Antioxidant Systems and Quality in Sweet Cherries Are Improved by Preharvest GABA Treatments Leading to Delay Postharvest Senescence
Abstract
:1. Introduction
2. Results
2.1. Sweet Cherry Quality Parameters during Storage
2.2. Phenolic and Anthocyanin Concentrations during Storage
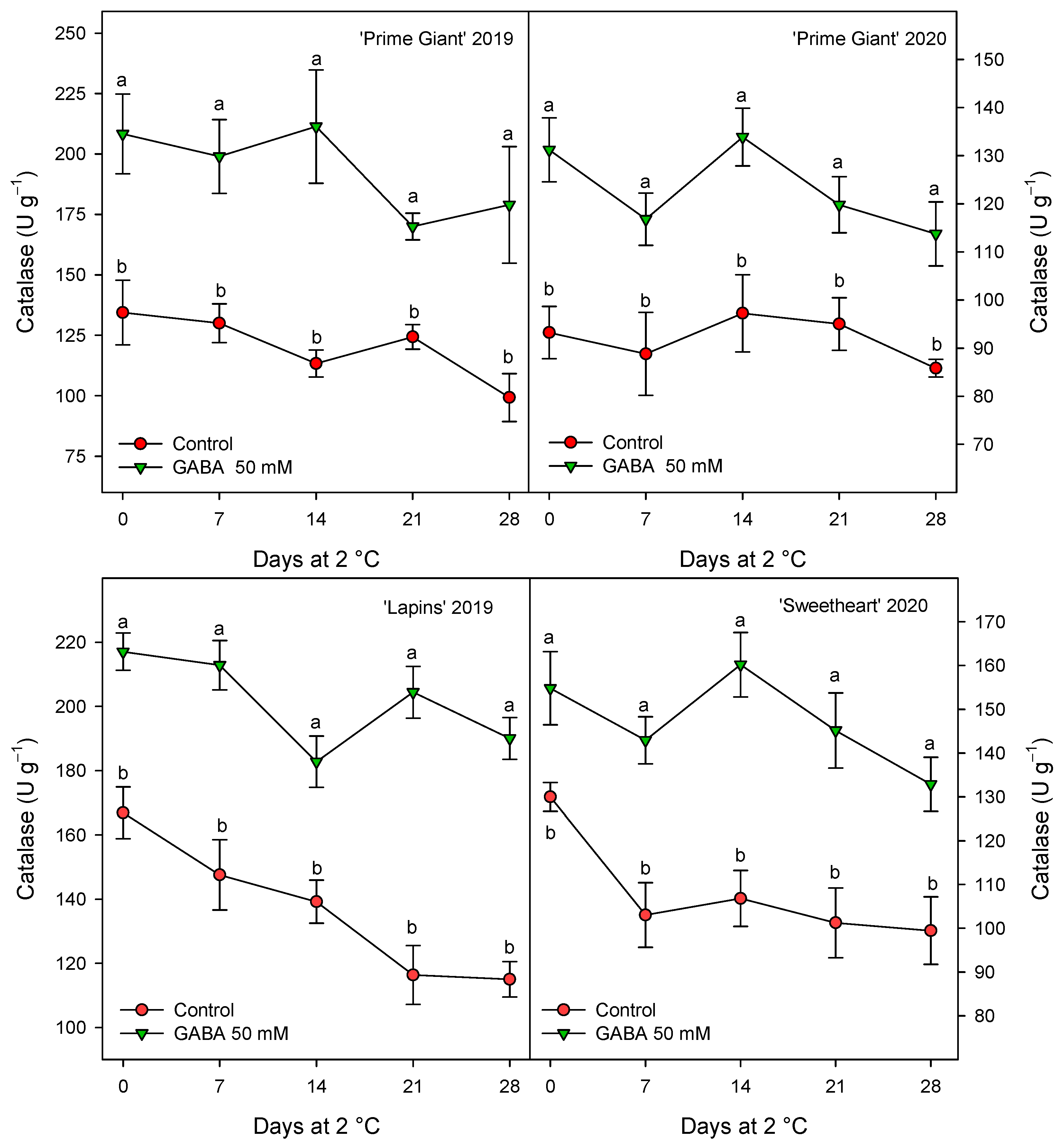
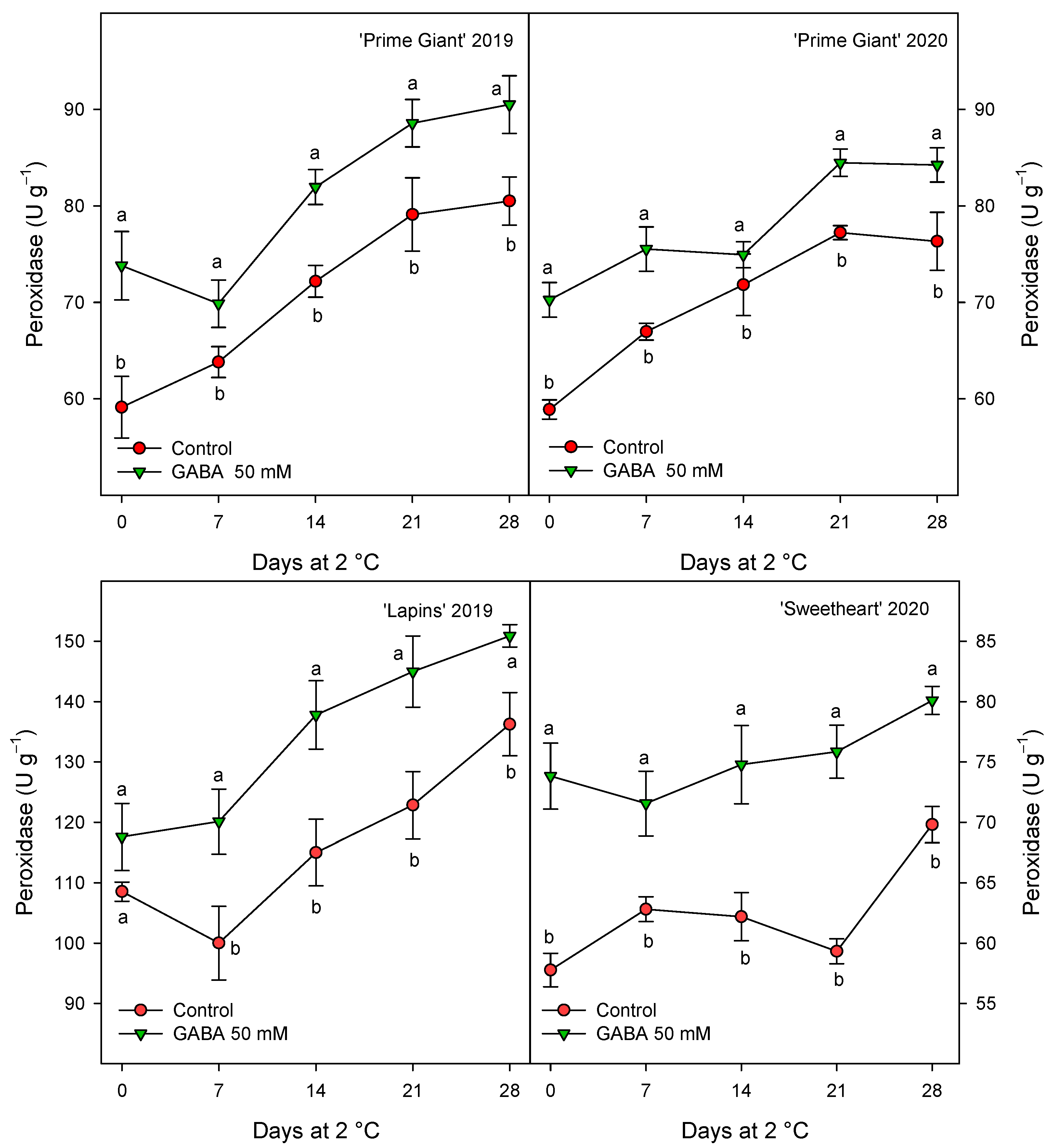
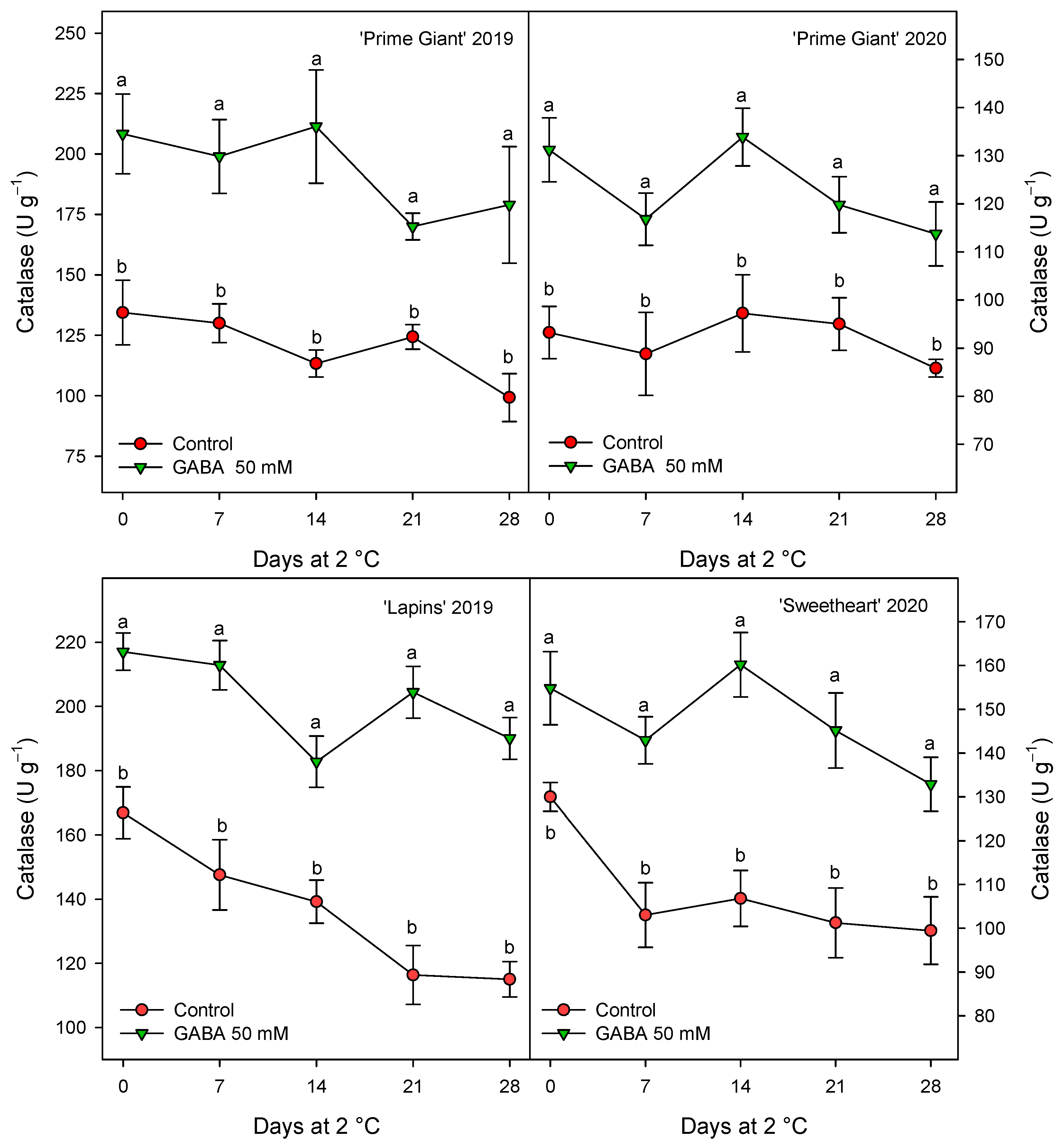
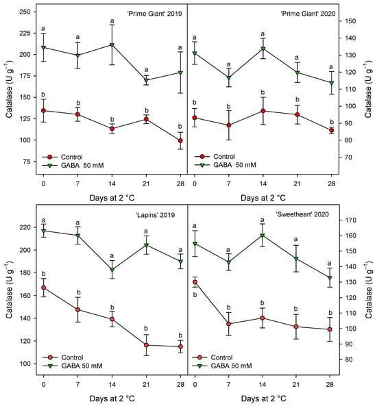
2.3. Antioxidant Enzymes
3. Discussion
4. Materials and Methods
4.1. Plant Material and GABA Treatments
4.2. Fruit Quality Parameter Measures
4.3. Measures of Total Phenolic Compounds and Total and Individual Anthocyanins
4.4. Determination of Antioxidant Enzyme Activities
4.5. Statistical Analysis
5. Conclusions
Author Contributions
Funding
Data Availability Statement
Acknowledgments
Conflicts of Interest
References
- Díaz-Mula, H.M.; Castillo, S.; Martínez-Romero, D.; Valero, D.; Zapata, P.J.; Guillén, F.; Serrano, M. Sensory, nutritive and functional properties of sweet cherry as affected by cultivar and ripening stage. Food Sci. Technol. Int. 2009, 15, 535–543. [Google Scholar] [CrossRef]
- Martínez-Esplá, A.; Zapata, P.J.; Valero, D.; García-Viguera, C.; Castillo, S.; Serrano, M. Preharvest application of oxalic acid increased fruit size, bioactive compounds, and antioxidant capacity in sweet cherry cultivars (Prunus avium L.). J. Agric. Food Chem. 2014, 62, 3432–3437. [Google Scholar] [CrossRef] [PubMed]
- Ricardo-Rodrigues, S.; Laranjo, M.; Agulheiro-Santos, A.C. Methods for quality evaluation of sweet cherry. J. Sci. Food Agric. 2023, 103, 463–478. [Google Scholar] [CrossRef] [PubMed]
- Usenik, V.; Fabčič, J.; Štampar, F. Sugars, organic acids, phenolic composition and antioxidant activity of sweet cherry (Prunus avium L.). Food Chem. 2008, 107, 185–192. [Google Scholar] [CrossRef]
- McCune, L.M.; Kubota, C.; Stendell-Hollins, N.R.; Thomson, C.A. Cherries and health: A review. Crit. Rev. Food Sci. Nutr. 2011, 51, 1–12. [Google Scholar] [CrossRef]
- Blando, F.; Oomah, B.D. Sweet and sour cherries: Origin, distribution, nutritional composition and health benefits. Trends Food Sci. Technol. 2019, 86, 517–529. [Google Scholar] [CrossRef]
- Faienza, M.F.; Corbo, F.; Carocci, A.; Catalano, A.; Clodoveo, M.L.; Grano, M.; Wang, D.Q.-H.; D’Amato, G.; Muraglia, M.; Franchini, C.; et al. Novel insights in health-promoting properties of sweet cherries. J. Funct. Foods 2020, 69, 103945. [Google Scholar] [CrossRef]
- Correia, S.; Schouten, R.; Silva, A.P.; Gonçalves, B. Factors affecting quality and health promoting compounds during growth and postharvest life of sweet cherry (Prunus avium L.). Front. Plant Sci. 2017, 8, 2166. [Google Scholar] [CrossRef]
- Serrano, M.; Díaz-Mula, H.; Zapata, P.J.; Castillo, S.; Guilleìn, F.; Martínez-Romero, D.; Valverde, J.M.; Valero, D. Maturity stage at harvest determines the fruit quality and antioxidant potential after storage of sweet cherry cultivars. J. Agric. Food Chem. 2009, 57, 3240–3246. [Google Scholar] [CrossRef]
- Díaz-Mula, H.M.; Serrano, M.; Valero, D. Alginate coatings preserve fruit quality and bioactive compounds during storage of sweet cherry fruit. Food Bioprocess Technol. 2012, 5, 2990–2997. [Google Scholar] [CrossRef]
- Afonso, S.; Oliveira, I.; Ribeiro, C.; Vilela, A.; Meyer, A.S.; Gonçalves, B. Innovative edible coatings for postharvest storage of sweet cherries. Sci. Hortic. 2023, 310, 111738. [Google Scholar] [CrossRef]
- Zhang, Y.-L.; Cui, Q.-L.; Wang, Y.; Shi, F.; Liu, J.-P.; Liu, J.-L.; Nie, G.-W. Effect of carboxymethyl chitosan-gelatin-based edible coatings on the quality and antioxidant properties of sweet cherry during postharvest storage. Sci. Hortic. 2021, 289, 110462. [Google Scholar] [CrossRef]
- Meng, X.; Chen, C.; Song, T.; Xu, J.; Zhang, X.; Wang, J.; Pan, Z.; Zhang, H.; Zhang, H. Effect of nano-silica coating combined with pressurized Ar treatment on postharvest quality and reactive oxygen species metabolism in sweet cherry fruit. Food Chem. 2022, 374, 131715. [Google Scholar] [CrossRef] [PubMed]
- Serradilla, M.J.; Falagán, N.; Bohmer, B.; Terry, L.A.; Alamar, M.C. The role of ethylene and 1-MCP in early-season sweet cherry ‘Burlat’ storage life. Sci. Hortic. 2019, 258, 108787. [Google Scholar] [CrossRef]
- Zhao, H.; Fu, M.; Du, Y.; Sun, F.; Chen, Q.; Jin, T.; Zhang, Q.; Liu, B. Improvement of fruit quality and pedicel color of cold stored sweet cherry in response to prestorage 1-methylciclopropene and chlorine dioxide treatments: Combination treatment of 1-MCP plus ClO2 improves post-harvest quality of sweet cherry fruit. Sci. Hortic. 2021, 277, 109806. [Google Scholar] [CrossRef]
- Valero, D.; Díaz-Mula, H.M.; Zapata, P.J.; Castillo, S.; Guillén, F.; Martínez-Romero, D.; Serrano, M. Postharvest treatments with salicylic acid, acetylsalicylic acid or oxalic acid delayed ripening and enhanced bioactive compounds and antioxidant capacity in Sweet cherry. J. Agric. Food Chem. 2011, 59, 5483–5489. [Google Scholar] [CrossRef]
- Giménez, M.J.; Serrano, M.; Valverde, J.M.; Martínez-Romero, D.; Castillo, S.; Valero, D.; Guillén, F. Preharvest salicylic acid and acetylsalicylic acid treatments preserve quality and enhance antioxidant systems during postharvest storage of sweet cherry cultivars. J. Sci. Food Agric. 2017, 97, 1220–1228. [Google Scholar] [CrossRef]
- Einhorn, T.C.; Wang, Y.; Turner, J. Sweet cherry fruit firmness and postharvest quality of late-maturing cultivars are improved with low-rate, single applications of gibberellic acid. HortSci 2013, 48, 1010–1017. [Google Scholar] [CrossRef]
- Carrión-Antolí, A.; Lorente-Mento, J.M.; Valverde, J.M.; Castillo, S.; Valero, D.; Serrano, M. Effects of melatonin treatment on sweet cherry tree yield and fruit quality. Agronomy 2022, 12, 3. [Google Scholar] [CrossRef]
- Carrión-Antolí, A.; Martínez-Romero, D.; Guillén, F.; Zapata, P.J.; Serrano, M.; Valero, D. Melatonin pre-harvest treatments leads to maintenance of sweet cherry quality during storage by increasing antioxidant systems. Front. Plant Sci. 2022, 13, 863467. [Google Scholar] [CrossRef]
- Faizy, A.H.; Ozturk, B.; Aglar, E.; Yıldız, K. Role of methyl jasmonate application regime on fruit quality and bioactive compounds of sweet cherry at harvest and during cold storage. J. Food Process. Preserv. 2021, 45, e15882. [Google Scholar] [CrossRef]
- Jain, P.; Ghodke, M.S. Advances and perspectives of gamma-aminobutyric acid as a bioactive compound in Food. In Bioactive Natural Products for Pharmaceutical Applications; Pal, D., Nayak, A.K., Eds.; Springer: Cham, Switzerland, 2021; pp. 819–843. [Google Scholar]
- Shelp, B.J.; Bown, A.W.; Zarei, A. γ-Aminobutyrate (GABA): A metabolite and signal with practical significance. Botany 2017, 95, 1015–1032. [Google Scholar] [CrossRef]
- Li, L.; Dou, N.; Zhang, H.; Wu, C. The versatile GABA in plants. Plant Signal. Behav. 2021, 16, 862565. [Google Scholar] [CrossRef] [PubMed]
- Khan, M.I.R.; Syed, U.J.; Priyanka, C.; Himanshu, C.; Antonio, F.; Nafees, A.K.; Ansari, M.I. Role of GABA in plant growth, development and senescence. Plant Gene 2021, 26, 100283. [Google Scholar] [CrossRef]
- Ansari, M.I.; Jalil, S.U.; Ansari, S.A.; Hasanuzzaman, M. GABA shunt: A key-player in mitigation of ROS during stress. Plant Growth Regul. 2021, 94, 131–149. [Google Scholar] [CrossRef]
- Asgarian, Z.S.; Karimi, R.; Ghabooli, M.; Maleki, M. Biochemical changes and quality characterization of cold-stored ‘Sahebi’ grape in response to postharvest application of GABA. Food Chem. 2022, 373, 131401. [Google Scholar] [CrossRef] [PubMed]
- Aghdam, M.S.; Kakavand, F.; Rabiei, V.; Zaare-Nahandi, F.; Razavi, F. γ-Aminobutyric acid and nitric oxide treatments preserve sensory and nutritional quality of cornelian cherry fruits during postharvest cold storage by delaying softening and enhancing phenols accumulation. Sci. Hortic. 2019, 246, 812–817. [Google Scholar] [CrossRef]
- Zhou, C.; Dong, W.; Jin, S.; Liu, Q.; Shi, L.; Cao, S.; Li, S.; Chen, W.; Yang, Z. γ-Aminobutyric acid treatment induced chilling tolerance in postharvest peach fruit by upregulating ascorbic acid and glutathione contents at the molecular level. Front. Plant Sci. 2022, 13, 1059979. [Google Scholar] [CrossRef]
- Rastegar, S.; Khankahdani, H.H.; Rahimzadeh, M. Effect of γ-aminobutyric acid on the antioxidant system and biochemical changes of mango fruit during storage. J. Food Meas. Charact. 2020, 14, 778–789. [Google Scholar] [CrossRef]
- Zhang, H.; Pu, J.; Liu, H.; Wang, M.; Du, Y.; Tang, X.; Luo, X.; Wang, Y.; Deng, Q. Effects of l-cysteine and γ-aminobutyric acid treatment on postharvest quality and antioxidant activity of loquat fruit during storage. Int. J. Mol. Sci. 2023, 24, 10541. [Google Scholar] [CrossRef]
- Liu, Q.; Li, X.; Jin, S.; Dong, W.; Zhang, Y.; Chen, W.; Shi, L.; Cao, S.; Yang, Z. γ-Aminobutyric acid treatment induced chilling tolerance in postharvest kiwifruit (Actinidia chinensis cv. Hongyang) via regulating ascorbic acid metabolism. Food Chem. 2023, 404, 134661. [Google Scholar] [CrossRef] [PubMed]
- Badiche, F.; Valverde, J.M.; Martínez-Romero, D.; Castillo, S.; Serrano, M.; Valero, D. preharvest use of γ-aminobutyric acid (GABA) as an innovative treatment to enhance yield and quality in lemon fruit. Horticulturae 2023, 9, 93. [Google Scholar] [CrossRef]
- Al Shoffe, Y.; Nock, J.F.; Zhang, Y.; Watkins, C.B. Pre- and post-harvest γ-aminobutyric acid application in relation to fruit quality and physiological disorder development in ‘Honeycrisp’ apples. Sci. Hortic. 2021, 289, 110431. [Google Scholar] [CrossRef]
- Wang, L.; Jin, P.; Wang, J.; Jiang, L.; Shan, T.; Zheng, Y. Effect of β-aminobutyric acid on cell wall modification and senescence in sweet cherry during storage at 20 °C. Food Chem. 2015, 175, 471–477. [Google Scholar] [CrossRef] [PubMed]
- Wang, L.; Zhang, H.; Jin, P.; Guo, X.; Li, Y.; Fan, C.; Wang, J.; Zheng, Y. Enhancement of storage quality and antioxidant capacity of harvested sweet cherry fruit by immersion with β-aminobutyric acid. Postharvest Biol. Technol. 2016, 118, 71–78. [Google Scholar] [CrossRef]
- Chockchaisawasdee, S.; Golding, J.B.; Vuong, Q.V.; Papoutsis, K.; Stathopoulos, C.E. Sweet cherry: Composition, postharvest preservation, processing and trends for its future use. Trends Food Sci. Technol. 2016, 55, 72–83. [Google Scholar] [CrossRef]
- Khoshhali, M.; Nazoori, F.; Raghami, M. Effect of post-harvest application of gamma-aminobutyric acid, calcium oxide and salicylic acid on the quality and storage of tomatoes. J. Food Sci. Technol. 2022, 19, 207–233. [Google Scholar]
- Jiao, C.; Duan, Y. The role of IP3 in NO-enhanced chilling tolerance in peach fruit. J. Agric. Food Chem. 2019, 67, 8312–8318. [Google Scholar] [CrossRef]
- Han, S.; Liu, H.; Han, Y.; He, Y.; Nan, Y.; Qu, W.; Rao, J. Effects of calcium treatment on malate metabolism and γ-aminobutyric acid (GABA) pathway in postharvest apple fruit. Food Chem. 2021, 334, 127479. [Google Scholar] [CrossRef]
- Sharafi, Y.; Aghdam, M.S.; Luo, Z.; Jannatizadeh, A.; Razavi, F.; Fard, J.R.; Farmani, B. Melatonin treatment promotes endogenous melatonin accumulation and triggers GABA shunt pathway activity in tomato fruits during cold storage. Sci. Hortic. 2021, 254, 222–227. [Google Scholar] [CrossRef]
- Baek, M.W.; Choi, H.R.; Jae, L.Y.; Kang, H.M.; Lee, O.H.; Jeong, C.S.; Tilahun, S. Preharvest treatment of methyl jasmonate and salicylic acid increase the yield, antioxidant activity and GABA content of tomato. Agronomy 2021, 11, 2293. [Google Scholar] [CrossRef]
- Hou, D.; Tang, J.; Feng, Q.; Niu, Z.; Shen, Q.; Wang, L.; Zhou, S. Gamma-aminobutyric acid (GABA): A comprehensive review of dietary sources, enrichment technologies, processing effects, health benefits, and its applications. Crit. Rev. Food Sci. Nutr. 2023, in press. [Google Scholar] [CrossRef] [PubMed]
- Gonçalves, A.C.; Bento, C.; Jesus, F.; Alves, G.; Silva, L.R. Sweet cherry phenolic compounds: Identification, characterization, and health benefits. Stud. Nat. Prod. Chem. 2018, 59, 31–78. [Google Scholar] [CrossRef]
- Gonçalves, A.C.; Bento, C.; Silva, B.; Simões, M.; Silva, L.R. Nutrients, bioactive compounds and bioactivity: The health benefits of sweet cherries (Prunus avium L.). Curr. Nutr. Food Sci. 2019, 15, 208–227. [Google Scholar] [CrossRef]
- Antognoni, F.; Potente, G.; Mandrioli, R.; Angeloni, C.; Freschi, M.; Malaguti, M.; Hrelia, S.; Lugli, S.; Gennari, F.; Muzzi, E.; et al. Fruit quality characterization of new sweet cherry cultivars as a good source of bioactive phenolic compounds with antioxidant and neuroprotective potential. Antioxidants 2020, 9, 677. [Google Scholar] [CrossRef] [PubMed]
- Leong, S.Y.; Burritt, D.J.; Hocquel, A.; Penberthy, A.; Oey, I. The relationship between the anthocyanin and vitamin C contents of red-fleshed sweet cherries and the ability of fruit digests to reduce hydrogen peroxide-induced oxidative stress in Caco-2 cells. Food Chem. 2017, 227, 404–412. [Google Scholar] [CrossRef] [PubMed]
- Blackhall, M.L.; Berry, R.; Davies, N.W.; Walls, J.T. Optimized extraction of anthocyanins from Reid Fruits’ Prunus avium ‘Lapins’ cherries. Food Chem. 2018, 256, 280–285. [Google Scholar] [CrossRef]
- Gonçalves, A.C.; Campos, G.; Alves, G.; García-Viguera, C.; Moreno, D.A.; Silva, L.R. Physical and phytochemical composition of 23 Portuguese sweet cherries as conditioned by variety (or genotype). Food Chem. 2021, 335, 127637. [Google Scholar] [CrossRef]
- Mekontso, N.F.N.; Duan, W.; Cisse, E.H.M.; Chen, T.; Xu, X. Alleviation of postharvest chilling injury of carambola fruit by γ-aminobutyric acid: Physiological, biochemical, and structural characterization. Front. Nutr. 2021, 8, 752583. [Google Scholar] [CrossRef]
- Mohd Yusof, F.A.; Azman, E.M.; Mohd Adzahan, N.; Yusof, N.L. Effect of vacuum impregnation with melatonin, γ-aminobutyric acid, and oxalic acid on chilling injury and quality of carambola. Int. J. Food Sci. Technol. 2023, 58, 6432–6444. [Google Scholar] [CrossRef]
- Li, M.; Zhang, X.; Li, J.; Ali, M.; Wang, Y.; Liu, X.; Li, F.; Li, X. GABA primes defense responses against Botrytis cinerea in tomato fruit by modulating ethylene and JA signaling pathways. Postharvest Biol. Technol. 2024, 208, 112665. [Google Scholar] [CrossRef]
- Nazoori, F.; Afrashteh, S.; Mirdehghan, S.H. Impacts of carboxymethyl cellulose-based coatings with calcium oxide and GABA on storage life and quality maintenance of fresh pistachio fruit. J. Hortic. Sci. Biotechnol. 2023, 98, 365–373. [Google Scholar] [CrossRef]
- Ali, S.; Anjum, M.A.; Nawaz, A.; Ejaz, S.; Anwar, R.; Khalik, G.; Hussain, S.; Ullah, S.; Hussain, R.; Saleem, M.S.; et al. Postharvest γ-aminobutyric acid application mitigates chilling injury of aonla (Emblica officinalis Gaertn.) fruit during low temperature storage. Postharvest Biol. Technol. 2022, 185, 111803. [Google Scholar] [CrossRef]
- Lorente-Mento, J.M.; Valero, D.; Martínez-Romero, D.; Badiche, F.; Serrano, M.; Guillén, F. Preharvest multiple applications of GABA improve quality traits and antioxidant compounds of pomegranate fruit during storage. Horticulturae 2023, 9, 534. [Google Scholar] [CrossRef]
- Henriques, J.F.; Serra, D.; Dinis, T.C.P.; Almeida, L.M. The anti-neuroinflammatory role of anthocyanins and their metabolites for the prevention and treatment of brain disorders. Int. J. Mol. Sci. 2020, 21, 8653. [Google Scholar] [CrossRef] [PubMed]
- Dang, Q.F.; Yan, J.Q.; Li, Y.; Cheng, X.J.; Liu, C.S.; Chen, X.G. Chitosan acetate as an active coating material and its effects on the storing of Prunus avium L. J. Food Sci. 2010, 75, S125–S131. [Google Scholar] [CrossRef] [PubMed]
- Hodges, D.M.; Lester, G.E.; Munro, K.D.; Toivonen, P.M.A. Oxidative stress: Importance for postharvest quality. HortSci 2004, 39, 924–929. [Google Scholar] [CrossRef]
- Kumar, S.; Yadav, P.; Jain, V.; Malhotra, S.P. Isozymes of antioxidative enzymes during ripening and storage of ber (Ziziphus mauritiana Lamk.). J. Food Sci. Technol. 2014, 51, 329–334. [Google Scholar] [CrossRef]
- Ge, Y.; Duan, B.; Li, C.; Tang, Q.; Li, X.; Wei, M.; Chen, Y.; Li, J. γ-Aminobutyric acid delays senescence of blueberry fruit by regulation of reactive oxygen species metabolism and phenylpropanoid pathway. Sci. Hortic. 2018, 240, 303–309. [Google Scholar] [CrossRef]
- He, S.Y.; Zhang, G.C.; Yu, Y.Q.; Li, R.G.; Yang, Q.R. Effects of vacuum cooling on the enzymatic antioxidant system of cherry and inhibition of surface-borne pathogens. Int. J. Refrig. 2013, 36, 2387–2394. [Google Scholar] [CrossRef]
- Mujtaba, M.; Ali, Q.; Yilmaz, B.A.; Kurubas, M.S.; Ustun, H.; Erkan, M.; Kaya, M.; Cicek, M.; Oner, E.T. Understanding the effects of chitosan, chia mucilage, levan based composite coatings on the shelf life of sweet cherry. Food Chem. 2023, 416, 135816. [Google Scholar] [CrossRef] [PubMed]









| Cultivar | TSS (Day 0) | TSS (Day 28) | TA (Day 0) | TA (Day 28) | |
|---|---|---|---|---|---|
| “Prime Giant” 2019 | Control | 20.43 ± 0.24 aA | 22.73 ± 0.17 aB | 1.11 ± 0.02 aA | 0.85 ± 0.02 aB |
| GABA 10 mM | 21.88 ± 0.23 bA | 24.55 ± 0.35 bB | 1.21 ± 0.02 bA | 0.96 ± 0.01 bB | |
| GABA 50 mM | 23.03 ± 0.08 cA | 25.17 ± 0.41 bcB | 1.23 ± 0.03 bA | 0.98 ± 0.02 bB | |
| GABA 100 mM | 23.88 ± 0.18 dA | 26.32 ± 0.14 cB | 1.17 ± 0.04 abA | 0.99 ± 0.01 bB | |
| “Prime Giant” 2020 | Control | 22.63 ± 0.11 aA | 23.42 ± 0.15 aB | 1.47 ± 0.03 aA | 1.12 ± 0.03 aB |
| GABA 10 mM | 23.47 ± 0.17 bA | 25.73 ± 0.45 bB | 1.53 ± 0.03 abA | 1.27 ± 0.02 bB | |
| GABA 50 mM | 24.08 ± 0.08 cA | 27.03 ± 0.23 cB | 1.61 ± 0.02 bA | 1.37 ± 0.01 cB | |
| GABA 100 mM | 24.57 ± 0.09 dA | 26.57 ± 0.33 cB | 1.59 ± 0.01 bA | 1.36 ± 0.01 cB | |
| “Lapins” 2019 | Control | 20.90 ± 0.17 aA | 21.83 ± 0.08 aB | 1.11 ± 0.03 aA | 0.86 ± 0.03 aB |
| GABA 10 mM | 21.85 ± 0.15 bA | 23.10 ± 0.35 bB | 1.15 ± 0.03 abA | 0.98 ± 0.03 bB | |
| GABA 50 mM | 21.92 ± 0.14 bA | 22.95 ± 0.16 bB | 1.20 ± 0.02 bA | 1.03 ± 0.01 bB | |
| GABA 100 mM | 22.02 ± 0.20 bA | 23.32 ± 0.09 bB | 1.21 ± 0.03 bA | 0.99 ± 0.01 bB | |
| “Sweetheart” 2020 | Control | 20.03 ± 0.21 aA | 21.53 ± 0.17 aB | 1.32 ± 0.01 aA | 1.27 ± 0.02 aB |
| GABA 10 mM | 21.48 ± 0.23 bA | 22.40 ± 0.09 bB | 1.39 ± 0.04 abA | 1.28 ± 0.01 aB | |
| GABA 50 mM | 22.08 ± 0.04 cA | 24.20 ± 0.14 cB | 1.45 ± 0.02 bA | 1.40 ± 0.02 bB | |
| GABA 100 mM | 21.78 ± 0.20 cA | 25.83 ± 0.17 dB | 1.44 ± 0.01 bA | 1.38 ± 0.01 bB |
Disclaimer/Publisher’s Note: The statements, opinions and data contained in all publications are solely those of the individual author(s) and contributor(s) and not of MDPI and/or the editor(s). MDPI and/or the editor(s) disclaim responsibility for any injury to people or property resulting from any ideas, methods, instructions or products referred to in the content. |
© 2023 by the authors. Licensee MDPI, Basel, Switzerland. This article is an open access article distributed under the terms and conditions of the Creative Commons Attribution (CC BY) license (https://creativecommons.org/licenses/by/4.0/).
Share and Cite
Carrión-Antolí, A.; Badiche-El Hilali, F.; Lorente-Mento, J.M.; Díaz-Mula, H.M.; Serrano, M.; Valero, D. Antioxidant Systems and Quality in Sweet Cherries Are Improved by Preharvest GABA Treatments Leading to Delay Postharvest Senescence. Int. J. Mol. Sci. 2024, 25, 260. https://doi.org/10.3390/ijms25010260
Carrión-Antolí A, Badiche-El Hilali F, Lorente-Mento JM, Díaz-Mula HM, Serrano M, Valero D. Antioxidant Systems and Quality in Sweet Cherries Are Improved by Preharvest GABA Treatments Leading to Delay Postharvest Senescence. International Journal of Molecular Sciences. 2024; 25(1):260. https://doi.org/10.3390/ijms25010260
Chicago/Turabian StyleCarrión-Antolí, Alberto, Fátima Badiche-El Hilali, José M. Lorente-Mento, Huertas M. Díaz-Mula, María Serrano, and Daniel Valero. 2024. "Antioxidant Systems and Quality in Sweet Cherries Are Improved by Preharvest GABA Treatments Leading to Delay Postharvest Senescence" International Journal of Molecular Sciences 25, no. 1: 260. https://doi.org/10.3390/ijms25010260
APA StyleCarrión-Antolí, A., Badiche-El Hilali, F., Lorente-Mento, J. M., Díaz-Mula, H. M., Serrano, M., & Valero, D. (2024). Antioxidant Systems and Quality in Sweet Cherries Are Improved by Preharvest GABA Treatments Leading to Delay Postharvest Senescence. International Journal of Molecular Sciences, 25(1), 260. https://doi.org/10.3390/ijms25010260

