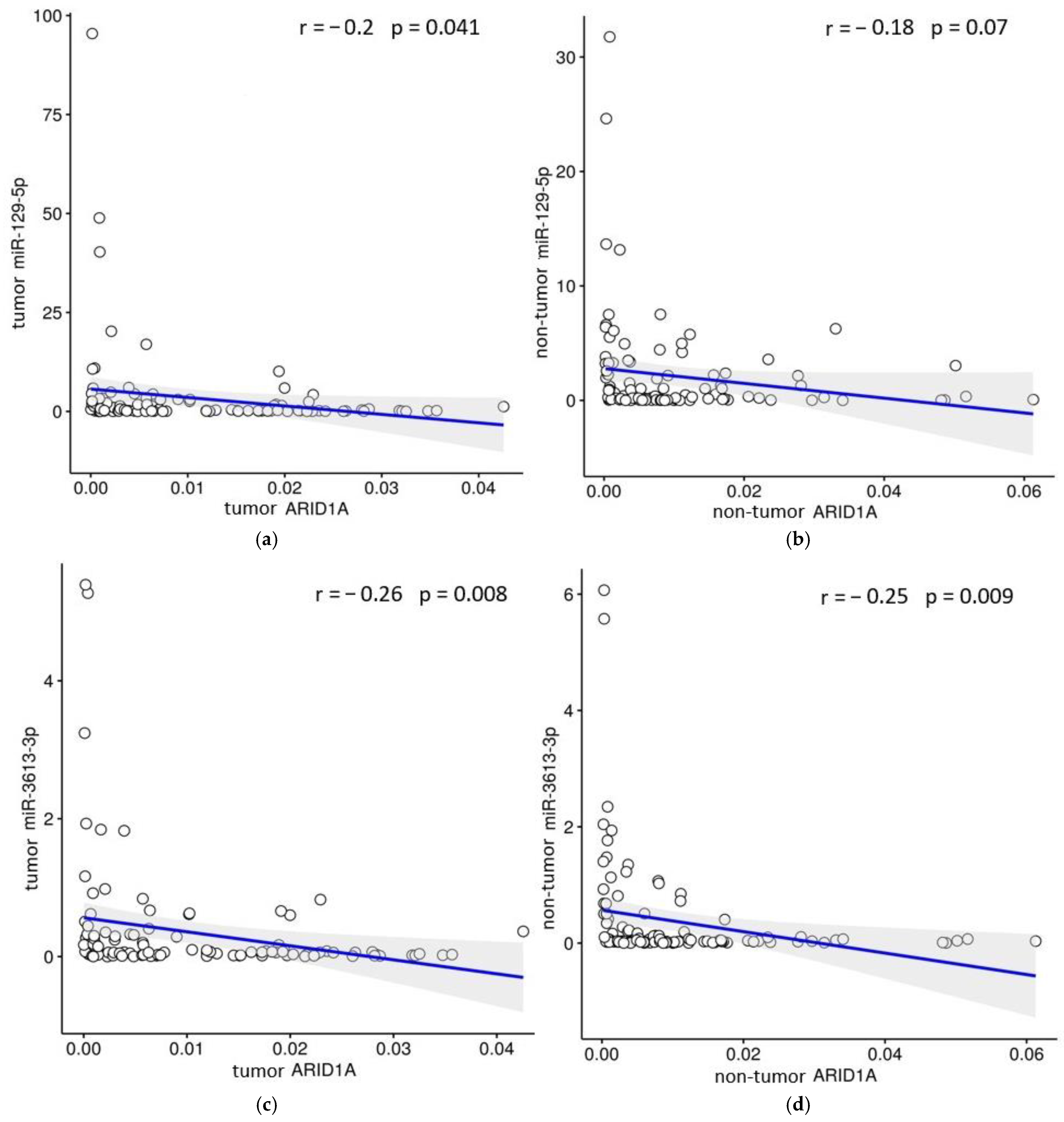
2.2. Predicted Target Pairs miR-129-5p/ARID1A and miR-3613-3p/ARID1A Demonstrate Negative Correlation in Tumor and Adjacent Non-Tumor Tissues of GC Patients
2.3. Overexpression of miR-129-5p or miR-3613-3p Significantly Reduce ARID1A mRNA Abundance in Cancer Cells
2.4. Expression Levels of ARID1A, miR-129-5p and miR-3613-3p Are Associated with Clinical and Pathological Characteristics of GC Patients
2.5. Associations of ARID1A, miR-129-5p and miR-3613-3p Expression Levels with Overall Survival of GC Patients Were Estimated
2.6. MiR-129-5p Abundance Is Significantly Different in Plasma of GC Patients and Healthy Donors and Correlates with Clinical and Pathological Characteristics of GC Patients
2.7. Diagnostic Value of miR-129-5p and miR-3613-3p Was Estimated by the ROC-Curves
3. Discussion
4. Materials and Methods
4.1. Patients
4.2. Tissue and Plasma Samples
4.3. Cell Lines
4.4. RNA Extraction and Reverse Transcription-Polymerase Chain Reaction (RT-PCR)
4.5. MSI Analysis
4.6. Screening for CDH1 and TP53 Mutations by NGS
4.7. Generation of miRNAs Expression Constructs
4.8. Transfection with miR-129-5p and miR-3613-3p Expression Plasmid
4.9. Statistical Analysis
5. Conclusions
Author Contributions
Funding
Institutional Review Board Statement
Informed Consent Statement
Data Availability Statement
Conflicts of Interest
References
- Shimizu, D.; Kanda, M.; Kodera, Y. Review of Recent Molecular Landscape Knowledge of Gastric Cancer. Histol. Histopathol. 2018, 33, 11–26. [Google Scholar] [CrossRef]
- Szelenberger, R.; Kacprzak, M.; Saluk-Bijak, J.; Zielinska, M.; Bijak, M. Plasma MicroRNA as a Novel Diagnostic. Clin. Chim. Acta 2019, 499, 98–107. [Google Scholar] [CrossRef]
- Aalami, A.H.; Aalami, F.; Sahebkar, A. Gastric Cancer and Circulating MicroRNAs: An Updated Systematic Review and Diagnostic Meta-Analysis. Curr. Med. Chem. 2023, 30, 3798–3814. [Google Scholar] [CrossRef] [PubMed]
- Matsuzaki, J.; Ochiya, T. Circulating MicroRNAs and Extracellular Vesicles as Potential Cancer Biomarkers: A Systematic Review. Int. J. Clin. Oncol. 2017, 22, 413–420. [Google Scholar] [CrossRef]
- O’Brien, J.; Hayder, H.; Zayed, Y.; Peng, C. Overview of MicroRNA Biogenesis, Mechanisms of Actions, and Circulation. Front. Endocrinol. 2018, 9, 402. [Google Scholar] [CrossRef] [PubMed]
- Piletič, K.; Kunej, T. MicroRNA Epigenetic Signatures in Human Disease. Arch. Toxicol. 2016, 90, 2405–2419. [Google Scholar] [CrossRef]
- Bure, I.V.; Mikhaylenko, D.S.; Kuznetsova, E.B.; Alekseeva, E.A.; Bondareva, K.I.; Kalinkin, A.I.; Lukashev, A.N.; Tarasov, V.V.; Zamyatnin, A.A.; Nemtsova, M.V. Analysis of MiRNA Expression in Patients with Rheumatoid Arthritis during Olokizumab Treatment. J. Pers. Med. 2020, 10, E205. [Google Scholar] [CrossRef] [PubMed]
- Khoodoruth, M.A.S.; Khoodoruth, W.N.C.-K.; Uroos, M.; Al-Abdulla, M.; Khan, Y.S.; Mohammad, F. Diagnostic and Mechanistic Roles of MicroRNAs in Neurodevelopmental & Neurodegenerative Disorders. Neurobiol. Dis. 2024, 202, 106717. [Google Scholar] [CrossRef]
- Goel, H.; Goel, A. MicroRNA and Rare Human Diseases. Genes 2024, 15, 1243. [Google Scholar] [CrossRef]
- Chakrabortty, A.; Patton, D.J.; Smith, B.F.; Agarwal, P. MiRNAs: Potential as Biomarkers and Therapeutic Targets for Cancer. Genes 2023, 14, 1375. [Google Scholar] [CrossRef] [PubMed]
- Meng, R.; Fang, J.; Yu, Y.; Hou, L.K.; Chi, J.R.; Chen, A.X.; Zhao, Y.; Cao, X.C. MiR-129-5p Suppresses Breast Cancer Proliferation by Targeting CBX4. Neoplasma 2018, 65, 572–578. [Google Scholar] [CrossRef]
- Wu, Q.; Meng, W.-Y.; Jie, Y.; Zhao, H. LncRNA MALAT1 Induces Colon Cancer Development by Regulating MiR-129-5p/HMGB1 Axis. J. Cell. Physiol. 2018, 233, 6750–6757. [Google Scholar] [CrossRef]
- Liu, K.; Huang, J.; Ni, J.; Song, D.; Ding, M.; Wang, J.; Huang, X.; Li, W. MALAT1 Promotes Osteosarcoma Development by Regulation of HMGB1 via MiR-142-3p and MiR-129-5p. Cell Cycle 2017, 16, 578–587. [Google Scholar] [CrossRef] [PubMed]
- Zhang, Y.; An, J.; Lv, W.; Lou, T.; Liu, Y.; Kang, W. MiRNA-129-5p Suppresses Cell Proliferation and Invasion in Lung Cancer by Targeting Microspherule Protein 1, E-Cadherin and Vimentin. Oncol. Lett. 2016, 12, 5163–5169. [Google Scholar] [CrossRef]
- Yu, X.; Song, H.; Xia, T.; Han, S.; Xiao, B.; Luo, L.; Xi, Y.; Guo, J. Growth Inhibitory Effects of Three MiR-129 Family Members on Gastric Cancer. Gene 2013, 532, 87–93. [Google Scholar] [CrossRef] [PubMed]
- Wang, Q.; Yu, J. MiR-129-5p Suppresses Gastric Cancer Cell Invasion and Proliferation by Inhibiting COL1A1. Biochem. Cell Biol. 2018, 96, 19–25. [Google Scholar] [CrossRef] [PubMed]
- Xiang, F.; Xu, X. CirRNA F-CircEA-2a Suppresses the Role of MiR-3613-3p in Colorectal Cancer by Direct Sponging and Predicts Poor Survival. Cancer Manag. Res. 2022, 14, 1825–1833. [Google Scholar] [CrossRef]
- Bibi, F.; Naseer, M.I.; Alvi, S.A.; Yasir, M.; Jiman-Fatani, A.A.; Sawan, A.; Abuzenadah, A.M.; Al-Qahtani, M.H.; Azhar, E.I. MicroRNA Analysis of Gastric Cancer Patients from Saudi Arabian Population. BMC Genom. 2016, 17, 751. [Google Scholar] [CrossRef]
- Chen, C.; Pan, Y.; Bai, L.; Chen, H.; Duan, Z.; Si, Q.; Zhu, R.; Chuang, T.-H.; Luo, Y. MicroRNA-3613-3p Functions as a Tumor Suppressor and Represents a Novel Therapeutic Target in Breast Cancer. Breast Cancer Res. 2021, 23, 12. [Google Scholar] [CrossRef] [PubMed]
- Zhang, D.; Liu, E.; Kang, J.; Yang, X.; Liu, H. MiR-3613-3p Affects Cell Proliferation and Cell Cycle in Hepatocellular Carcinoma. Oncotarget 2017, 8, 93014–93028. [Google Scholar] [CrossRef]
- Castro-Magdonel, B.E.; Orjuela, M.; Alvarez-Suarez, D.E.; Camacho, J.; Cabrera-Muñoz, L.; Sadowinski-Pine, S.; Medina-Sanson, A.; Lara-Molina, C.; García-Vega, D.; Vázquez, Y.; et al. Circulating MiRNome Detection Analysis Reveals 537 MiRNAS in Plasma, 625 in Extracellular Vesicles and a Discriminant Plasma Signature of 19 MiRNAs in Children with Retinoblastoma from Which 14 Are Also Detected in Corresponding Primary Tumors. PLoS ONE 2020, 15, e0231394. [Google Scholar] [CrossRef]
- Nowak, I.; Boratyn, E.; Durbas, M.; Horwacik, I.; Rokita, H. Exogenous Expression of MiRNA-3613-3p Causes APAF1 Downregulation and Affects Several Proteins Involved in Apoptosis in BE(2)-C Human Neuroblastoma Cells. Int. J. Oncol. 2018, 53, 1787–1799. [Google Scholar] [CrossRef]
- Slattery, M.L.; Herrick, J.S.; Mullany, L.E.; Wolff, E.; Hoffman, M.D.; Pellatt, D.F.; Stevens, J.R.; Wolff, R.K. Colorectal Tumor Molecular Phenotype and MiRNA: Expression Profiles and Prognosis. Mod. Pathol. 2016, 29, 915–927. [Google Scholar] [CrossRef] [PubMed]
- Ahsen, M.E.; Boren, T.P.; Singh, N.K.; Misganaw, B.; Mutch, D.G.; Moore, K.N.; Backes, F.J.; McCourt, C.K.; Lea, J.S.; Miller, D.S.; et al. Sparse Feature Selection for Classification and Prediction of Metastasis in Endometrial Cancer. BMC Genom. 2017, 18, 233. [Google Scholar] [CrossRef] [PubMed]
- Agarwal, V.; Bell, G.W.; Nam, J.-W.; Bartel, D.P. Predicting Effective MicroRNA Target Sites in Mammalian MRNAs. eLife 2015, 4, e05005. [Google Scholar] [CrossRef]
- Tokar, T.; Pastrello, C.; Rossos, A.E.M.; Abovsky, M.; Hauschild, A.-C.; Tsay, M.; Lu, R.; Jurisica, I. MirDIP 4.1-Integrative Database of Human MicroRNA Target Predictions. Nucleic Acids Res. 2018, 46, D360–D370. [Google Scholar] [CrossRef]
- Huang, J.; Zhao, Y.-L.; Li, Y.; Fletcher, J.A.; Xiao, S. Genomic and Functional Evidence for an ARID1A Tumor Suppressor Role. Genes Chromosomes Cancer 2007, 46, 745–750. [Google Scholar] [CrossRef]
- Wilson, B.G.; Roberts, C.W.M. SWI/SNF Nucleosome Remodellers and Cancer. Nat. Rev. Cancer 2011, 11, 481–492. [Google Scholar] [CrossRef]
- Barisic, D.; Chin, C.R.; Meydan, C.; Teater, M.; Tsialta, I.; Mlynarczyk, C.; Chadburn, A.; Wang, X.; Sarkozy, M.; Xia, M.; et al. ARID1A Orchestrates SWI/SNF-Mediated Sequential Binding of Transcription Factors with ARID1A Loss Driving Pre-Memory B Cell Fate and Lymphomagenesis. Cancer Cell 2024, 42, 583–604.e11. [Google Scholar] [CrossRef] [PubMed]
- Wu, J.N.; Roberts, C.W.M. ARID1A Mutations in Cancer: Another Epigenetic Tumor Suppressor? Cancer Discov. 2013, 3, 35–43. [Google Scholar] [CrossRef]
- Yamamoto, H.; Watanabe, Y.; Maehata, T.; Morita, R.; Yoshida, Y.; Oikawa, R.; Ishigooka, S.; Ozawa, S.-I.; Matsuo, Y.; Hosoya, K.; et al. An Updated Review of Gastric Cancer in the Next-Generation Sequencing Era: Insights from Bench to Bedside and Vice Versa. World J. Gastroenterol. 2014, 20, 3927–3937. [Google Scholar] [CrossRef] [PubMed]
- Zhang, B.; Pan, X.; Cobb, G.P.; Anderson, T.A. MicroRNAs as Oncogenes and Tumor Suppressors. Dev. Biol. 2007, 302, 1–12. [Google Scholar] [CrossRef]
- Blandino, G.; Fazi, F.; Donzelli, S.; Kedmi, M.; Sas-Chen, A.; Muti, P.; Strano, S.; Yarden, Y. Tumor Suppressor MicroRNAs: A Novel Non-Coding Alliance against Cancer. FEBS Lett. 2014, 588, 2639–2652. [Google Scholar] [CrossRef] [PubMed]
- Farazi, T.A.; Spitzer, J.I.; Morozov, P.; Tuschl, T. MiRNAs in Human Cancer. J. Pathol. 2011, 223, 102–115. [Google Scholar] [CrossRef]
- Wang, S.; Chen, Y.; Yu, X.; Lu, Y.; Wang, H.; Wu, F.; Teng, L. MiR-129-5p Attenuates Cell Proliferation and Epithelial Mesenchymal Transition via HMGB1 in Gastric Cancer. Pathol. Res. Pract. 2019, 215, 676–682. [Google Scholar] [CrossRef] [PubMed]
- Yan, L.; Sun, K.; Liu, Y.; Liang, J.; Cai, K.; Gui, J. MiR-129-5p Influences the Progression of Gastric Cancer Cells through Interacting with SPOCK1. Tumour. Biol. 2017, 39, 1010428317706916. [Google Scholar] [CrossRef]
- He, J.; Ge, Q.; Lin, Z.; Shen, W.; Lin, R.; Wu, J.; Wang, B.; Lu, Y.; Chen, L.; Liu, X.; et al. MiR-129-5p Induces Cell Cycle Arrest through Modulating HOXC10/Cyclin D1 to Inhibit Gastric Cancer Progression. FASEB J. 2020, 34, 8544–8557. [Google Scholar] [CrossRef]
- Jiang, Z.; Wang, H.; Li, Y.; Hou, Z.; Ma, N.; Chen, W.; Zong, Z.; Chen, S. MiR-129-5p Is down-Regulated and Involved in Migration and Invasion of Gastric Cancer Cells by Targeting Interleukin-8. Neoplasma 2016, 63, 673–680. [Google Scholar] [CrossRef] [PubMed]
- Liu, Z.; Sun, J.; Wang, X.; Cao, Z. MicroRNA-129-5p Promotes Proliferation and Metastasis of Hepatocellular Carcinoma by Regulating the BMP2 Gene. Exp. Ther. Med. 2021, 21, 257. [Google Scholar] [CrossRef] [PubMed]
- Liu, Y.; Yang, Y.; Du, J.; Lin, D.; Li, F. MiR-3613-3p from Carcinoma-Associated Fibroblasts Exosomes Promoted Breast Cancer Cell Proliferation and Metastasis by Regulating SOCS2 Expression. IUBMB Life 2020, 72, 1705–1714. [Google Scholar] [CrossRef]
- Pu, Q.; Huang, Y.; Lu, Y.; Peng, Y.; Zhang, J.; Feng, G.; Wang, C.; Liu, L.; Dai, Y. Tissue-Specific and Plasma MicroRNA Profiles Could Be Promising Biomarkers of Histological Classification and TNM Stage in Non-Small Cell Lung Cancer. Thorac. Cancer 2016, 7, 348–354. [Google Scholar] [CrossRef]
- Schallenberg, S.; Bork, J.; Essakly, A.; Alakus, H.; Buettner, R.; Hillmer, A.M.; Bruns, C.; Schroeder, W.; Zander, T.; Loeser, H.; et al. Loss of the SWI/SNF-ATPase Subunit Members SMARCF1 (ARID1A), SMARCA2 (BRM), SMARCA4 (BRG1) and SMARCB1 (INI1) in Oesophageal Adenocarcinoma. BMC Cancer 2020, 20, 12. [Google Scholar] [CrossRef]
- Qadir, J.; Majid, S.; Khan, M.S.; Rashid, F.; Wani, M.D.; Din, I.; Bashir, H. AT-Rich Interaction Domain 1A Gene Variations: Genetic Associations and Susceptibility to Gastric Cancer Risk. Pathol. Oncol. Res. 2020, 26, 2237–2246. [Google Scholar] [CrossRef] [PubMed]
- Xu, S.; Tang, C. The Role of ARID1A in Tumors: Tumor Initiation or Tumor Suppression? Front. Oncol. 2021, 11, 745187. [Google Scholar] [CrossRef]
- Tober, J.M.; Halske, C.; Behrens, H.-M.; Krüger, S.; Röcken, C. Intratumoral Heterogeneity and Loss of ARID1A Expression in Gastric Cancer Correlates with Increased PD-L1 Expression in Western Patients. Hum. Pathol. 2019, 94, 98–109. [Google Scholar] [CrossRef] [PubMed]
- Fontana, B.; Gallerani, G.; Salamon, I.; Pace, I.; Roncarati, R.; Ferracin, M. ARID1A in Cancer: Friend or Foe? Front. Oncol. 2023, 13, 1136248. [Google Scholar] [CrossRef]
- Ibarrola-Villava, M.; Llorca-Cardeñosa, M.J.; Tarazona, N.; Mongort, C.; Fleitas, T.; Perez-Fidalgo, J.A.; Roselló, S.; Navarro, S.; Ribas, G.; Cervantes, A. Deregulation of ARID1A, CDH1, CMET and PIK3CA and Target-Related MicroRNA Expression in Gastric Cancer. Oncotarget 2015, 6, 26935–26945. [Google Scholar] [CrossRef] [PubMed]
- Wang, D.; Chen, Y.; Pan, K.; Wang, W.; Chen, S.; Chen, J.; Zhao, J.; Lv, L.; Pan, Q.; Li, Y.; et al. Decreased Expression of the ARID1A Gene Is Associated with Poor Prognosis in Primary Gastric Cancer. PLoS ONE 2012, 7, e40364. [Google Scholar] [CrossRef] [PubMed]
- Inada, R.; Sekine, S.; Taniguchi, H.; Tsuda, H.; Katai, H.; Fujiwara, T.; Kushima, R. ARID1A Expression in Gastric Adenocarcinoma: Clinicopathological Significance and Correlation with DNA Mismatch Repair Status. World J. Gastroenterol. 2015, 21, 2159–2168. [Google Scholar] [CrossRef]
- Han, N.; Kim, M.A.; Lee, H.S.; Kim, W.H. Loss of ARID1A Expression Is Related to Gastric Cancer Progression, Epstein-Barr Virus Infection, and Mismatch Repair Deficiency. Appl. Immunohistochem. Mol. Morphol. 2016, 24, 320–325. [Google Scholar] [CrossRef]
- Sun, X.; Wang, S.C.; Wei, Y.; Luo, X.; Jia, Y.; Li, L.; Gopal, P.; Zhu, M.; Nassour, I.; Chuang, J.-C.; et al. Arid1a Has Context-Dependent Oncogenic and Tumor Suppressor Functions in Liver Cancer. Cancer Cell 2017, 32, 574–589.e6. [Google Scholar] [CrossRef]
- Qadir, J.; Majid, S.; Khan, M.S.; Rashid, F.; Wani, M.D.; Bhat, S.A. Implication of ARID1A Undercurrents and PDL1, TP53 Overexpression in Advanced Gastric Cancer. Pathol. Oncol. Res. 2021, 27, 1609826. [Google Scholar] [CrossRef] [PubMed]
- Kim, M.J.; Gu, M.J.; Chang, H.-K.; Yu, E. Loss of ARID1A Expression Is Associated with Poor Prognosis in Small Intestinal Carcinoma. Histopathology 2015, 66, 508–516. [Google Scholar] [CrossRef]
- Kim, Y.-S.; Jeong, H.; Choi, J.-W.; Oh, H.E.; Lee, J.-H. Unique Characteristics of ARID1A Mutation and Protein Level in Gastric and Colorectal Cancer: A Meta-Analysis. Saudi J. Gastroenterol. 2017, 23, 268–274. [Google Scholar] [CrossRef]
- Wang, X.; Che, K.; Shi, T.; Liu, Q.; Xu, X.; Wu, H.; Yu, L.; Liu, B.; Wei, J. Loss of ARID1A Expression Is Associated with Systemic Inflammation Markers and Has Important Prognostic Significance in Gastric Cancer. J. Cancer Res. Clin. Oncol. 2022, 148, 1583–1595. [Google Scholar] [CrossRef] [PubMed]
- Sakuratani, T.; Takeuchi, T.; Yasufuku, I.; Iwata, Y.; Saigo, C.; Kito, Y.; Yoshida, K. Downregulation of ARID1A in Gastric Cancer Cells: A Putative Protective Molecular Mechanism against the Harakiri-Mediated Apoptosis Pathway. Virchows Arch. 2021, 478, 401–411. [Google Scholar] [CrossRef] [PubMed]
- Saito, M.; Kohno, T.; Kono, K. Heterogeneity of ARID1A Expression in Gastric Cancer May Affect Patient Survival and Therapeutic Efficacy. Hum. Pathol. 2020, 101, 80–81. [Google Scholar] [CrossRef]
- Sasaki, T.; Kohashi, K.; Kawatoko, S.; Ihara, E.; Oki, E.; Nakamura, M.; Ogawa, Y.; Oda, Y. Tumor Progression by Epithelial-Mesenchymal Transition in ARID1A- and SMARCA4-Aberrant Solid-Type Poorly Differentiated Gastric Adenocarcinoma. Virchows Arch. 2022, 480, 1063–1075. [Google Scholar] [CrossRef]
- Ashizawa, M.; Saito, M.; Min, A.K.T.; Ujiie, D.; Saito, K.; Sato, T.; Kikuchi, T.; Okayama, H.; Fujita, S.; Endo, H.; et al. Prognostic Role of ARID1A Negative Expression in Gastric Cancer. Sci. Rep. 2019, 9, 6769. [Google Scholar] [CrossRef]
- Yan, H.-B.; Wang, X.-F.; Zhang, Q.; Tang, Z.-Q.; Jiang, Y.-H.; Fan, H.-Z.; Sun, Y.; Yang, P.-Y.; Liu, F. Reduced Expression of the Chromatin Remodeling Gene ARID1A Enhances Gastric Cancer Cell Migration and Invasion via Downregulation of E-Cadherin Transcription. Carcinogenesis 2014, 35, 867–876. [Google Scholar] [CrossRef] [PubMed][Green Version]
- Wang, K.; Kan, J.; Yuen, S.T.; Shi, S.T.; Chu, K.M.; Law, S.; Chan, T.L.; Kan, Z.; Chan, A.S.Y.; Tsui, W.Y.; et al. Exome Sequencing Identifies Frequent Mutation of ARID1A in Molecular Subtypes of Gastric Cancer. Nat. Genet. 2011, 43, 1219–1223. [Google Scholar] [CrossRef] [PubMed]
- Allo, G.; Bernardini, M.Q.; Wu, R.-C.; Shih, I.-M.; Kalloger, S.; Pollett, A.; Gilks, C.B.; Clarke, B.A. ARID1A Loss Correlates with Mismatch Repair Deficiency and Intact P53 Expression in High-Grade Endometrial Carcinomas. Mod. Pathol. 2014, 27, 255–261. [Google Scholar] [CrossRef]
- Yang, Y.; Yin, Z.X.; Wang, Z.Y.; Tian, S.B.; Wang, H.C.; Zhang, F.X.; Li, L.P.; Zheng, C.; Kong, S. MiR-7641 Depletion Suppresses Proliferation of Gastric Cancer Cells by Targeting ARID1A. Anticancer. Drugs 2020, 31, 368–376. [Google Scholar] [CrossRef] [PubMed]
- Zhu, Y.; Li, K.; Yan, L.; He, Y.; Wang, L.; Sheng, L. MiR-223-3p Promotes Cell Proliferation and Invasion by Targeting Arid1a in Gastric Cancer. Acta Biochim. Biophys. Sin. 2020, 52, 150–159. [Google Scholar] [CrossRef]
- Yang, Y.; Zhao, X.; Li, H.-X. MiR-221 and MiR-222 Simultaneously Target ARID1A and Enhance Proliferation and Invasion of Cervical Cancer Cells. Eur. Rev. Med. Pharmacol. Sci. 2016, 20, 1509–1515. [Google Scholar]
- Xiao, W.; Lou, N.; Ruan, H.; Bao, L.; Xiong, Z.; Yuan, C.; Tong, J.; Xu, G.; Zhou, Y.; Qu, Y.; et al. Mir-144-3p Promotes Cell Proliferation, Metastasis, Sunitinib Resistance in Clear Cell Renal Cell Carcinoma by Downregulating ARID1A. Cell Physiol. Biochem. 2017, 43, 2420–2433. [Google Scholar] [CrossRef] [PubMed]
- Wang, N.; Zhou, Y.; Zheng, L.; Li, H. MiR-31 Is an Independent Prognostic Factor and Functions as an Oncomir in Cervical Cancer via Targeting ARID1A. Gynecol. Oncol. 2014, 134, 129–137. [Google Scholar] [CrossRef]
- Polyakova, E.A.; Zaraiskii, M.I.; Mikhaylov, E.N.; Baranova, E.I.; Galagudza, M.M.; Shlyakhto, E.V. Association of Myocardial and Serum MiRNA Expression Patterns with the Presence and Extent of Coronary Artery Disease: A Cross-Sectional Study. Int. J. Cardiol. 2021, 322, 9–15. [Google Scholar] [CrossRef]
- Shubin, V.; Shelygin, Y.; Achkasov, S.; Sushkov, O.; Nazarov, I.; Ponomarenko, A.; Alimova, I.; Loginova, A.; Tsukanov, A. Microsatellite Instability in Russian Patients with Colorectal Cancer. Int. J. Mol. Sci. 2022, 23, 7062. [Google Scholar] [CrossRef]
- Nemtsova, M.V.; Kalinkin, A.I.; Kuznetsova, E.B.; Bure, I.V.; Alekseeva, E.A.; Bykov, I.I.; Khorobrykh, T.V.; Mikhaylenko, D.S.; Tanas, A.S.; Kutsev, S.I.; et al. Clinical Relevance of Somatic Mutations in Main Driver Genes Detected in Gastric Cancer Patients by Next-Generation DNA Sequencing. Sci. Rep. 2020, 10, 504. [Google Scholar] [CrossRef] [PubMed]
- Scarpa, A.; Sikora, K.; Fassan, M.; Rachiglio, A.M.; Cappellesso, R.; Antonello, D.; Amato, E.; Mafficini, A.; Lambiase, M.; Esposito, C.; et al. Molecular Typing of Lung Adenocarcinoma on Cytological Samples Using a Multigene Next Generation Sequencing Panel. PLoS ONE 2013, 8, e80478. [Google Scholar] [CrossRef]
- Green, M.R.; Sambrook, J. A Guide to Cloning the Products of Polymerase Chain Reactions. Cold Spring Harb. Protoc. 2021, 9. [Google Scholar] [CrossRef]
- Rudzinska-Radecka, M.; Frolova, A.S.; Balakireva, A.V.; Gorokhovets, N.V.; Pokrovsky, V.S.; Sokolova, D.V.; Korolev, D.O.; Potoldykova, N.V.; Vinarov, A.Z.; Parodi, A.; et al. In Silico, In Vitro, and Clinical Investigations of Cathepsin B and Stefin A MRNA Expression and a Correlation Analysis in Kidney Cancer. Cells 2022, 11, 1455. [Google Scholar] [CrossRef]







| Variables | Patients (N = 110) | ARID1A Expression | miR-129-5p Expression | miR-3613-3p Expression | ||||||
|---|---|---|---|---|---|---|---|---|---|---|
| M | Q1/Q3 | p | M | Q1/Q3 | p | M | Q1/Q3 | p | ||
| Gender | 0.4 | 0.6 | 0.2 | |||||||
| Female | 49 | 0.006 | 0.002/0.018 | 0.3 | 0.1/3.0 | 0.10 | 0.05/0.30 | |||
| Male | 61 | 0.005 | 0.001/0.019 | 0.4 | 0.1/1.8 | 0.06 | 0.03/0.28 | |||
| Age (years) | 0.2 | 0.076 | 0.05 | |||||||
| <49 | 13 | 0.005 | 0.001/0.007 | 2.1 | 0.4/4.7 | 0.38 | 0.07/1.09 | |||
| >=50 | 97 | 0.006 | 0.001/0.019 | 0.4 | 0.1/1.8 | 0.06 | 0.03/0.24 | |||
| T | 0.037 * | 0.18 | 0.17 | |||||||
| T1 + 2 | 53 | 0.007 | 0.003/0.019 | 0.25 | 0.1/1.4 | |||||
| T3 + 4 | 57 | 0.003 | 0.001/0.016 | 0.64 | 0.1/3.0 | |||||
| N | 0.6 | 0.64 | 0.5 | |||||||
| N0 | 60 | 0.006 | 0.000/0.019 | 0.42 | 0.1/1.8 | 0.06 | 0.03/0.26 | |||
| N0 + 1 + 3 | 50 | 0.005 | 0.001/0.018 | 0.51 | 0.1/3.0 | 0.13 | 0.03/0.35 | |||
| M | 0.13 | 0.8 | 0.7 | |||||||
| M0 | 101 | 0.006 | 0.001/0.019 | 0.4 | 0.1/2.3 | 0.07 | 0.03/0.28 | |||
| M1 | 9 | 0.003 | 0.001/0.005 | 0.6 | 0.2/1.7 | 0.18 | 0.01/0.31 | |||
| Stage | 0.06 | 0.65 | 0.4 | |||||||
| I + II | 62 | 0.007 | 0.002/0.019 | 0.39 | 0.1/1.8 | 0.06 | 0.03/0.20 | |||
| III + IV | 48 | 0.004 | 0.001/0.015 | 0.54 | 0.1/3.0 | 0.11 | 0.02/0.40 | |||
| Survival status | 0.038 * | 0.017 * | 0.027 * | |||||||
| Alive | 73 | 0.007 | 0.002/0.019 | 0.2 | 0.1/1.8 | 0.06 | 0.03/0.17 | |||
| Dead | 37 | 0.003 | 0.001/0.013 | 1.2 | 0.3/3.3 | 0.23 | 0.04/0.49 | |||
| Lauren classification | 0.001 * | 0.2 | 0.011 * | |||||||
| Diffuse | 81 | 0.007 | 0.002/0.020 | 0.2 | 0.1/1.9 | 0.06 | 0.02/0.18 | |||
| Intestinal | 29 | 0.001 | 0.000/0.007 | 0.9 | 0.3/2.7 | 0.20 | 0.06/0.62 | |||
| Signet ring cells | 0.044 * | 0.7 | 0.3 | |||||||
| No | 71 | 0.006 | 0.001/0.014 | 0.4 | 0.1/2.6 | 0.07 | 0.03/0.31 | |||
| Yes | 39 | 0.015 | 0.002/0.025 | 0.4 | 0.1/1.4 | 0.06 | 0.02/0.20 | |||
| Tumor localization | 0.3 | 0.2 | 0.5 | |||||||
| Antral region | 20 | 0.006 | 0.003/0.013 | 1.0 | 0.3/1.4 | 0.08 | 0.05/0.24 | |||
| Body | 73 | 0.006 | 0.001/0.018 | 0.6 | 0.1/3.0 | 0.07 | 0.03/0.31 | |||
| Cardia | 17 | 0.006 | 0.003/0.020 | 0.2 | 0.1/0.2 | 0.06 | 0.02/0.09 | |||
| MSI (N = 57) | 0.12 | 0.4 | 0.3 | |||||||
| MSS | 51 | 0.003 | 0.001/0.006 | 1.0 | 0.3/3.3 | 0.17 | 0.05/0.40 | |||
| H&L | 6 | 0.010 | 0.009/0.017 | 2.2 | 1.6/2.9 | 0.40 | 0.20/0.59 | |||
| TP53 (N = 50) | 0.2 | 0.8 | 0.8 | |||||||
| No | 38 | 0.003 | 0.001/0.011 | 1.1 | 0.2/2.7 | 0.17 | 0.05/0.39 | |||
| Yes | 12 | 0.007 | 0.004/0.011 | 0.6 | 0.3/1.6 | 0.11 | 0.05/0.32 | |||
| CDH1 (N = 50) | 0.04 * | 0.7 | 0.4 | |||||||
| No | 45 | 0.003 | 0.001/0.010 | 0.6 | 0.2/2.8 | 0.17 | 0.05/0.42 | |||
| Yes | 5 | 0.013 | 0.007/0.019 | 0.5 | 0.3/1.5 | 0.08 | 0.04/0.17 | |||
| Variables | Patients (N = 110) | ARID1A Expression | miR-129-5p Expression | miR-3613-3p Expression | ||||||
|---|---|---|---|---|---|---|---|---|---|---|
| M | Q1/Q3 | p | M | Q1/Q3 | p | M | Q1/Q3 | p | ||
| Gender | 0.7 | 0.6 | 0.5 | |||||||
| Female | 49 | 0.005 | 0.003/0.014 | 0.34 | 0.05/2.24 | 0.07 | 0.03/0.30 | |||
| Male | 61 | 0.007 | 0.001/0.012 | 0.4 | 0.11/3.09 | 0.05 | 0.02/0.25 | |||
| Age (years) | 0.075 | 0.2 | 0.011 * | |||||||
| <49 | 13 | 0.004 | 0.001/0.005 | 0.91 | 0.23/3.65 | 0.2 | 0.06/1.29 | |||
| >=50 | 97 | 0.007 | 0.002/0.015 | 0.34 | 0.07/2.24 | 0.05 | 0.02/0.19 | |||
| T | 0.88 | 0.05 | 0.021 * | |||||||
| T1 + 2 | 53 | 0.006 | 0.001/0.012 | 0.27 | 0.05/1.0 | 0.04 | 0.02/0.10 | |||
| T3 + 4 | 57 | 0.007 | 0.001/0.016 | 0.91 | 0.1/3.8 | 0.07 | 0.02/0.77 | |||
| N | 0.23 | 0.1 | 0.4 | |||||||
| N0 | 60 | 0.005 | 0.001/0.010 | 0.45 | 0.13/2.2 | 0.05 | 0.02/0.16 | |||
| N1–3 | 50 | 0.008 | 0.002/0.017 | 0.22 | 0.1/3.3 | 0.06 | 0.03/0.68 | |||
| M | 0.6 | 0.5 | 0.5 | |||||||
| M0 | 101 | 0.006 | 0.001/0.014 | 0.40 | 0.08/2.47 | 0.05 | 0.02/0.23 | |||
| M1 | 9 | 0.006 | 0.004/0.008 | 0.26 | 0.17/4.43 | 0.07 | 0.05/0.68 | |||
| Stage | 0.075 | 0.24 | 0.24 | |||||||
| I + II | 62 | 0.004 | 0.001/0.010 | 0.36 | 0.05/2.2 | 0.05 | 0.02/0.16 | |||
| III + IV | 48 | 0.008 | 0.003/0.017 | 0.50 | 0.1/3.8 | 0.06 | 0.02/0.68 | |||
| Survival status | 0.3 | 0.035 * | 0.024 * | |||||||
| Alive | 73 | 0.007 | 0.002/0.015 | 0.22 | 0.04/2.22 | 0.03 | 0.02/0.13 | |||
| Dead | 37 | 0.005 | 0.001/0.011 | 0.61 | 0.24/3.54 | 0.10 | 0.05/0.55 | |||
| Lauren classification | 0.002 * | 0.059 | 0.2 | |||||||
| Diffuse | 81 | 0.008 | 0.004/0.016 | 0.22 | 0.06/2.16 | 0.05 | 0.02. 0.13 | |||
| Intestinal | 29 | 0.003 | 0.001/0.006 | 1.25 | 0.27/4.38 | 0.14 | 0.03. 0.87 | |||
| Signet ring cells | 0.3 | 0.2 | 0.99 | |||||||
| No | 71 | 0.005 | 0.002/0.011 | 0.63 | 0.09/3.34 | 0.05 | 0.02/0.51 | |||
| Yes | 39 | 0.008 | 0.001/0.017 | 0.22 | 0.09/0.91 | 0.06 | 0.03/0.19 | |||
| Tumor localization | 0.2 | 0.3 | 0.5 | |||||||
| Antral region | 20 | 0.004 | 0.001/0.011 | 0.33 | 0.09/1.21 | 0.03 | 0.02/0.07 | |||
| Body | 73 | 0.006 | 0.001/0.012 | 0.54 | 0.09/3.34 | 0.07 | 0.03/0.51 | |||
| Cardia | 17 | 0.008 | 0.005/0.022 | 0.31 | 0.18/2.82 | 0.06 | 0.03/0.09 | |||
| MSI (N = 57) | 0.99 | 0.023 * | 0.018 * | |||||||
| MSS | 51 | 0.003 | 0.001/0.008 | 0.61 | 0.15/3.13 | 0.07 | 0.03/0.51 | |||
| H&L | 6 | 0.002 | 0.001/0.009 | 5.25 | 3.87/5.94 | 1.08 | 0.77/1.63 | |||
| TP53 (N = 50) | 0.038 * | 0.5 | 0.6 | |||||||
| No | 38 | 0.002 | 0.001/0.006 | 0.54 | 0.17/2.26 | 0.07 | 0.03/0.44 | |||
| Yes | 12 | 0.008 | 0.004/0.011 | 1.40 | 0.27/4.56 | 0.17 | 0.03/0.89 | |||
| CDH1 (N = 50) | 0.7 | 0.3 | 0.5 | |||||||
| No | 45 | 0.003 | 0.001/0.008 | 0.61 | 0.16/3.2 | 0.07 | 0.03/0.50 | |||
| Yes | 5 | 0.004 | 0.001/0.016 | 0.91 | 0.54/5.52 | 0.22 | 0.04/1.48 | |||
| Variables | Patients (N = 65) | miR-129-5p Expression | miR-3613-3p Expression | ||||
|---|---|---|---|---|---|---|---|
| M | Q1/Q3 | p | M | Q1/Q3 | p | ||
| Gender | 0.5 | 0.5 | |||||
| Female | 29 | 0.02 | 0.01/0.05 | 0.0002 | 0.0001/0.0005 | ||
| Male | 36 | 0.02 | 0.02/0.03 | 0.0003 | 0.0001/0.0006 | ||
| Age (years) | 0.5 | 0.7 | |||||
| <49 | 9 | 0.02 | 0.01/0.05 | 0.0005 | 0.0001/0.0011 | ||
| >=50 | 56 | 0.02 | 0.02/0.03 | 0.0002 | 0.0001/0.0005 | ||
| T | 0.005 * | 0.17 | |||||
| T1 + 2 | 27 | 0.016 | 0.01/0.03 | 0.0002 | 0.0001/0.0005 | ||
| T3 + 4 | 38 | 0.026 | 0.02/0.05 | 0.0003 | 0.0001/0.0007 | ||
| N | 0.005 * | 0.11 | |||||
| N0 | 32 | 0.018 | 0.01/0.03 | 0.0002 | 0.0001/0.0005 | ||
| N1–3 | 33 | 0.028 | 0.02/0.05 | 0.0004 | 0.0001/0.0011 | ||
| M | 0.004 * | 0.3 | |||||
| M0 | 52 | 0.02 | 0.01/0.03 | 0.0002 | 0.0001/0.0005 | ||
| M1 | 13 | 0.05 | 0.02/0.13 | 0.0004 | 0.0001/0.0011 | ||
| Stage | 0.006 * | 0.05 | |||||
| I + II | 31 | 0.018 | 0.01/0.03 | 0.0002 | 0.0001/0.0005 | ||
| III + IV | 34 | 0.026 | 0.02/0.06 | 0.0004 | 0.0001/0.0011 | ||
| Survival status (N = 63) | 0.8 | 0.8 | |||||
| Alive | 61 | 0.02 | 0.01/0.04 | 0.0002 | 0.0001/0.0005 | ||
| Dead | 2 | 0.02 | 0.01/0.02 | 0.0004 | 0.0002/0.0006 | ||
| Lauren classification (N = 58) | 0.11 | 0.99 | |||||
| Diffuse | 51 | 0.02 | 0.01/0.03 | 0.0002 | 0.0001/0.0005 | ||
| Intestinal | 7 | 0.03 | 0.02/0.09 | 0.0002 | 0.0001/0.0007 | ||
| Signet ring cells | 0.2 | 0.3 | |||||
| Yes | 24 | 0.02 | 0.01/0.03 | 0.0002 | 0.0001/0.0005 | ||
| No | 16 | 0.03 | 0.02/0.04 | 0.0003 | 0.0001/0.0010 | ||
| Tumor localization | 0.43 | 0.71 | |||||
| (N = 61) | |||||||
| Antral region | 6 | 0.02 | 0.02/0.13 | 0.0002 | 0.0001/0.0014 | ||
| Cardia | 10 | 0.03 | 0.02/0.04 | 0.0002 | 0.0001/0.0006 | ||
| Body | 45 | 0.02 | 0.01/0.03 | 0.0003 | 0.0001/0.0005 | ||
| MiRNAs | Variables | AUC | Specificity | Sensitivity |
|---|---|---|---|---|
| Combination | T | 0.67 | 0.60 | 0.66 |
| miR-129-5p | 0.71 | 0.79 | 0.54 | |
| miR-3613-3p | 0.59 | 0.51 | 0.67 | |
| Combination | N | 0.67 | 0.45 | 0.80 |
| miR-129-5p | 0.71 | 0.54 | 0.79 | |
| miR-3613-3p | 0.60 | 0.37 | 0.87 | |
| Combination | M | 0.69 | 0.53 | 0.87 |
| miR-129-5p | 0.74 | 0.61 | 0.89 | |
| miR-3613-3p | 0.52 | 0.31 | 0.81 | |
| Combination | Stage | 0.69 | 0.50 | 0.78 |
| miR-129-5p | 0.71 | 0.55 | 0.74 | |
| miR-3613-3p | 0.64 | 0.52 | 0.74 |
| Variables | GC Tissues | Plasma | ||
|---|---|---|---|---|
| Patients (N = 110) | Healthy Controls (N = 38) | Patients (N = 65) | Healthy Controls (N = 48) | |
| Gender | ||||
| Female | 49 (44.5%) | 14 (37%) | 29 (45%) | 28 (58%) |
| Male | 61 (55.5%) | 24 (63%) | 36 (55%) | 20 (42%) |
| Age (years) | ||||
| <49 | 13 (12%) | 17 (45%) | 9 (14%) | 16 (33%) |
| >=50 | 97 (88%) | 21 (55%) | 56 (86%) | 32 (67%) |
| T | ||||
| T1 | 13 (12%) | 3 (5%) | ||
| T2 | 40 (36%) | 24 (37%) | ||
| T3 | 30 (27%) | 29 (44%) | ||
| T4 | 27 (25%) | 9 (14%) | ||
| N | ||||
| N0 | 60 (54%) | 32 (49%) | ||
| N1 | 35 (32%) | 27 (42%) | ||
| N2 | 14 (13%) | 4 (6%) | ||
| N3 | 1 (1%) | 2 (3%) | ||
| M | ||||
| M0 | 101 (92%) | 52 (80%) | ||
| M1 | 9 (8%) | 13 (20%) | ||
| Stage | ||||
| I | 20 (18%) | 3 (5%) | ||
| II | 42 (38%) | 28 (43%) | ||
| III | 41 (37%) | 21 (32%) | ||
| IV | 7 (7%) | 13 (20%) | ||
| Survival status | (N = 63) | |||
| Alive | 73 (66%) | 61 (97%) | ||
| Dead | 37 (34%) | 2 (3%) | ||
| Lauren classification | (N = 58) | |||
| Diffuse | 81 (74%) | 51 (88%) | ||
| Intestinal | 29 (26%) | 7 (12%) | ||
| Signet ring cells | ||||
| No | 71 (65%) | 43 (66%) | ||
| Yes | 39 (35%) | 22 (34%) | ||
| Tumor localization | ||||
| Antral region | 20 (18%) | 6 (10%) | ||
| Body | 73 (66%) | 40 (61%) | ||
| Cardia | 17 (16%) | 19 (29%) | ||
| Primer | Sequence |
|---|---|
| ARID1A_F | 5′-CAGTACCTGCCTCGCACATA-3′ |
| ARID1A_R | 5′- GCCAGGAGACCAGACTTGAG-3′ |
| GAPDH_F | 5′-CACCCACTCCTCCACCTTTG-3′ |
| GAPDH_R | 5′-CCACCACCCTGTTGCTGTAG-3′ |
| miR-129-5p | 5′- TTTTGCGGTCTGGGCTTGC-3′ |
| miR-3613-3p | 5′-ACAAAAAAAAAAGCCCAACCCTTC-3′ |
| RNU6B | 5′-TGCGCAAGGATGACACGCAA-3′ |
| Marker | Locus | Genome Coordinates | Primers | Length (nt) |
|---|---|---|---|---|
| NR21 | 14q11.2 | 14:23,125,294– 23,183,659 | FAM–GTCGCTGGCACAGTTCTA R–CTGGTCACTCGCGTTTACAA | 110 |
| NR24 | 2q11.1 | 2:95,165,808– 95,184,316 | FAM–CTGAATTTTACCTCCTGAC R–ATTGTGCCATTGCATTCCAA | 129 |
| BAT25 | 4q12 | 4:54,657,927– 54,740,714 | FAM–TCGCCTCCAAGAATGTAAGT R–TCTGCATTTTAACTATGGCTC | 124 |
| BAT26 | 2p21–p16 | 2:47,403,066– 47,634,500 | FAM–TGACTACTTTTGACTTCAGCC R–AACCATTCAACATTTTTAACCC | 122 |
| NR27 | 2p22.1 | 2:39,248,940– 39,437,311 | FAM–AACCATGCTTGCAAACCACT R–CGATAATACTAGCAATGACC | 90 |
| Primer | Sequence | Length of Amplicon (nt) |
|---|---|---|
| miR-129 F | ATATGCTAGCGGATCTTTTTGCGGTCTGGGCTTGC | 92 |
| miR-129 R | ATGCGGCCGCAGATACTTTTTGGGGTAAGGGCTTCCTG | |
| miR-3613 F | ATATGCTAGCTGGTTGGGTTTGGATTGTTGTACTT | 107 |
| miR-3613 R | ATGCGGCCGCTGAAGTGGTGTGAAGGGTTGG |
Disclaimer/Publisher’s Note: The statements, opinions and data contained in all publications are solely those of the individual author(s) and contributor(s) and not of MDPI and/or the editor(s). MDPI and/or the editor(s) disclaim responsibility for any injury to people or property resulting from any ideas, methods, instructions or products referred to in the content. |
© 2025 by the authors. Licensee MDPI, Basel, Switzerland. This article is an open access article distributed under the terms and conditions of the Creative Commons Attribution (CC BY) license (https://creativecommons.org/licenses/by/4.0/).
Share and Cite
Bure, I.V.; Vetchinkina, E.A.; Kalinkin, A.I.; Kuznetsova, E.B.; Molchanov, A.D.; Kiseleva, A.E.; Alekseeva, E.A.; Gorokhovets, N.V.; Rodionov, I.V.; Nemtsova, M.V. Potential Regulation of ARID1A by miR-129-5p and miR-3613-3p and Their Prognostic Value in Gastric Cancer. Int. J. Mol. Sci. 2025, 26, 305. https://doi.org/10.3390/ijms26010305
Bure IV, Vetchinkina EA, Kalinkin AI, Kuznetsova EB, Molchanov AD, Kiseleva AE, Alekseeva EA, Gorokhovets NV, Rodionov IV, Nemtsova MV. Potential Regulation of ARID1A by miR-129-5p and miR-3613-3p and Their Prognostic Value in Gastric Cancer. International Journal of Molecular Sciences. 2025; 26(1):305. https://doi.org/10.3390/ijms26010305
Chicago/Turabian StyleBure, Irina V., Ekaterina A. Vetchinkina, Alexey I. Kalinkin, Ekaterina B. Kuznetsova, Artem D. Molchanov, Alevtina E. Kiseleva, Ekaterina A. Alekseeva, Neonila V. Gorokhovets, Ivan V. Rodionov, and Marina V. Nemtsova. 2025. "Potential Regulation of ARID1A by miR-129-5p and miR-3613-3p and Their Prognostic Value in Gastric Cancer" International Journal of Molecular Sciences 26, no. 1: 305. https://doi.org/10.3390/ijms26010305
APA StyleBure, I. V., Vetchinkina, E. A., Kalinkin, A. I., Kuznetsova, E. B., Molchanov, A. D., Kiseleva, A. E., Alekseeva, E. A., Gorokhovets, N. V., Rodionov, I. V., & Nemtsova, M. V. (2025). Potential Regulation of ARID1A by miR-129-5p and miR-3613-3p and Their Prognostic Value in Gastric Cancer. International Journal of Molecular Sciences, 26(1), 305. https://doi.org/10.3390/ijms26010305

