Young Goji Fruit Volatiles Regulate the Oviposition Behavior and Chemosensory Gene Expression of Gravid Female Neoceratitis asiatica
Abstract
1. Introduction
2. Results
2.1. Gravid Female N. asiatica Preferred to Lay Eggs on Young Goji Fruit
2.2. Young Goji Fruit Volatiles Induced Oviposition Behavior Response of Gravid Female N. asiatica
2.3. Transcriptome Analysis of Antennae, Legs and Ovipositor of Gravid Female N. asiatica After Young Goji Fruit Volatile Exposure
2.3.1. Transcriptome Assembly of Gravid Female N. asiatica Adults
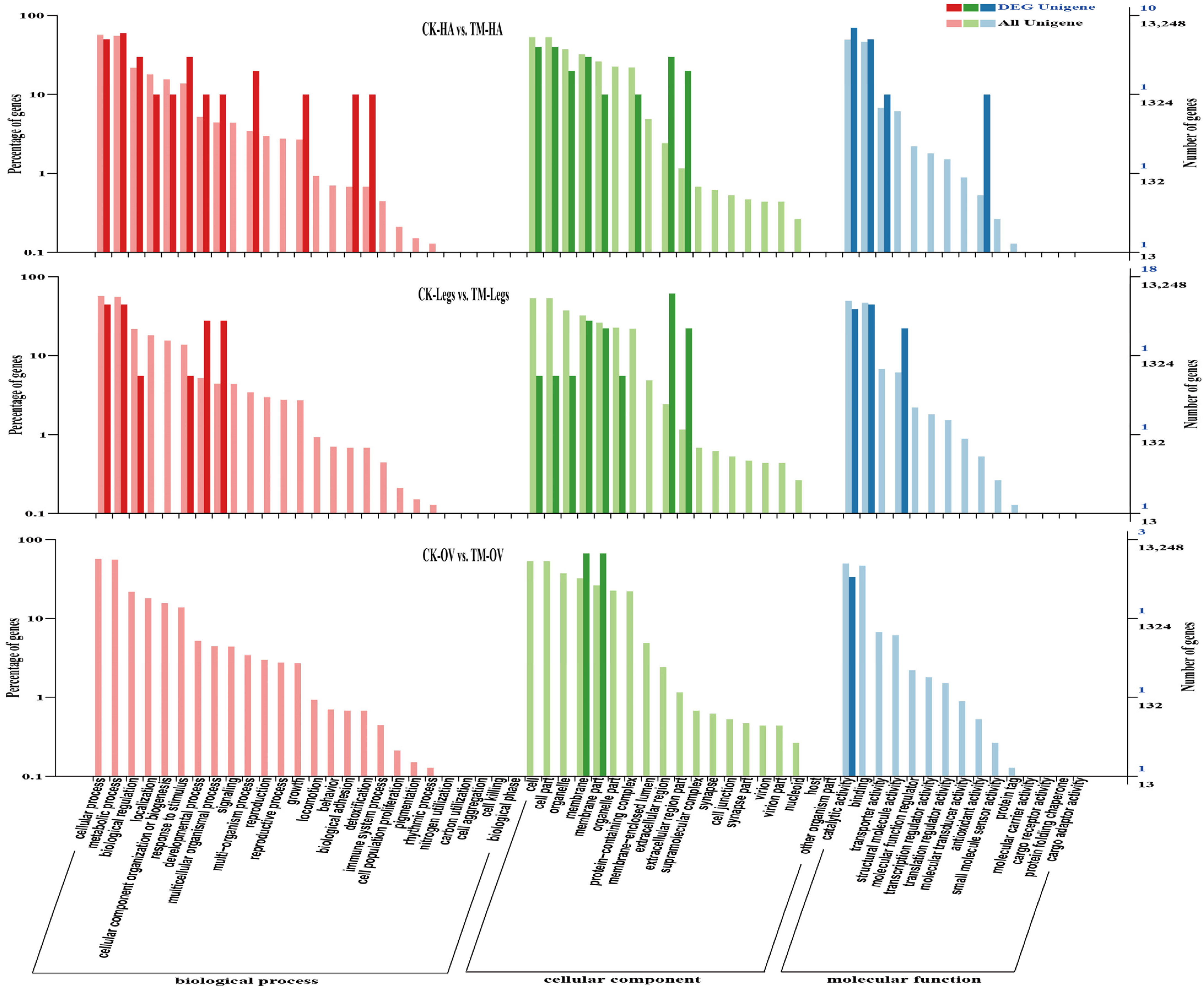
2.3.2. Functional Annotation Analysis of Differentially Expressed Genes
2.4. Identification and Differential Expression Analysis of Chemosensory Genes After Young Goji Fruit VOC Exposure
2.4.1. Identification and Expression Analysis of OBP Genes After Young Goji Fruit VOC Exposure
2.4.2. Identification and Expression Analysis of CSP Genes After Young Goji Fruit VOC Exposure
2.5. RT-qPCR Verification of OBP and CSP Genes After Young Goji Fruit VOC Exposure
3. Discussion
4. Materials and Methods
4.1. Materials and Sample Preparation
4.1.1. Insect Rearing and Sample Preparation
4.1.2. Wolfberry Cultivation and Sample Preparation
4.2. Oviposition Behavior Response of Gravid Female N. asiatica to Young Goji Fruit Volatiles
4.2.1. Collection of Volatile Organic Compounds (VOCs) from Fresh Young Goji Fruits
4.2.2. Behavioral Assays by Y-Tube Olfactometer
4.2.3. Comparison of Oviposition on Agar Medium with and Without Goji Young Fruits VOCs
4.3. Transcriptome Analysis of Female N. asiatica Antennae, Legs and Ovipositor Under Young Goji Fruit Volatile Exposure
4.3.1. Sample Collection and RNA Extraction
4.3.2. cDNA Construction, Illumina Sequencing, Assembly and Annotation
4.3.3. Identification, Phylogenetic Construction and Differentially Expressed Genes Analysis of OBPs and CSPs
4.4. RT-qPCR Verification of OBPs and CSPs in N. asiatica
4.4.1. RNA Extraction and cDNA Synthesis
4.4.2. Primer Design, Primer Evaluation and qPCR Analysis
4.5. Statistical Analysis
Supplementary Materials
Author Contributions
Funding
Institutional Review Board Statement
Informed Consent Statement
Data Availability Statement
Conflicts of Interest
References
- Gao, Y.J.; Wei, Y.; Wang, Y.Q.; Gao, F.; Chen, Z.G. Lycium Barbarum: A traditional Chinese herb and a promising anti-aging agent. Aging. Dis. 2017, 8, 778–791. [Google Scholar] [CrossRef] [PubMed]
- Zhang, Y.; Qin, J.; Wang, Y.; Zhou, T.; Feng, N.; Ma, C.; Zhu, M. Levels and health risk assessment of pesticides and metals in Lycium barbarum L. from different sources in Ningxia, China. Sci. Rep. 2022, 12, 561. [Google Scholar] [CrossRef] [PubMed]
- Li, X.; Holt, R.R.; Keen, C.L.; Morse, L.S.; You, G.; Hackman, R.M. Goji berry intake increases macular pigment optical density in healthy adults: A Randomized Pilot Trial. Nutrients 2021, 13, 4409. [Google Scholar] [CrossRef] [PubMed]
- Feng, Z.; Wan, S.; Sui, Q.; Labandeira, C.; Guo, Y.; Chen, J.B. A Triassic tritrophic triad documents an early food-web cascade. Curr. Biol. 2023, 32, 5165–5171. [Google Scholar] [CrossRef]
- Wang, Z.W.; Sun, Q.R.; Fang, J.X.; Wang, C.T.; Wang, D.D.; Li, M. The anti-aging activity of Lycium barbarum polysaccharide extracted by yeast fermentation: In vivo and in vitro studies. Int. J. Biol. Macromol. 2022, 209, 2032–2041. [Google Scholar] [CrossRef]
- Li, X.M.; Ma, Y.L.; Liu, X.J. Effect of the Lycium barbarum polysaccharides on age-related oxidative stress in aged mice. J. Ethnopharmacol. 2007, 111, 504–511. [Google Scholar] [CrossRef]
- Wei, H.S.; Qiao, H.L.; Liu, S.; Xu, C.Q. Transcriptome-Based Selection and Validation of Reference Genes for Gene Expression in Goji Fruit Fly (Neoceratitis asiatica Becker) under Developmental Stages and Five Abiotic Stresses. Int. J. Mol. Sci. 2023, 24, 451. [Google Scholar] [CrossRef]
- Dong, W.Y.; Chen, R.P.; Wu, J.N.; Wang, B.; Wang, G.R. Research progress on semiochemicals-mediated egg-laying behavior and mechanism in insects. J. Appl. Entomol. 2023, 60, 389–410. [Google Scholar]
- Zhang, L.W.; Yu, J.; Guo, X.; Wei, J.H.; Liu, T.; Zhang, W. Parallel Mechanosensory Pathways Direct Oviposition Decision-Making in Drosophila. Curr. Biol. 2020, 30, 3075–3088. [Google Scholar] [CrossRef]
- Wu, S.F.; Ja, Y.L.; Zhang, Y.J.; Yan, C.H. Sweet neurons inhibit texture discrimination by signaling TMC-expressing mechanosensitive neurons in Drosophila. eLife 2019, 8, e46165. [Google Scholar] [CrossRef]
- Zhang, L.W.; Sun, H.W.; Long Zhang, L.; Hansson, B.S.; Dweck, H.K.M. Cross-generation pheromonal communication drives Drosophila oviposition site choice. Curr. Biol. 2023, 33, 2095–2103.e3. [Google Scholar] [CrossRef] [PubMed]
- Zhang, X.; Liu, Y.; Guo, M.B.; Sun, D.D.; Zhang, M.J.; Chu, X.; Berg, B.G.; Wang, G.R. A female-specific odorant receptor mediates oviposition deterrence in the moth Helicoverpa armigera. Curr. Biol. 2024, 34, 1–11. [Google Scholar] [CrossRef] [PubMed]
- Wang, J.L.; Wei, J.Q.; Yi, T.; Li, Y.Y.; Xu, T.; Chen, L.; Xu, H.H. A green leaf volatile, (Z)-3-hexenyl-acetate, mediates differential oviposition by Spodoptera frugiperda on maize and rice. BMC Biol. 2023, 21, 140. [Google Scholar] [CrossRef] [PubMed]
- Gu, F.; Ai, S.P.; Chen, Y.Y.; Jin, S.; Xie, X.; Zhang, T.; Zhong, G.H.; Yi, X. Mutualism promotes insect fitness by fungal nutrient compensation and facilitates fungus propagation by mediating insect oviposition preference. ISME J. 2022, 16, 1831–1842. [Google Scholar] [CrossRef]
- Knight, A.; Light, D. Use of ethyl (E, Z)-2,4-decadienoate in codling moth management: Stimulation of oviposition. J. Entomol. Soc. Br. Columbia. 2004, 101, 53–60. [Google Scholar]
- Pagadala, D.K.J.; Kempraj, V.; Aurade, R.M.; Venkataramanappa, R.K.; Nandagopal, B.; Verghese, A.; Bruce, T. Oviposition site-selection by Bactrocera dorsalis is mediated through an innate recognition template tuned to γ-octalactone. PLoS ONE 2014, 9, e85764. [Google Scholar] [CrossRef]
- Kamala, J.P.D.; Kempraj, V.; Aurade, R.M.; Venkataramanappa, R.K.; Nandagopal, B.; Verghese, A.; Bruce, T. Specific volatile compounds from mango elicit oviposition in gravid Bactrocera dorsalis females. J. Chem. Ecol. 2014, 40, 259–266. [Google Scholar] [CrossRef]
- Lu, J.F.; Li, H.X.; Quan, J.P.; An, W.; Zhao, J.H.; Xi, W.P. Identification of characteristic aroma volatiles of Ningxia goji berries (Lycium barbarum L.) and their developmental changes. Int. J. Food Prop. 2017, 20, S214–S227. [Google Scholar] [CrossRef]
- Xu, L.; Jiang, H.B.; Yu, J.L.; Lei, Q.; Pan, D.; Chen, Y.; Dong, B.; Liu, Z.; Wang, J.J. An Odorant Receptor Expressed in Both Antennae and Ovipositors Regulates Benzothiazole-Induced Oviposition Behavior in Bactrocera dorsalis. J. Agric. Food Chem. 2024, 72, 6954–6963. [Google Scholar] [CrossRef]
- Leal, W.S. Odorant reception in insects: Roles of receptors, binding proteins, and degrading enzymes. Annu. Rev. Entomol. 2013, 58, 373–391. [Google Scholar] [CrossRef]
- Zhang, Y.; Yang, B.; Wang, G.R. Research progress of soluble proteins on chemosensationin insects. J. Environ. Entomol. 2019, 41, 229–240. [Google Scholar]
- Zhang, J.; Luo, D.; Wu, P.; Li, H.; Zhang, H.; Zheng, W. Identification and expression profiles of novel odorant binding proteins and functional analysis of OBP99a in Bactrocera dorsalis. Arch. Insect Biochem. Physiol. 2018, 98, e21452. [Google Scholar] [CrossRef] [PubMed]
- He, M.; Chen, H.; Yang, X.; Gao, Y.; Lu, Y.; Cheng, D. Gut bacteria induce oviposition preference through ovipositor recognition in fruit fly. Commun. Biol. 2022, 5, 973. [Google Scholar] [CrossRef] [PubMed]
- Rebijith, K.B.; Asokan, R.; Hande, H.R.; Kumar, N.K.K.; Krishna, V.; Vinutha, J.; Bakthavatsalam, N. RNA interference of odorant-binding protein 2 (OBP2) of the cotton aphid, Aphis gossypii (Glover), resulted in altered electrophysiological responses. Appl. Biochem. Biotechnol. 2016, 178, 251–266. [Google Scholar] [CrossRef]
- Ai, H.; Liu, Y.; Long, G.; Yuan, Y.; Huang, S.; Chen, Y. Functional characteristics of a novel odorant binding protein in the legume pod borer, Maruca vitrata. Sci. Rep. 2021, 11, 14027. [Google Scholar] [CrossRef]
- Chen, X.F.; Xu, L.; Zhang, Y.X.; Wei, D.; Wang, J.J.; Jiang, H.B. Genome-wide identification and expression profiling of odorant-binding proteins in the oriental fruit fly, Bactrocera dorsalis. Comp. Biochem. Physiol. Part D 2019, 31, 100605. [Google Scholar] [CrossRef]
- Chen, J.; Wang, F.L.; Gui, L.Y.; Zhang, G.H. Identification and tissue distribution of odorant binding protein genes in the citrus fruit fly, Bactrocera minax (Enderlein) (Diptera: Tephritidae). J. Asia-Pac. Entomol. 2019, 22, 256–262. [Google Scholar] [CrossRef]
- Liu, Z.; Xie, Q.P.; Guo, H.W.; Xu, W.; Wang, J.J. An odorant binding protein mediates Bactrocera dorsalis olfactory sensitivity to host plant volatiles and male attractant compounds. Int. J. Biol. Macromol. 2022, 219, 538–544. [Google Scholar] [CrossRef]
- Idrees, A.; Zhang, H.; Luo, M.; Thu, M.; Cai, P.; Islam, W.; Hussain, M.; Chen, J.; Ji, Q. Protein baits, volatile compounds and irradiation influence the expression profiles of odorant binding protein genes in Bactrocera dorsalis (Diptera: Tephritidae). Appl. Ecol. Env. Res. 2017, 15, 1883–1899. [Google Scholar] [CrossRef]
- Chen, J.; Yang, L.; Tian, X.L.; Gui, L.Y.; Wang, F.L.; Zhang, G.H. Functional characterization of two antenna-enriched odorant-binding proteins from Bactrocera minax (Diptera: Tephritidae). J. Econ. Entomol. 2021, 114, 2361–2369. [Google Scholar] [CrossRef]
- Chen, X.F.; Yang, H.; Wu, S.X.; Zhao, W.; Hao, G.F.; Wang, J.J.; Jiang, H.B. BdorOBP69a is involved in the perception of the phenylpropanoid compound methyl eugenol in oriental fruit fly (Bactrocera dorsalis) males. Int. J. Biol. Macromol. 2022, 147, 103801. [Google Scholar] [CrossRef] [PubMed]
- Campanini, E.B.; Congrains, C.; Torres, F.R.; de Brito, R.A. Odorant-binding proteins expression patterns in recently diverged species of Anastrepha fruit flies. Sci. Rep. 2017, 7, 2194. [Google Scholar] [CrossRef] [PubMed]
- Sujatha, P.M.; Karuppannasamy, A.; Chalapathi, P.; Dhawane, Y.; Narasimhappa, N.S.; Narayanappa, A.C.; Munikrishnappa, V.K.T.; Nagaraja, B.C.; Thalooru, S.; Kesavan, S.; et al. CRISPR/Cas9 Ribo nucleoprotein complex-mediated editing of the OBP13 gene affected the response of male Bactrocera dorsalis (Diptera: Tephritidae) to methyl eugenol. J. Appl. Entomol. 2024, 148, 760–771. [Google Scholar] [CrossRef]
- Siciliano, P.; He, X.L.; Woodcock, C.; Pickett, J.A.; Field, L.M.; Birkett, M.A.; Kalinova, B.; Gomulski, L.M.; Scolari, F.; Gasperi, G.; et al. Identification of pheromone components and their binding affinity to the odorant binding protein CcapOBP83a-2 of the Mediterranean fruit fly, Ceratitis capitata. Int. J. Biol. Macromol. 2014, 48, 51–62. [Google Scholar] [CrossRef]
- Zheng, W.W.; Peng, W.; Zhu, C.P.; Zhang, Q.; Saccone, G.; Zhang, H.Y. Identification and expression profile analysis of odorant binding proteins in the oriental fruit fly Bactrocera dorsalis. Int. J. Mol. Sci. 2013, 14, 14936–14949. [Google Scholar] [CrossRef]
- Wang, Z.X.; Qi, Z.H.; Chen, J.; Wang, F.L.; Gui, L.Y.; Zhang, G.H. Molecular characterization of chemosensory protein genes in Bactrocera minax (Diptera: Tephritidae). Entomol. Res. 2021, 51, 349–356. [Google Scholar] [CrossRef]
- Wang, J.J.; Ma, C.; Yue, Y.; Yang, J.; Chen, L.X.; Wang, Y.T.; Zhao, C.C.; Gao, X.; Chen, H.S.; Ma, W.H.; et al. Identification of candidate chemosensory genes in Bactrocera cucurbitae based on antennal transcriptome analysis. Front. Physiol. 2024, 15, 1354530. [Google Scholar] [CrossRef]
- Chen, Y.; Cao, F.; Zou, Y.; Li, Y.; Wen, J.; Fu, Y.; Su, H.; Bai, X.; Xie, X.; Zeng, L.; et al. The Discovery of the potential attractive compounds of Bactrocera dorsalis (Hendel). Horticulturae 2024, 10, 299. [Google Scholar] [CrossRef]
- Lei, Q.; Xu, L.; Tang, K.Y.; Yu, J.; Chen, X.F.; Wu, S.X.; Wang, J.J.; Jiang, H.B. An antenna-enriched chemosensory protein plays important roles in the perception of host plant volatiles in Bactrocera dorsalis (Diptera: Tephritidae). J. Agric. Food Chem. 2024, 72, 2888–2897. [Google Scholar] [CrossRef]
- Cui, Z.Y.; Liu, Y.P.; Wang, G.R.; Zhou, Q. Identification and functional analysis of a chemosensory protein from Bactrocera minax (Diptera: Tephritidae). Pest. Manag. Sci. 2022, 78, 3479–3488. [Google Scholar] [CrossRef]
- Wang, Q.; Zhang, J.; Liu, C.H.; Ru, C.J.; Qian, Q.; Yang, M.H.; Yan, S.C.; Liu, W.; Wang, G.R. Identification of antennal alternative splicing by combining genome and full-length transcriptome analysis in Bactrocera dorsalis. Front. Physiol. 2024, 15, 1384426. [Google Scholar] [CrossRef] [PubMed]
- Liu, Z.; Smagghe, G.; Lei, Z.R.; Wang, J.J. Identification of Male- and Female-Specific Olfaction Genes in Antennae of the Oriental Fruit Fly (Bactrocera dorsalis). PLoS ONE 2016, 11, e0147783. [Google Scholar] [CrossRef] [PubMed]
- Wu, Z.Z.; Kang, C.; Qu, M.Q.; Chen, J.L.; Chen, M.; Bin, S.Y.; Lin, J.T. Candidates for chemosensory genes identified in the Chinese citrus fly, Bactrocera minax, through a transcriptomic analysis. BMC Genom. 2019, 20, 646. [Google Scholar] [CrossRef] [PubMed]
- Wu, Z.Z.; Cui, Y.; Ma, J.; Qu, M.Q.; Lin, J.T. Analyses of chemosensory genes provide insight into the evolution of behavioral differences to phytochemicals in Bactrocera species. Mol. Phylogenet. Evol. 2020, 151, 106858. [Google Scholar] [CrossRef]
- Yin, J.; Wang, C.Q.; Fang, C.Q.; Zhang, S.; Cao, Y.Z.; Li, K.B.; Leal, W.S. Functional characterization of odorant-binding proteins from the scarab beetle Holotrichia oblita based on semiochemical-induced expression alteration and gene silencing. Insect Biochem. Mol. Biol. 2019, 104, 11–19. [Google Scholar] [CrossRef]
- Zeng, J.Q.; Yu, H.; Kjellberg, F. Transcriptome analysis of genes involved in the response of a pollinator fig wasp to volatile organic compounds from its host figs. Acta Oecol. 2018, 90, 91–98. [Google Scholar] [CrossRef]
- Wei, H.S.; Tan, S.Q.; Li, Z.; Li, J.C.; Moural, T.W.; Zhu, F.; Liu, X.X. Odorant degrading carboxylesterases modulate foraging and mating behaviors of Grapholita molesta. Chemosphere 2021, 270, 128647. [Google Scholar] [CrossRef]
- Liu, H.; Zhao, X.F.; Fu, L.; Han, Y.Y.; Chen, J.; Lu, Y.Y. BdorOBP2 plays an indispensable role in the perception of methyl eugenol by mature males of Bactrocera dorsalis (Hendel). Sci. Rep. 2017, 7, 15894. [Google Scholar] [CrossRef]
- Tan, S.Q.; Li, Z.; Wei, H.S.; Li, Z.; Liu, X.X. The Odorant Binding Protein 1 Mediates the Foraging Behavior of Grapholita molesta Larvae. J. Agr. Food Chem. 2024, 72, 116–127. [Google Scholar] [CrossRef]
- Johnstun, J.A. Pleiotropy and Functional Diversification, Redundancy, and Epistasis Among Drosophila melanogaster Chemosensory Paralogs. Ph.D. Thesis, North Carolina State University, Raleigh, NC, USA, 2023. [Google Scholar]
- Ishida, Y.; Ishibashi, J.; Leal, W.S. Fatty Acid Solubilizer from the Oral Disk of the Blowfly. PLoS ONE 2013, 8, e51779. [Google Scholar] [CrossRef]
- Nakamura, A.M.; Chahad-Ehlers, S.; Lima, A.L.A.; Taniguti, H.; Sobrinho, I.; Torres, F.R.; de Brito, R.A. Reference genes for accessing differential expression among developmental stages and analysis of differential expression of OBP genes in Anastrepha obliqua. Sci. Rep. 2016, 6, 17480. [Google Scholar] [CrossRef] [PubMed]
- Grabherr, M.G.; Haas, B.J.; Yassour, M.; Levin, J.; Thompson, D.; Amit, I. Full length transcriptome assembly from RNA Seq data without are ference genome. Nat. Biotechnol. 2011, 29, 644–652. [Google Scholar] [CrossRef] [PubMed]
- Pertea, G.; Huang, X.; Liang, F.; Antonescu, V.; Sultana, R.; Karamycheva, S. TIGR Gene Indices clustering tools (TGICL): A software system for fast clustering of large EST datasets. Bioinformatics 2003, 19, 651652. [Google Scholar] [CrossRef] [PubMed]
- Conesa, A.; Gotz, S.; Garcia Gomez, J.M.; Terol, J.; Talon, M.; Robles, M. Blast2GO: A universal tool for annotation, visualization and analysis in functional genomics research. Bioinformatic 2005, 21, 3674–3676. [Google Scholar] [CrossRef]
- Min, X.J.; Butler, G.; Storms, R.; Tsang, A. OrfPredictor: Predicting protein-coding regions in EST-derived sequences. Nucleic. Acids Res. 2005, 33, W677680. [Google Scholar] [CrossRef]
- Wei, H.S.; Li, K.B.; Zhang, S.; Cao, Y.Z.; Yin, J. Identification of candidate chemosensory genes by transcriptome analysis in Loxostege sticticalis Linnaeus. PLoS ONE 2017, 12, e0174036. [Google Scholar] [CrossRef]
- Larkin, M.A.; Blackshields, G.; Brown, N.P.; Chenna, R.; McGettigan, P.A.; McWilliam, H. Clustal W and Clustal X version 2.0. Bioinformatics 2007, 23, 29472948. [Google Scholar] [CrossRef]











| Sample Comparisons | Total No. of Significantly DEGs | Total No. of Significantly Upregulated DEGs | Total No. of Significantly Downregulated DEGs |
|---|---|---|---|
| CK-HA vs. TM-HA | 27 | 9 | 18 |
| CK-HA vs. CK-OV | 3241 | 1413 | 1828 |
| CK-Legs vs. CK-HA | 2213 | 995 | 1218 |
| CK-Legs vs. TM-Legs | 24 | 22 | 2 |
| CK-Legs vs. CK-OV | 977 | 334 | 643 |
| CK-OV vs. TM-OV | 2 | 1 | 1 |
| TM-HA vs. TM-OV | 3020 | 1414 | 1606 |
| TM-Legs vs. TM-HA | 2668 | 1370 | 1298 |
| TM-Legs vs. TM-OV | 1256 | 546 | 710 |
| Gene Name | Length (nt) | ORF (aa) | Complete ORF | Signal Peptide | BLASTp Best Hit | |||
|---|---|---|---|---|---|---|---|---|
| BLAST Protein Name | Identify (%) | E-Value | Acc. Number | |||||
| NasiPBP6 | 1741 | 157 | Y | Y | pheromone-binding protein-related protein 6 [Ceratitis capitata] | 94.27 | 2.00 × 10−108 | XP_020713726.1 |
| NasiOBP19a | 1125 | 147 | Y | Y | general odorant-binding protein 19a [Ceratitis capitata] | 86.39 | 1.00 × 10−89 | XP_004525026.1 |
| NasiOBP19b | 1408 | 151 | Y | Y | odorant-binding protein 19b [Bactrocera minax] | 60.93 | 3.00 × 10−57 | AYN70630.1 |
| NasiOBP19c | 1659 | 184 | Y | Y | odorant-binding protein 19c [Bactrocera minax] | 73.37 | 7.00 × 10−94 | AYN70631.1 |
| NasiOBP19d1 | 4676 | 147 | Y | Y | general odorant-binding protein 19d [Ceratitis capitata] | 88.73 | 9.00 × 10−88 | XP_004525035.1 |
| NasiOBP19d2 | 1236 | 140 | N | N | general odorant-binding protein 19d [Ceratitis capitata] | 82.73 | 2.00 × 10−79 | XP_004525139.2 |
| NasiOBP28a | 931 | 147 | Y | Y | general odorant-binding protein 28a [Ceratitis capitata] | 89.8 | 3.00 × 10−91 | XP_004525016.1 |
| NasiOBP50c | 1074 | 254 | Y | Y | odorant-binding protein 50c [Bactrocera minax] | 73.75 | 6.00 × 10−128 | AYN70637.1 |
| NasiOBP56a | 697 | 165 | Y | Y | general odorant-binding protein 56a [Ceratitis capitata] | 87.88 | 2.00 × 10−102 | XP_020718149.1 |
| NasiOBP56d | 815 | 137 | Y | Y | general odorant-binding protein 56d [Ceratitis capitata] | 78.20 | 8.00 × 10−61 | XP_004517803.1 |
| NasiOBP56h1 | 1344 | 135 | Y | Y | general odorant-binding protein 56h [Ceratitis capitata] | 77.94 | 8.00 × 10−73 | XP_004517804.1 |
| NasiOBP56h2 | 577 | 123 | Y | Y | general odorant-binding protein 56h-like [Ceratitis capitata] | 72.58 | 7.00 × 10−66 | XP_004518466.2 |
| NasiOBP56h3 | 604 | 139 | Y | Y | general odorant-binding protein 56h-like [Bactrocera oleae] | 56.31 | 2.00 × 10−33 | XP_014102006.2 |
| NasiOBP57c | 1544 | 184 | Y | N | odorant-binding protein 57c [Bactrocera dorsalis] | 64.13 | 4.00 × 10−76 | AKI29013.1 |
| NasiOBP69a | 776 | 147 | Y | Y | general odorant-binding protein 69a precursor [Ceratitis capitata] | 84.35 | 2.00 × 10−89 | NP_001295335.1 |
| NasiOBP83a | 1039 | 148 | Y | Y | general odorant-binding protein 83a precursor [Ceratitis capitata] | 91.22 | 6.00 × 10−95 | NP_001295333.1 |
| NasiOBP84a1 | 984 | 177 | Y | Y | general odorant-binding protein 84a [Ceratitis capitata] | 83.71 | 4.00 × 10−106 | XP_012158643.1 |
| NasiOBP84a2 | 951 | 179 | Y | Y | general odorant-binding protein 84a [Ceratitis capitata] | 74.86 | 2.00 × 10−92 | XP_004529369.1 |
| NasiOBP99a1 | 961 | 142 | Y | Y | general odorant-binding protein 99a [Ceratitis capitata] | 97.89 | 1.00 × 10−96 | XP_004535942.1 |
| NasiOBP99a2 | 1056 | 140 | Y | Y | general odorant-binding protein 99a [Ceratitis capitata] | 94.29 | 2.00 × 10−96 | XP_004523508.1 |
| NasiOBP99a3 | 1170 | 150 | Y | Y | general odorant-binding protein 99a [Ceratitis capitata] | 77.40 | 4.00 × 10−80 | XP_004521186.1 |
| NasiOBP99a4 | 589 | 142 | Y | Y | general odorant-binding protein 99a-like [Ceratitis capitata] | 56.34 | 2.00 × 10−44 | XP_020717484.1 |
| NasiOBP99a5 | 1095 | 115 | N | N | general odorant-binding protein 99a-like [Bactrocera tryoni] | 55.67 | 6.00 × 10−28 | XP_039959060.1 |
| NasiOBP99a6 | 510 | 119 | N | Y | general odorant-binding protein 99a [Ceratitis capitata] | 83.67 | 5.00 × 10−53 | XP_004521183.1 |
| NasiOBP99a7 | 371 | 71 | N | N | general odorant-binding protein 99a [Ceratitis capitata] | 86.79 | 7.00 × 10−25 | XP_004521183.1 |
| NasiOBP99a8 | 2503 | 162 | Y | Y | general odorant-binding protein 99a [Ceratitis capitata] | 90.74 | 3.00 × 10−109 | XP_004521185.1 |
| NasiOBP A5.1 | 887 | 206 | Y | Y | putative odorant-binding protein A5 [Ceratitis capitata] | 92.72 | 1.00 × 10−138 | XP_004531311.1 |
| NasiOBP A5.2 | 752 | 207 | Y | Y | putative odorant-binding protein A5 [Ceratitis capitata] | 85.99 | 2.00 × 10−133 | XP_004531312.1 |
| NasiCSP1 | 904 | 120 | Y | Y | chemosensory protein 3 [Bactrocera minax] | 85.12 | 2.00 × 10−67 | QOC63332.1 |
| NasiCSP2 | 3619 | 137 | Y | Y | chemosensory protein 2 [Bactrocera minax] | 90.55 | 8.00 × 10−79 | AYN70622.1 |
| NasiCSP3 | 2657 | 153 | Y | Y | chemosensory protein 3 [Bactrocera dorsalis] | 81.12 | 4.00 × 10−83 | AKI28977.1 |
| NasiCSP4 | 3186 | 111 | Y | Y | chemosensory protein 4 [Bactrocera minax] | 87.27 | 1.00 × 10−61 | AYN70623.1 |
Disclaimer/Publisher’s Note: The statements, opinions and data contained in all publications are solely those of the individual author(s) and contributor(s) and not of MDPI and/or the editor(s). MDPI and/or the editor(s) disclaim responsibility for any injury to people or property resulting from any ideas, methods, instructions or products referred to in the content. |
© 2024 by the authors. Licensee MDPI, Basel, Switzerland. This article is an open access article distributed under the terms and conditions of the Creative Commons Attribution (CC BY) license (https://creativecommons.org/licenses/by/4.0/).
Share and Cite
Wei, H.; Liu, K.; Zhang, J.; Guo, K.; Liu, S.; Xu, C.; Qiao, H.; Tan, S. Young Goji Fruit Volatiles Regulate the Oviposition Behavior and Chemosensory Gene Expression of Gravid Female Neoceratitis asiatica. Int. J. Mol. Sci. 2024, 25, 13249. https://doi.org/10.3390/ijms252413249
Wei H, Liu K, Zhang J, Guo K, Liu S, Xu C, Qiao H, Tan S. Young Goji Fruit Volatiles Regulate the Oviposition Behavior and Chemosensory Gene Expression of Gravid Female Neoceratitis asiatica. International Journal of Molecular Sciences. 2024; 25(24):13249. https://doi.org/10.3390/ijms252413249
Chicago/Turabian StyleWei, Hongshuang, Kexin Liu, Jingyi Zhang, Kun Guo, Sai Liu, Changqing Xu, Haili Qiao, and Shuqian Tan. 2024. "Young Goji Fruit Volatiles Regulate the Oviposition Behavior and Chemosensory Gene Expression of Gravid Female Neoceratitis asiatica" International Journal of Molecular Sciences 25, no. 24: 13249. https://doi.org/10.3390/ijms252413249
APA StyleWei, H., Liu, K., Zhang, J., Guo, K., Liu, S., Xu, C., Qiao, H., & Tan, S. (2024). Young Goji Fruit Volatiles Regulate the Oviposition Behavior and Chemosensory Gene Expression of Gravid Female Neoceratitis asiatica. International Journal of Molecular Sciences, 25(24), 13249. https://doi.org/10.3390/ijms252413249

