Exploring the Impact of IL-33 Gene Polymorphism (rs1929992) on Susceptibility to Chronic Spontaneous Urticaria and Its Association with Serum Interleukin-33 Levels
Abstract
1. Introduction
2. Results
2.1. Clinical and Paraclinical Data: Collection and Visualisation
2.2. Associations of Allele Frequencies of IL-33 rs1929992 Gene Polymorphism with Odds of CSU
2.3. Association Between Genotypes Frequencies of IL-33 rs1929992 Gene Polymorphism and Odds of CSU
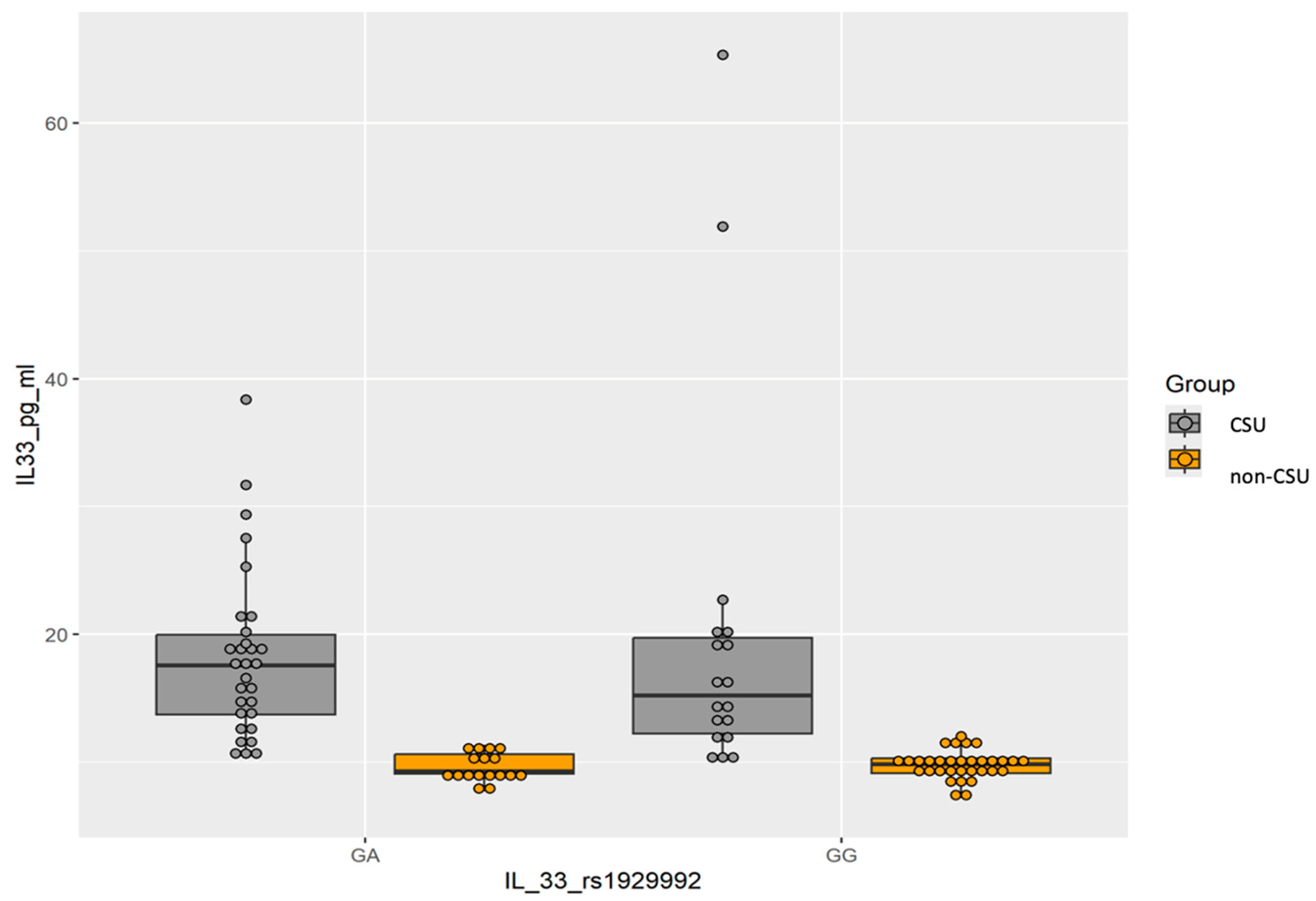
2.4. Association Between IL-33 rs1929992 Gene Polymorphism and IL-33 Serum Level Stratified by CSU Patients and Non-CSU Group
2.5. Association of IL-33 rs1929992 Gene Polymorphism with UAS7 and DLQI Scores in CSU Patients
3. Discussion
4. Materials and Methods
4.1. Patient Selection and Study Design
4.2. DNA Isolation
4.3. PCR and RFLP Analysis
4.4. Statistical Analysis
5. Conclusions
Author Contributions
Funding
Institutional Review Board Statement
Informed Consent Statement
Data Availability Statement
Acknowledgments
Conflicts of Interest
References
- Zuberbier, T.; Abdul Latiff, A.H.; Abuzakouk, M.; Aquilina, S.; Asero, R.; Baker, D.; Ballmer-Weber, B.; Bangert, C.; Ben-Shoshan, M.; Bernstein, J.A.; et al. The international EAACI/GA2LEN/EuroGuiDerm/APAAACI guideline for the definition, classification, diagnosis, and management of urticaria. Allergy 2022, 77, 734–766. [Google Scholar] [CrossRef] [PubMed]
- Burks, A.W.; Holgate, S.; O’Hehir, R.; Bacharier, L.; Broide, D.; Hershey, G.; Peebles, R.S. Middleton’s Allergy: Principles and Practice, 9th ed.; Elsevier: Amsterdam, The Netherlands, 2014; ISBN 9780323546980/9780323544245. [Google Scholar]
- Özkan, M.; Oflaz, S.B.; Kocaman, N.; Özşeker, F.; Gelincik, A.; Büyüköztürk, S.; Özkan, S.; Çolakoğlu, B. Psychiatric morbidity and quality of life in patients with chronic idiopathic urticaria. Ann. Allergy Asthma Immunol. 2007, 99, 29–33. [Google Scholar] [CrossRef]
- Katelaris, C.H.; Lima, H.; Marsland, A.; Weller, K.; Shah, A.; Waserman, S. How to measure disease activity, impact, and control in patients with recurrent wheals, angioedema, or both. J. Allergy Clin. Immunol. Pract. 2021, 9, 2151–2157. [Google Scholar] [CrossRef] [PubMed]
- O’Donnell, B.F.; Lawlor, F.; Simpson, J.; Morgan, M.; Greaves, M.W. The impact of chronic urticaria on the quality of life. Br. J. Dermatol. 1997, 136, 197–201. [Google Scholar] [CrossRef]
- Saini, S.S. Chronic spontaneous urticaria: Etiology and pathogenesis. Immunol. Allergy Clin. N. Am. 2014, 34, 33–52. [Google Scholar] [CrossRef] [PubMed]
- Shalom, G.; Magen, E.; Dreiher, J.; Freud, T.; Bogen, B.; Comaneshter, D.; Vardy, D.; Khoury, R.; Agmon-Levin, N.; Cohen, A. Chronic urticaria and atopic disorders: A cross-sectional study of 11,271 patients. Br. J. Dermatol. 2017, 177, e96–e97. [Google Scholar] [CrossRef] [PubMed]
- Davis, M.D.P.; van der Hilst, J.C.H. Mimickers of urticaria: Urticarial vasculitis and autoinflammatory diseases. J. Allergy Clin. Immunol. Pract. 2018, 6, 1162–1170. [Google Scholar] [CrossRef] [PubMed]
- Ying, S.; Kikuchi, Y.; Meng, Q.; Kay, A.B.; Kaplan, A.P. TH1/TH2 cytokines and inflammatory cells in skin biopsy specimens from patients with chronic idiopathic urticaria: Comparison with the allergen-induced late-phase cutaneous reaction. J. Allergy Clin. Immunol. 2002, 109, 694–700. [Google Scholar] [CrossRef] [PubMed]
- Dobrican, C.-T.; Muntean, I.A.; Pintea, I.; Petricău, C.; Deleanu, D.-M.; Filip, G.A. Immunological signature of chronic spontaneous urticaria (Review). Exp. Ther. Med. 2022, 23, 381. [Google Scholar] [CrossRef]
- Kolkhir, P.; Church, M.K.; Weller, K.; Metz, M.; Schmetzer, O.; Maurer, M. Autoimmune chronic spontaneous urticaria: What we know and what we do not know. J. Allergy Clin. Immunol. 2017, 139, 1772–1781.e1. [Google Scholar] [CrossRef] [PubMed]
- Kasutani, K.; Fujii, E.; Ohyama, S.; Adachi, H.; Hasegawa, M.; Kitamura, H.; Yamashita, N. Anti-IL-31 receptor antibody is shown to be a potential therapeutic option for treating itch and dermatitis in mice. Br. J. Pharmacol. 2014, 171, 5049–5058. [Google Scholar] [CrossRef] [PubMed]
- Dobrican-Băruța, C.-T.; Deleanu, D.M.; Muntean, I.A.; Pintea, I.; Florea, C.M.; Filip, G.A. IL-31—Pruritus Interleukin: Serum Values and Clinical Impact in Chronic Spontaneous Urticaria—A Romanian Retrospective Study. J. Clin. Med. 2023, 12, 5957. [Google Scholar] [CrossRef]
- Kubo, N.; Senda, M.; Ohsumi, Y.; Sakamoto, S.; Matsumoto, K.; Tashiro, M.; Okamura, N.; Yanai, K. Brain histamine H1 receptor occupancy of loratadine measured by positron emission topography: Comparison of H1 receptor occupancy and proportional impairment ratio. Hum. Psychopharmacol. 2011, 26, 133–139. [Google Scholar] [CrossRef] [PubMed]
- Guillén-Aguinaga, S.; Presa, I.J.; Aguinaga-Ontoso, E.; Guillén-Grima, F.; Ferrer, M. Updosing nonsedating antihistamines in patients with chronic spontaneous urticaria: A systematic review and meta-analysis. Br. J. Dermatol. 2016, 175, 1153–1165. [Google Scholar] [CrossRef] [PubMed]
- Saini, S.; Rosen, K.E.; Hsieh, H.J.; Wong, D.A.; Conner, E.; Kaplan, A.; Spector, S.; Maurer, M. A randomized, placebo-controlled, dose-ranging study of single-dose omalizumab in patients with H-1-antihistamine-refractory chronic idiopathic urticaria. J. Allergy Clin. Immunol. 2011, 128, 567–573. [Google Scholar] [CrossRef] [PubMed]
- Maurer, M.; Altrichter, S.; Bieber, T.; Biedermann, T.; Bräutigam, M.; Seyfried, S.; Brehler, R.; Grabbe, J.; Hunzelmann, N.; Jakob, T.; et al. Efficacy and safety of omalizumab in patients with chronic urticaria who exhibit IgE against thyroperoxidase. J. Allergy Clin. Immunol. 2011, 128, 202–209. [Google Scholar] [CrossRef]
- Saini, S.S.; Bindslev-Jensen, C.; Maurer, M.; Grob, J.-J.; Baskan, E.B.; Bradley, M.S.; Canvin, J.; Rahmaoui, A.; Georgiou, P.; Alpan, O.; et al. Efficacy and safety of omalizumab in patients with chronic idiopathic/spontaneous urticaria who remain symptomatic on H1 antihistamines: A randomized, placebo-controlled study. J. Investig. Dermatol. 2015, 135, 67–75. [Google Scholar] [CrossRef] [PubMed]
- Maurer, M.; Rosén, K.; Hsieh, H.J.; Saini, S.; Grattan, C.; Gimenéz-Arnau, A.; Agarwal, S.; Doyle, R.; Canvin, J.; Kaplan, A.; et al. Omalizumab for the treatment of chronic idiopathic or spontaneous urticaria. N. Engl. J. Med. 2013, 368, 924–935. [Google Scholar] [CrossRef] [PubMed]
- Metz, M.; Maurer, M. Use of Biologics in Chronic Spontaneous Urticaria—Beyond Omalizumab Therapy? Allergol. Select 2021, 5, 89–95. [Google Scholar] [CrossRef]
- Metz, M.; Kolkhir, P.; Altrichter, S.; Siebenhaar, F.; Levi-Schaffer, F.; Youngblood, B.A.; Church, M.K.; Maurer, M. Mast cell silencing: A novel therapeutic approach for urticaria and other mast cell-mediated diseases. Allergy 2023, 79, 37–51. [Google Scholar] [CrossRef]
- Manti, S.; Giallongo, A.; Papale, M.; Parisi, G.F.; Leonardi, S. Monoclonal antibodies in treating chronic spontaneous urticaria: New drugs for an old disease. J. Clin. Med. 2022, 11, 4453. [Google Scholar] [CrossRef]
- Moussion, C.; Ortega, N.; Girard, J.P. The IL-1-like cytokine IL-33 is constitutively expressed in the nucleus of endothelial cells and epithelial cells in vivo: A novel ‘alarmin’? PLoS ONE 2008, 3, e3331. [Google Scholar] [CrossRef] [PubMed]
- Hsu, C.L.; Neilsen, C.V.; Bryce, P.J. IL-33 is produced by mast cells and regulates IgE-dependent inflammation. PLoS ONE 2010, 5, e11944. [Google Scholar] [CrossRef]
- Saluja, R.; Khan, M.; Church, M.K.; Maurer, M. The role of IL-33 and mast cells in allergy and inflammation. Clin. Transl. Allergy 2015, 5, 33. [Google Scholar] [CrossRef]
- Dobrican-Băruța, C.-T.; Deleanu, D.M.; Muntean, I.A.; Nedelea, I.; Bălan, R.-G.; Filip, G.A.; Procopciuc, L.M. The Alarmin Triad—IL-25, IL-33, and TSLP—Serum Levels and Their Clinical Implications in Chronic Spontaneous Urticaria. Int. J. Mol. Sci. 2024, 25, 2026. [Google Scholar] [CrossRef] [PubMed]
- Church, M.K.; Kolkhir, P.; Metz, M.; Maurer, M. The role and relevance of mast cells in urticaria. Immunol. Rev. 2018, 282, 232–247. [Google Scholar] [CrossRef]
- Cayrol, C.; Girard, J.P. Interleukin-33 (IL-33): A critical review of its biology and the mechanisms involved in its release as a potent extracellular cytokine. Cytokine 2022, 156, 155891. [Google Scholar] [CrossRef]
- Schmitz, J.; Owyang, A.; Oldham, E.; Song, Y.; Murphy, E.; McClanahan, T.K.; Zurawski, G.; Moshrefi, M.; Qin, J.; Li, X.; et al. IL-33, an interleukin-1-like cytokine that signals via the IL-1 receptor-related protein ST2 and induces T helper type 2-associated cytokines. Immunity 2005, 23, 479–490. [Google Scholar] [CrossRef] [PubMed]
- Carriere, V.; Roussel, L.; Ortega, N.; Lacorre, D.A.; Americh, L.; Aguilar, L.; Bouche, G.; Girard, J.P. IL-33, the IL-1-like cytokine ligand for ST2 receptor, is a chromatin-associated nuclear factor in vivo. Proc. Natl. Acad. Sci. USA 2007, 104, 282–287. [Google Scholar] [CrossRef] [PubMed]
- Liew, F.Y.; Girard, J.P.; Turnquist, H.R. Interleukin-33 in health and disease. Nat. Rev. Immunol. 2016, 16, 676–689. [Google Scholar] [CrossRef] [PubMed]
- Bertheloot, D.; Latz, E. HMGB1, IL-1alpha, IL-33 and S100 proteins: Dual-function alarmins. Cell. Mol. Immunol. 2017, 14, 43–64. [Google Scholar] [CrossRef] [PubMed]
- Cayrol, C.; Girard, J.P. Interleukin-33 (IL-33): A nuclear cytokine from the IL-1 family. Immunol. Rev. 2018, 281, 154–168. [Google Scholar] [CrossRef]
- Molofsky, A.B.; Savage, A.K.; Locksley, R.M. Interleukin-33 in tissue homeostasis, injury, and inflammation. Immunity 2015, 42, 1005–1019. [Google Scholar] [CrossRef] [PubMed]
- Konstantinou, G.N.; Asero, R.; Ferrer, M.; Knol, E.F.; Maurer, M.; Raap, U.; Schmid-Grendelmeier, P.; Skol, P.S.; Grattan, C.E.H. EAACI taskforce position paper: Evidence for autoimmune urticaria and proposal for defining diagnostic criteria. Allergy 2013, 68, 27–36. [Google Scholar] [CrossRef]
- Hoffman, H.M.; Broderick, L. The role of the inflammasome in patients with autoinflammatory diseases. J. Allergy Clin. Immunol. 2016, 138, 3–14. [Google Scholar] [CrossRef] [PubMed]
- Hashkes, P.J.; Toker, O. Autoinflammatory syndromes. Pediatr. Clin. N. Am. 2012, 59, 447–470. [Google Scholar] [CrossRef] [PubMed]
- Fiebiger, E.; Hammerschmid, F.; Stingl, G.; Maurer, D. Anti-FcepsilonRIalpha autoantibodies in autoimmune-mediated disorders. Identification of a structure-function relationship. J. Clin. Investig. 1998, 101, 243–251. [Google Scholar] [CrossRef]
- Kolkhir, P.; Borzova, E.; Grattan, C.; Asero, R.; Pogorelov, D.; Maurer, M. Autoimmune comorbidity in chronic spontaneous urticaria: A systematic review. Autoimmun. Rev. 2017, 16, 1196–1208. [Google Scholar] [CrossRef]
- Bonnekoh, H.; Maurer, M.; Krause, K. Interleukin-1-related cytokines as potential biomarkers in autoinflammatory skin diseases. Pediatr. Rheumatol. 2015, 13 (Suppl. S1), 197. [Google Scholar] [CrossRef][Green Version]
- Xu, W.; Liu, Y.; Ye, D. Association between IL-33 Gene Polymorphisms (rs1929992, rs7044343) and Systemic Lupus Erythematosus in a Chinese Han Population. Immunol. Investig. 2016, 45, 575–583. [Google Scholar] [CrossRef]
- Kay, A.B.; Ying, S.; Ardelean, E.; Mlynek, A.; Kita, H.; Clark, P.; Maurer, M. Elevations in vascular markers and eosinophils in chronic spontaneous urticarial weals with low-level persistence in uninvolved skin. Br. J. Dermatol. 2014, 171, 505–511. [Google Scholar] [CrossRef] [PubMed]
- Kay, A.B.; Clark, P.; Maurer, M.; Ying, S. Elevations in T-helper-2-initiating cytokines (interleukin-33, interleukin-25 and thymic stromal lymphopoietin) in lesional skin from chronic spontaneous (‘idiopathic’) urticaria. Br. J. Dermatol. 2015, 172, 1294–1302. [Google Scholar] [CrossRef] [PubMed]
- Smithgall, M.D.; Comeau, M.R.; Yoon, B.R.; Kaufman, D.; Armitage, R.; Smith, D.E. IL-33 amplifies both Th1- and Th2-type responses through its activity on human basophils, allergen-reactive Th2 cells, iNKT and NK cells. Int. Immunol. 2008, 20, 1019–1030. [Google Scholar] [CrossRef] [PubMed]
- Bagheri-Hosseinabadi, Z.; Mirzaei, M.R.; Aliakbari, M.; Abbasifard, M. Association of interleukin 33 gene polymorphisms with susceptibility and regulation of inflammatory mediators in Systemic lupus erythematosus patients. Clin. Rheumatol. 2023, 42, 2187–2197. [Google Scholar] [CrossRef] [PubMed]
- Jamali, M.; Rostami Rad, M.; Anani Sarab, G.; Mahdavi, R. IL-33 polymorphism rs1929992 and its association with susceptibility to different pattern of multiple sclerosis. Tehran Univ. Med. J. 2018, 76, 446–451. [Google Scholar]
- Fang, Y.; Li, W.; Xu, H.; Mao, J.; Shang, S. Association Between Interleukin-33 Polymorphism and Henoch-Schönlein Purpura in Chinese Children. Iran J. Pediatr. 2019, 29, e63038. [Google Scholar] [CrossRef]
- Kolkhir, P.; Pogorelov, D.; Olisova, O.; Maurer, M. Comorbidity and pathogenic links of chronic spontaneous urticaria and systemic lupus erythematosus—A systematic review. Clin. Exp. Allergy 2016, 46, 275–287. [Google Scholar] [CrossRef]
- Canoğlu, K.; Okutan, O.; Taş, D.; Yılmaz, İ.; Yeşilbaş, S.; Çalışkan, T.; Arpaçağ Koşar, A.F.; Kartaloğlu, Z.; Ayten, Ö.; Uyar, Y. Evaluation of serum interleukin-33 and gene polymorphisms in patients with bronchial asthma. Gulhane Med. J. 2021, 63, 104–109. [Google Scholar] [CrossRef]
- Rabea, R.A.; El-Gamal, R.; Fahmy, E.M.; Taha, H.K.E.; Bakr, A.O.; Zaki, M.E.; Elabbasy, L.M. Serum interleukin 33 levels and single nucleotide polymorphism rs1929992 in Egyptian patients with chronic asthma. Egypt. J. Immunol. 2021, 28, 264–271. [Google Scholar] [CrossRef]
- Guo, L.; Zhou, X.; Guo, X.; Zhang, X.; Sun, Y. Association of interleukin-33 gene single nucleotide polymorphisms with ischemic stroke in north Chinese population. BMC Med. Genet. 2013, 14, 109. [Google Scholar] [CrossRef]
- Nebiolo, F.; Bergia, R.; Bommarito, L.; Bugiani, M.; Heffler, E.; Carosso, A.; Castiglioni, G.; Guida, G.; Badiu, I.; Pizzimenti, S.; et al. Effect of arterial hypertension on chronic urticaria duration. Ann. Allergy Asthma Immunol. 2009, 103, 407–410. [Google Scholar] [CrossRef] [PubMed]
- Bassagh, A.; Jafarzadeh, A.; Kazemipour, N.; Nemati, M.; Aminizadeh, N.; Larussa, T.; Ghazizadeh, M.; Abasi, M.H.; Mirkamandar, E. Decreased circulating interleukin-33 concentration in Helicobacter pylori-infected patients with peptic ulcer: Evaluation of its association with a cytokine gene polymorphism, gender of patients and bacterial virulence factor CagA. Microb. Pathog. 2019, 136, 103708. [Google Scholar] [CrossRef] [PubMed]
- Moreno, V.; Gonzalez, J.; Pelegri, D. SNPassoc: SNPs-Based Whole Genome Association Studies. R Package Version 2.1-0. 2022. Available online: https://CRAN.R-project.org/package=SNPassoc (accessed on 1 November 2023).
- R Core Team. R: A Language and Environment for Statistical Computing; R Foundation for Statistical Computing: Vienna, Austria, 2023; Available online: https://www.R-project.org/ (accessed on 4 January 2024).


| Non-CSU Patients (n1 = 49) | CSU Patients (n2 = 48) | p-Values | |
|---|---|---|---|
| Demographic variables | |||
| Sex [males/females, (% of males)] | 22/27 (44.9) | 12/36 (35.3) | 0.04002 * |
| Age (years) a | 38.7 (14.19) | 46.47 (25.0) | 0.0016 * |
| Paraclinical variables | |||
| Serum levels of IL-33 (pg/mL) b | 9.81 [9.07, 10.40] | 16.60 [13.04, 19.98] | <0.0001 * |
| Baseline IgE level (IU/L) b | ND | 132 [55.08, 355.50] | |
| Baseline blood eosinophils (x1000) b | ND | 0.36 [0.11, 0.98] | |
| Baseline C-reactive protein (CRP) (mg/dL) b | ND | 0.30 [0.20, 0.53] | |
| Treatments | |||
| Antihistamines only (n, %) | ND | 33 (68.75) | |
| Antihistamines and corticosteroids (n, %) | ND | 15 (31.25) | |
| Atopy (n, %) | ND | 13 (27.08) | |
| Ag.hb.pylori (n, %) | ND | 4 (8.33) |
| Gene | rs | Minor Allele | MAF (%) | HWE p-Value a | OR [95% CI] | p-Value b | |
|---|---|---|---|---|---|---|---|
| CSU Group | Non-CSU Group | ||||||
| IL-33 | 1929992 | A | 31.25 | 17.35 | 0.3197 | 2.17 [1.10, 4.27] | 0.024 * |
| Genotypes | Non-CSU Group (n1 = 49) n (%) | CSU Group (n2 = 48) n (%) | Unadjusted | Adjusted a | ||
|---|---|---|---|---|---|---|
| OR [95% CI] | p-Value | OR [95% CI] | p-Value | |||
| IL-33 rs1929992 | 0.0058 * | 0.0133 * | ||||
| GG | 32 (65.3) | 18 (37.5) | Reference | Reference | ||
| GA | 17 (34.7) | 30 (62.5) | 3.14 [1.37, 7.19] | 2.95 [1.24, 7.03] | ||
| AA | 0 (0) | 0 (0) | NA | NA | ||
| IL-33 rs1929992 | Non-CSU Group (n1 = 49) | CSU Group (n2 = 48) | p-Value | |
|---|---|---|---|---|
| Median [IQR] | Median [IQR] | |||
| IL-33 serum level (pg/mL) | GG (n = 50) | 9.85 [9.11; 10.33] | 15.23 [12.23; 19.72] | 0.0000001 * |
| GA (n = 47) | 9.29 [9.07; 10.62] | 17.55 [13.74; 19.98] | 0.0000001 * | |
| p-value | 0.7526 | 0.5439 |
| IL-33 rs1929992 | p-Value | ||||
|---|---|---|---|---|---|
| GG Genotype (n = 18) | GA Genotype (n = 30) | ||||
| Mean (SD) | Range [Min; Max] | Mean (SD) | Range [Min; Max] | ||
| Baseline UAS7 scores | 27.22 (7.71) | [15; 42] | 27.90 (6.80) | [14; 38] | 0.7521 |
| Baseline DLQI scores | 19.06 (6.95) | [8; 30] | 21.37 (6.77) | [9; 30] | 0.2629 |
Disclaimer/Publisher’s Note: The statements, opinions and data contained in all publications are solely those of the individual author(s) and contributor(s) and not of MDPI and/or the editor(s). MDPI and/or the editor(s) disclaim responsibility for any injury to people or property resulting from any ideas, methods, instructions or products referred to in the content. |
© 2024 by the authors. Licensee MDPI, Basel, Switzerland. This article is an open access article distributed under the terms and conditions of the Creative Commons Attribution (CC BY) license (https://creativecommons.org/licenses/by/4.0/).
Share and Cite
Dobrican-Băruța, C.-T.; Deleanu, D.M.; Iancu, M.; Muntean, I.A.; Nedelea, I.; Bălan, R.-G.; Procopciuc, L.M.; Filip, G.A. Exploring the Impact of IL-33 Gene Polymorphism (rs1929992) on Susceptibility to Chronic Spontaneous Urticaria and Its Association with Serum Interleukin-33 Levels. Int. J. Mol. Sci. 2024, 25, 13709. https://doi.org/10.3390/ijms252413709
Dobrican-Băruța C-T, Deleanu DM, Iancu M, Muntean IA, Nedelea I, Bălan R-G, Procopciuc LM, Filip GA. Exploring the Impact of IL-33 Gene Polymorphism (rs1929992) on Susceptibility to Chronic Spontaneous Urticaria and Its Association with Serum Interleukin-33 Levels. International Journal of Molecular Sciences. 2024; 25(24):13709. https://doi.org/10.3390/ijms252413709
Chicago/Turabian StyleDobrican-Băruța, Carmen-Teodora, Diana Mihaela Deleanu, Mihaela Iancu, Ioana Adriana Muntean, Irena Nedelea, Radu-Gheorghe Bălan, Lucia Maria Procopciuc, and Gabriela Adriana Filip. 2024. "Exploring the Impact of IL-33 Gene Polymorphism (rs1929992) on Susceptibility to Chronic Spontaneous Urticaria and Its Association with Serum Interleukin-33 Levels" International Journal of Molecular Sciences 25, no. 24: 13709. https://doi.org/10.3390/ijms252413709
APA StyleDobrican-Băruța, C.-T., Deleanu, D. M., Iancu, M., Muntean, I. A., Nedelea, I., Bălan, R.-G., Procopciuc, L. M., & Filip, G. A. (2024). Exploring the Impact of IL-33 Gene Polymorphism (rs1929992) on Susceptibility to Chronic Spontaneous Urticaria and Its Association with Serum Interleukin-33 Levels. International Journal of Molecular Sciences, 25(24), 13709. https://doi.org/10.3390/ijms252413709

