Expression of Reversion-Inducing Cysteine-Rich Protein with Kazal Motifs (RECK) Gene and Its Regulation by miR200b in Ovarian Endometriosis
Abstract
1. Introduction
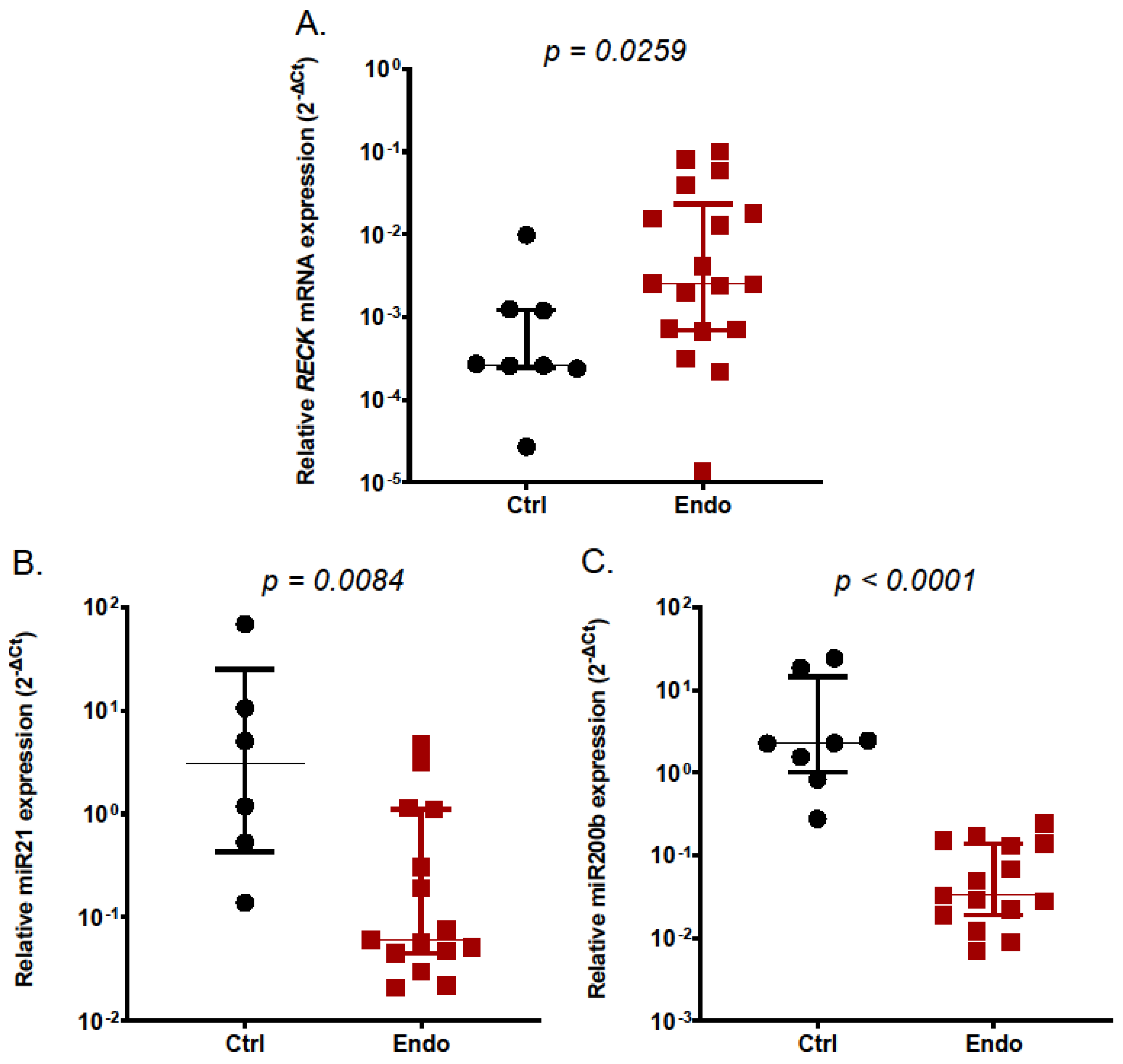
2. Results
3. Discussion
4. Materials and Methods
4.1. Patients and Tissue Collection
4.2. Cell Culture
4.3. RNA Isolation from Donor Tissue and Cell Cultures
4.4. Quantitative Reverse Transcription Polymerase Chain Reaction (qRT-PCR)
4.5. Cloning and Mutagenesis of 3′UTR of RECK Gene
4.6. Luciferase Reporter Assay
4.7. Transfection with microRNA Mimics and Inhibitors
4.8. Statistical Analysis
5. Conclusions
Author Contributions
Funding
Institutional Review Board Statement
Informed Consent Statement
Data Availability Statement
Conflicts of Interest
References
- Giudice, L.C.; Kao, L.C. Endometriosis. Lancet 2004, 364, 1789–1799. [Google Scholar] [CrossRef]
- Zondervan, K.T.; Becker, C.M.; Missmer, S.A. Endometriosis. N. Engl. J. Med. 2020, 382, 1244–1256. [Google Scholar] [CrossRef]
- Sampson, J.A. Peritoneal Endometriosis Due to the Menstrual Dissemination of Endometrial Tissue into the Peritoneal Cavity. Am. J. Obstet. Gynecol. 1927, 14, 422–469. [Google Scholar] [CrossRef]
- Nisolle, M.; Donnez, J. Peritoneal Endometriosis, Ovarian Endometriosis, and Adenomyotic Nodules of the Rectovaginal Septum Are Three Different Entities. Fertil. Steril. 1997, 68, 585–596. [Google Scholar] [CrossRef]
- Riccio, L.D.G.C.; Santulli, P.; Marcellin, L.; Abrão, M.S.; Batteux, F.; Chapron, C. Immunology of Endometriosis. Best Pract. Res. Clin. Obstet. Gynaecol. 2018, 50, 39–49. [Google Scholar] [CrossRef]
- Ścieżyńska, A.; Komorowski, M.; Soszyńska, M.; Malejczyk, J. NK Cells as Potential Targets for Immunotherapy in Endometriosis. J. Clin. Med. 2019, 8, 1468. [Google Scholar] [CrossRef]
- Matarese, G.; De Placido, G.; Nikas, Y.; Alviggi, C. Pathogenesis of Endometriosis: Natural Immunity Dysfunction or Autoimmune Disease? Trends Mol. Med. 2003, 9, 223–228. [Google Scholar] [CrossRef]
- Garcia-Velasco, J.A.; Arici, A. Apoptosis and the Pathogenesis of Endometriosis. Semin. Reprod. Med. 2003, 21, 165–172. [Google Scholar] [CrossRef]
- Reis, F.M.; Petraglia, F.; Taylor, R.N. Endometriosis: Hormone Regulation and Clinical Consequences of Chemotaxis and Apoptosis. Hum. Reprod. Update 2013, 19, 406–418. [Google Scholar] [CrossRef]
- Witz, C.A. Cell Adhesion Molecules and Endometriosis. Semin. Reprod. Med. 2003, 21, 173–182. [Google Scholar] [CrossRef]
- Klemmt, P.A.B.; Carver, J.G.; Koninckx, P.; McVeigh, E.J.; Mardon, H.J. Endometrial Cells from Women with Endometriosis Have Increased Adhesion and Proliferative Capacity in Response to Extracellular Matrix Components: Towards a Mechanistic Model for Endometriosis Progression. Hum. Reprod. 2007, 22, 3139–3147. [Google Scholar] [CrossRef]
- Osteen, K.G.; Yeaman, G.R.; Bruner-Tran, K.L. Matrix Metalloproteinases and Endometriosis. Semin. Reprod. Med. 2003, 21, 155–164. [Google Scholar] [CrossRef]
- Wu, T.; Zhang, R.; Jiang, Q.; Li, Z.; Wu, R. Expression of Cellular Adherent and Invasive Molecules in Recurrent Ovarian Endometriosis. J. Int. Med. Res. 2020, 48, 030006052097199. [Google Scholar] [CrossRef]
- Gazvani, R.; Templeton, A. Peritoneal Environment, Cytokines and Angiogenesis in the Pathophysiology of Endometriosis. Reproduction 2002, 123, 217–226. [Google Scholar] [CrossRef]
- Rocha, A.L.L.; Reis, F.M.; Taylor, R.N. Angiogenesis and Endometriosis. Obstet. Gynecol. Int. 2013, 2013, 1–8. [Google Scholar] [CrossRef]
- Hey-Cunningham, A.J. Angiogenesis Lymphangiogenesis and Neurogenesis in Endometriosis. Front. Biosci. 2013, E5, 1033–1056. [Google Scholar] [CrossRef]
- Cui, N.; Hu, M.; Khalil, R.A. Biochemical and Biological Attributes of Matrix Metalloproteinases. In Progress in Molecular Biology and Translational Science; Elsevier: Amsterdam, The Netherlands, 2017; Volume 147, pp. 1–73. ISBN 978-0-12-811637-1. [Google Scholar]
- Wang, X.; Khalil, R.A. Matrix Metalloproteinases, Vascular Remodeling, and Vascular Disease. In Advances in Pharmacology; Elsevier: Amsterdam, The Netherlands, 2018; Volume 81, pp. 241–330. ISBN 978-0-12-812151-1. [Google Scholar]
- Visse, R.; Nagase, H. Matrix Metalloproteinases and Tissue Inhibitors of Metalloproteinases: Structure, Function, and Biochemistry. Circ. Res. 2003, 92, 827–839. [Google Scholar] [CrossRef]
- Nagase, H.; Visse, R.; Murphy, G. Structure and Function of Matrix Metalloproteinases and TIMPs. Cardiovasc. Res. 2006, 69, 562–573. [Google Scholar] [CrossRef]
- Bałkowiec, M.; Maksym, R.; Włodarski, P. The Bimodal Role of Matrix Metalloproteinases and Their Inhibitors in Etiology and Pathogenesis of Endometriosis (Review). Mol. Med. Rep. 2018, 18, 3123–3136. [Google Scholar] [CrossRef]
- Barbe, A.M.; Berbets, A.M.; Davydenko, I.S.; Koval, H.D.; Yuzko, V.O.; Yuzko, O.M. Expression and Significance of Matrix Metalloproteinase-2 and Matrix Metalloproteinas-9 in Endometriosis. J. Med. Life 2020, 13, 314–320. [Google Scholar] [CrossRef]
- Luddi, A.; Marrocco, C.; Governini, L.; Semplici, B.; Pavone, V.; Luisi, S.; Petraglia, F.; Piomboni, P. Expression of Matrix Metalloproteinases and Their Inhibitors in Endometrium: High Levels in Endometriotic Lesions. Int. J. Mol. Sci. 2020, 21, 2840. [Google Scholar] [CrossRef]
- Harada, T. The Role of NF-kappaB in Endometriosis. Front. Biosci. 2012, S4, 1213–1234. [Google Scholar] [CrossRef][Green Version]
- Jana, S.; Chatterjee, K.; Ray, A.K.; DasMahapatra, P.; Swarnakar, S. Regulation of Matrix Metalloproteinase-2 Activity by COX-2-PGE2-pAKT Axis Promotes Angiogenesis in Endometriosis. PLoS ONE 2016, 11, e0163540. [Google Scholar] [CrossRef]
- Wick, W.; Platten, M.; Weller, M. Glioma cell invasion: Regulation of metalloproteinase activity by TGF-β. J. Neuro-Oncol. 2001, 53, 177–185. [Google Scholar] [CrossRef]
- Gaide Chevronnay, H.P.; Selvais, C.; Emonard, H.; Galant, C.; Marbaix, E.; Henriet, P. Regulation of Matrix Metalloproteinases Activity Studied in Human Endometrium as a Paradigm of Cyclic Tissue Breakdown and Regeneration. Biochim. Et Biophys. Acta (BBA)—Proteins Proteom. 2012, 1824, 146–156. [Google Scholar] [CrossRef]
- Chung, H.W.; Lee, J.Y.; Moon, H.-S.; Hur, S.E.; Park, M.H.; Wen, Y.; Polan, M.L. Matrix Metalloproteinase-2, Membranous Type 1 Matrix Metalloproteinase, and Tissue Inhibitor of Metalloproteinase-2 Expression in Ectopic and Eutopic Endometrium. Fertil. Steril. 2002, 78, 787–795. [Google Scholar] [CrossRef]
- Mizumoto, H.; Saito, T.; Ashihara, K.; Nishimura, M.; Takehara, M.; Tanaka, R.; Ito, E.; Kudo, R. Expression of Matrix Metalloproteinases in Ovarian Endometriomas: Immunohistochemical Study and Enzyme Immunoassay. Life Sci. 2002, 71, 259–273. [Google Scholar] [CrossRef]
- Szamatowicz, J. Matrix Metalloproteinase-9 and Tissue Inhibitor of Matrix Metalloproteinase-1: A Possible Role in the Pathogenesis of Endometriosis. Hum. Reprod. 2002, 17, 284–288. [Google Scholar] [CrossRef]
- Wu, M.; Hsiao, K.; Tsai, S. Hypoxia: The Force of Endometriosis. J. Obstet. Gynaecol. 2019, 45, 532–541. [Google Scholar] [CrossRef]
- Maksym, R.B.; Hoffmann-Młodzianowska, M.; Skibińska, M.; Rabijewski, M.; Mackiewicz, A.; Kieda, C. Immunology and Immunotherapy of Endometriosis. J. Clin. Med. 2021, 10, 5879. [Google Scholar] [CrossRef]
- Takahashi, C.; Sheng, Z.; Horan, T.P.; Kitayama, H.; Maki, M.; Hitomi, K.; Kitaura, Y.; Takai, S.; Sasahara, R.M.; Horimoto, A.; et al. Regulation of Matrix Metalloproteinase-9 and Inhibition of Tumor Invasion by the Membrane-Anchored Glycoprotein RECK. Proc. Natl. Acad. Sci. USA 1998, 95, 13221–13226. [Google Scholar] [CrossRef]
- Noda, M.; Oh, J.; Takahashi, R.; Kondo, S.; Kitayama, H.; Takahashi, C. RECK: A novel suppressor of malignancy linking oncogenic signaling to extracellular matrix remodeling. Cancer Metastasis Rev. 2003, 22, 167–175. [Google Scholar] [CrossRef]
- Clark, J.C.M.; Thomas, D.M.; Choong, P.F.M.; Dass, C.R. RECK—A Newly Discovered Inhibitor of Metastasis with Prognostic Significance in Multiple Forms of Cancer. Cancer Metastasis. Rev. 2007, 26, 675–683. [Google Scholar] [CrossRef]
- Alexius-Lindgren, M.; Andersson, E.; Lindstedt, I.; Engström, W. The RECK Gene and Biological Malignancy—Its Significance in Angiogenesis and Inhibition of Matrix Metalloproteinases. Anticancer Res. 2014, 34, 3867–3873. [Google Scholar]
- Meng, N.; Li, Y.; Zhang, H.; Sun, X.F. RECK, a Novel Matrix Metalloproteinase Regulator. Histol. Histopathol. 2008, 23, 1003–1010. [Google Scholar] [CrossRef]
- Oh, J.; Takahashi, R.; Kondo, S.; Mizoguchi, A.; Adachi, E.; Sasahara, R.M.; Nishimura, S.; Imamura, Y.; Kitayama, H.; Alexander, D.B.; et al. The Membrane-Anchored MMP Inhibitor RECK Is a Key Regulator of Extracellular Matrix Integrity and Angiogenesis. Cell 2001, 107, 789–800. [Google Scholar] [CrossRef]
- Edwards, D.; Handsley, M.; Pennington, C. The ADAM Metalloproteinases. Mol. Asp. Med. 2008, 29, 258–289. [Google Scholar] [CrossRef]
- Saftig, P.; Reiss, K. The “A Disintegrin And Metalloproteases” ADAM10 and ADAM17: Novel Drug Targets with Therapeutic Potential? Eur. J. Cell Biol. 2011, 90, 527–535. [Google Scholar] [CrossRef]
- Alabi, R.O.; Farber, G.; Blobel, C.P. Intriguing Roles for Endothelial ADAM10/Notch Signaling in the Development of Organ-Specific Vascular Beds. Physiol. Rev. 2018, 98, 2025–2061. [Google Scholar] [CrossRef]
- Gutiérrez, J.; Droppelmann, C.A.; Salsoso, R.; Westermeier, F.; Toledo, F.; Salomon, C.; Sanhueza, C.; Pardo, F.; Leiva, A.; Sobrevia, L. A Hypothesis for the Role of RECK in Angiogenesis. Curr. Vasc. Pharmacol. 2015, 14, 106–115. [Google Scholar] [CrossRef]
- Mendell, J.T.; Olson, E.N. MicroRNAs in Stress Signaling and Human Disease. Cell 2012, 148, 1172–1187. [Google Scholar] [CrossRef] [PubMed]
- Di Leva, G.; Garofalo, M.; Croce, C.M. MicroRNAs in Cancer. Annu. Rev. Pathol. 2014, 9, 287–314. [Google Scholar] [CrossRef] [PubMed]
- Sayed, D.; Abdellatif, M. MicroRNAs in Development and Disease. Physiol. Rev. 2011, 91, 827–887. [Google Scholar] [CrossRef] [PubMed]
- Beermann, J.; Piccoli, M.-T.; Viereck, J.; Thum, T. Non-Coding RNAs in Development and Disease: Background, Mechanisms, and Therapeutic Approaches. Physiol. Rev. 2016, 96, 1297–1325. [Google Scholar] [CrossRef]
- Ohlsson Teague, E.M.C.; Print, C.G.; Hull, M.L. The Role of microRNAs in Endometriosis and Associated Reproductive Conditions. Hum. Reprod. Update 2010, 16, 142–165. [Google Scholar] [CrossRef]
- Pan, Y.; Liang, H.; Chen, W.; Zhang, H.; Wang, N.; Wang, F.; Zhang, S.; Liu, Y.; Zhao, C.; Yan, X.; et al. microRNA-200b and microRNA-200c Promote Colorectal Cancer Cell Proliferation via Targeting the Reversion-Inducing Cysteine-Rich Protein with Kazal Motifs. RNA Biol. 2015, 12, 276–289. [Google Scholar] [CrossRef]
- Bai, T.; Dong, D.-S.; Pei, L. Synergistic Antitumor Activity of Resveratrol and miR-200c in Human Lung Cancer. Oncol. Rep. 2014, 31, 2293–2297. [Google Scholar] [CrossRef]
- Li, P.; Cheng, Y.; Zhang, X.; Li, P.; Yang, C.; Tang, J.; Deng, X.; Yang, X.; Tao, J.; Lu, Q. MiR-200c Promotes Bladder Cancer Cell Migration and Invasion by Directly Targeting RECK. OncoTargets Ther. 2016, 9, 5091–5099. [Google Scholar] [CrossRef]
- Gabriely, G.; Wurdinger, T.; Kesari, S.; Esau, C.C.; Burchard, J.; Linsley, P.S.; Krichevsky, A.M. MicroRNA 21 Promotes Glioma Invasion by Targeting Matrix Metalloproteinase Regulators. Mol. Cell. Biol. 2008, 28, 5369–5380. [Google Scholar] [CrossRef]
- Han, L.; Yue, X.; Zhou, X.; Lan, F.; You, G.; Zhang, W.; Zhang, K.; Zhang, C.; Cheng, J.; Yu, S.; et al. MicroRNA-21 Expression Is Regulated by Β-catenin/STAT3 Pathway and Promotes Glioma Cell Invasion by Direct Targeting RECK. CNS Neurosci. Ther. 2012, 18, 573–583. [Google Scholar] [CrossRef]
- Jung, H.M.; Phillips, B.L.; Patel, R.S.; Cohen, D.M.; Jakymiw, A.; Kong, W.W.; Cheng, J.Q.; Chan, E.K.L. Keratinization-Associated miR-7 and miR-21 Regulate Tumor Suppressor Reversion-Inducing Cysteine-Rich Protein with Kazal Motifs (RECK) in Oral Cancer. J. Biol. Chem. 2012, 287, 29261–29272. [Google Scholar] [CrossRef]
- Zhang, Z.; Li, Z.; Gao, C.; Chen, P.; Chen, J.; Liu, W.; Xiao, S.; Lu, H. miR-21 Plays a Pivotal Role in Gastric Cancer Pathogenesis and Progression. Lab. Investig. 2008, 88, 1358–1366. [Google Scholar] [CrossRef]
- Leite, K.R.M.; Reis, S.T.; Viana, N.; Morais, D.R.; Moura, C.M.; Silva, I.A.; Pontes, J., Jr.; Katz, B.; Srougi, M. Controlling RECK miR21 Promotes Tumor Cell Invasion and Is Related to Biochemical Recurrence in Prostate Cancer. J. Cancer 2015, 6, 292–301. [Google Scholar] [CrossRef]
- Chen, M.; Liu, Y.; Varley, P.; Chang, Y.; He, X.; Huang, H.; Tang, D.; Lotze, M.T.; Lin, J.; Tsung, A. High-Mobility Group Box 1 Promotes Hepatocellular Carcinoma Progression through miR-21–Mediated Matrix Metalloproteinase Activity. Cancer Res. 2015, 75, 1645–1656. [Google Scholar] [CrossRef]
- Zhou, L.; Yang, Z.-X.; Song, W.-J.; Li, Q.-J.; Yang, F.; Wang, D.-S.; Zhang, N.; Dou, K.-F. MicroRNA-21 Regulates the Migration and Invasion of a Stem-like Population in Hepatocellular Carcinoma. Int. J. Oncol. 2013, 43, 661–669. [Google Scholar] [CrossRef]
- Zhao, W.; Dong, Y.; Wu, C.; Ma, Y.; Jin, Y.; Ji, Y. MiR-21 Overexpression Improves Osteoporosis by Targeting RECK. Mol. Cell Biochem. 2015, 405, 125–133. [Google Scholar] [CrossRef]
- Siddesha, J.M.; Valente, A.J.; Yoshida, T.; Sakamuri, S.S.V.P.; Delafontaine, P.; Iba, H.; Noda, M.; Chandrasekar, B. Docosahexaenoic Acid Reverses Angiotensin II-Induced RECK Suppression and Cardiac Fibroblast Migration. Cell. Signal. 2014, 26, 933–941. [Google Scholar] [CrossRef]
- Das, N.A.; Carpenter, A.J.; Belenchia, A.; Aroor, A.R.; Noda, M.; Siebenlist, U.; Chandrasekar, B.; DeMarco, V.G. Empagliflozin Reduces High Glucose-Induced Oxidative Stress and miR-21-Dependent TRAF3IP2 Induction and RECK Suppression, and Inhibits Human Renal Proximal Tubular Epithelial Cell Migration and Epithelial-to-Mesenchymal Transition. Cell. Signal. 2020, 68, 109506. [Google Scholar] [CrossRef]
- Eggers, J.C.; Martino, V.; Reinbold, R.; Schäfer, S.D.; Kiesel, L.; Starzinski-Powitz, A.; Schüring, A.N.; Kemper, B.; Greve, B.; Götte, M. microRNA miR-200b Affects Proliferation, Invasiveness and Stemness of Endometriotic Cells by Targeting ZEB1, ZEB2 and KLF4. Reprod. BioMedicine Online 2016, 32, 434–445. [Google Scholar] [CrossRef]
- Ohlsson Teague, E.M.C.; Van Der Hoek, K.H.; Van Der Hoek, M.B.; Perry, N.; Wagaarachchi, P.; Robertson, S.A.; Print, C.G.; Hull, L.M. MicroRNA-Regulated Pathways Associated with Endometriosis. Mol. Endocrinol. 2009, 23, 265–275. [Google Scholar] [CrossRef]
- Filigheddu, N.; Gregnanin, I.; Porporato, P.E.; Surico, D.; Perego, B.; Galli, L.; Patrignani, C.; Graziani, A.; Surico, N. Differential Expression of MicroRNAs between Eutopic and Ectopic Endometrium in Ovarian Endometriosis. J. Biomed. Biotechnol. 2010, 2010, 369549. [Google Scholar] [CrossRef] [PubMed]
- Hawkins, S.M.; Creighton, C.J.; Han, D.Y.; Zariff, A.; Anderson, M.L.; Gunaratne, P.H.; Matzuk, M.M. Functional MicroRNA Involved in Endometriosis. Mol. Endocrinol. 2011, 25, 821–832. [Google Scholar] [CrossRef] [PubMed]
- Zeitvogel, A.; Baumann, R.; Starzinski-Powitz, A. Identification of an Invasive, N-Cadherin-Expressing Epithelial Cell Type in Endometriosis Using a New Cell Culture Model. Am. J. Pathol. 2001, 159, 1839–1852. [Google Scholar] [CrossRef]
- Lee, J.-W.; Park, Y.-A.; Choi, J.-J.; Lee, Y.Y.; Kim, C.-J.; Choi, C.; Kim, T.-J.; Lee, N.W.; Kim, B.-G.; Bae, D.-S. The Expression of the miRNA-200 Family in Endometrial Endometrioid Carcinoma. Gynecol. Oncol. 2011, 120, 56–62. [Google Scholar] [CrossRef]
- Lu, J.; Zhang, X.; Zhang, R.; Ge, Q. MicroRNA Heterogeneity in Endometrial Cancer Cell Lines Revealed by Deep Sequencing. Oncol. Lett. 2015, 10, 3457–3465. [Google Scholar] [CrossRef]








| Control | Endometriosis | ||
|---|---|---|---|
| Number of cases (N) | 8 | 14 | |
| Age, years (mean ± SD) | 35.2 ± 6.40 | 31.9 ± 5.53 * | |
| rASRM | I/II (minimal/mild) | NA | 2 (14.3%) |
| III/IV (moderate/severe) | NA | 12 (85.7%) | |
| Lesion localization | Ovarian | NA | 14 (100%) |
| Peritoneal | NA | 12 (85.7%) | |
| Both | NA | 12 (85.7%) | |
| Primer Name | Primer Sequence | Construct Name |
|---|---|---|
| Cloning | ||
| FSacI | 5′-TCTGAGCTCATCATTTCCCAGGTACAG-3′ | wt RECK-3′UTR-pMIR |
| RNotI | 5′-GCAGCGGCCGCAGCTCACCTAAGGG-3′ | |
| Mutagenesis | ||
| 3Re21F | 5′-GTGTTTCACAGTTTGAAATATGCTATTTGATGTAATACTTC-3′ | RECK-3′UTR-pMIRmiR21 * |
| 3Re21R | 5′-GAAGTATTACATCAAATAGCATATTTCAAACTGTGAAACAC-3′ | |
| 3Re200F1 | 5′-CCTCTATTCGCCACACAGAATTTTTTTTTTTAATCC-3′ | RECK-3′UTR-pMIRmiR200×2 * |
| 3Re200R1 | 5′-GGATTAAAAAAAAAAATTCTGTGTGGCGAATAGAGG-3′ | |
| 3Re200F2 | 5′-CATGAAGTATTTTTTCAGAATTATATGTACCCTCTG-3′ | |
| 3Re200R2 | 5′-CAGAGGGTACATATAATTCTGAAAAAATACTTCATG-3′ |
| Type of Oligo Rna | Assay ID |
|---|---|
| miRVana® microRNA mimic, hsa-miR21-3p | MC12979 |
| miRVana® microRNA mimic, hsa-miR200b-3p | MC10492 |
| miRVana™ microRNA Mimic, Negative Control #1 | --- |
| miRVana® microRNA inhibitor, hsa-miR21-3p | MH12979 |
| miRVana® microRNA inhibitor, hsa-miR200b-3p | MH10492 |
| miRVana™ microRNA Inhibitor, Negative Control #1 | --- |
Disclaimer/Publisher’s Note: The statements, opinions and data contained in all publications are solely those of the individual author(s) and contributor(s) and not of MDPI and/or the editor(s). MDPI and/or the editor(s) disclaim responsibility for any injury to people or property resulting from any ideas, methods, instructions or products referred to in the content. |
© 2024 by the authors. Licensee MDPI, Basel, Switzerland. This article is an open access article distributed under the terms and conditions of the Creative Commons Attribution (CC BY) license (https://creativecommons.org/licenses/by/4.0/).
Share and Cite
Gozdz, A.; Maksym, R.B.; Ścieżyńska, A.; Götte, M.; Kieda, C.; Włodarski, P.K.; Malejczyk, J. Expression of Reversion-Inducing Cysteine-Rich Protein with Kazal Motifs (RECK) Gene and Its Regulation by miR200b in Ovarian Endometriosis. Int. J. Mol. Sci. 2024, 25, 11594. https://doi.org/10.3390/ijms252111594
Gozdz A, Maksym RB, Ścieżyńska A, Götte M, Kieda C, Włodarski PK, Malejczyk J. Expression of Reversion-Inducing Cysteine-Rich Protein with Kazal Motifs (RECK) Gene and Its Regulation by miR200b in Ovarian Endometriosis. International Journal of Molecular Sciences. 2024; 25(21):11594. https://doi.org/10.3390/ijms252111594
Chicago/Turabian StyleGozdz, Agata, Radosław B. Maksym, Aneta Ścieżyńska, Martin Götte, Claudine Kieda, Paweł K. Włodarski, and Jacek Malejczyk. 2024. "Expression of Reversion-Inducing Cysteine-Rich Protein with Kazal Motifs (RECK) Gene and Its Regulation by miR200b in Ovarian Endometriosis" International Journal of Molecular Sciences 25, no. 21: 11594. https://doi.org/10.3390/ijms252111594
APA StyleGozdz, A., Maksym, R. B., Ścieżyńska, A., Götte, M., Kieda, C., Włodarski, P. K., & Malejczyk, J. (2024). Expression of Reversion-Inducing Cysteine-Rich Protein with Kazal Motifs (RECK) Gene and Its Regulation by miR200b in Ovarian Endometriosis. International Journal of Molecular Sciences, 25(21), 11594. https://doi.org/10.3390/ijms252111594

