Diagnostic Significance of hsa-miR-21-5p, hsa-miR-192-5p, hsa-miR-155-5p, hsa-miR-199a-5p Panel and Ratios in Hepatocellular Carcinoma on Top of Liver Cirrhosis in HCV-Infected Patients
Abstract
1. Introduction
2. Results
2.1. Bioinformatics Databases Analysis
2.2. Study Data Analysis
2.3. Pathological Characteristics of the HCC Cases Are Shown in Table 3
| Groups, n (%) | HCC, 39 (100%) | Liver Cirrhosis, 40 (100%) | Statistics Test, p-Value |
|---|---|---|---|
| Parameters | Ascites | X2 = 7.63, 0.05 * | |
| No. | 24 (61.5%) | 16 (40.0%) | |
| Minimal | 8 (20.5%) | 6 (15.0%) | |
| Moderate | 5 (12.8%) | 16 (40.0%) | |
| Marked or Massive | 2 (5.1%) | 2 (5.0%) | |
| LN involvement | X2 = 5.475, 0.019 * | ||
| No. | 34 (87.2%) | 40 (100.0%) | |
| Yes | 5 (12.8%) | 0 (0.0%) | |
| Largest liver mass size | N.A. | ||
| ≤3.00 cm | 8 (20.5%) | ---- | |
| >3.00 cm | 31 (79.5%) | ---- | |
| Portal vein patency | N.A. | ||
| Patent | 28 (71.8%) | 40 (100.0%) | |
| Partially occluded | 2 (5.1%) | 0 (0.0%) | |
| Thrombosed | 9 (23.1%) | 0 (0.0%) | |
| Subclassification of liver cirrhosis and HCC if found | |||
| Child score | X2 = 8.9, 0.012 * | ||
| A = Least severe | 24 (61.5%) | 12 (30.0%) | |
| B = Moderately severe | 10 (25.6%) | 14 (35.0%) | |
| C = Most severe | 5 (12.8%) | 14 (35.0%) | |
| BCLC classification | N.A. | ||
| A = Early stage | 12 (30.8%) | - | |
| B = Intermediate stage | 10 (25.6%) | - | |
| C = Advanced stage | 12 (30.8%) | - | |
| D = Terminal stage | 5 (12.8%) | - | |
| Total | 39 (100%) | - | |
2.4. Correlation Coefficients
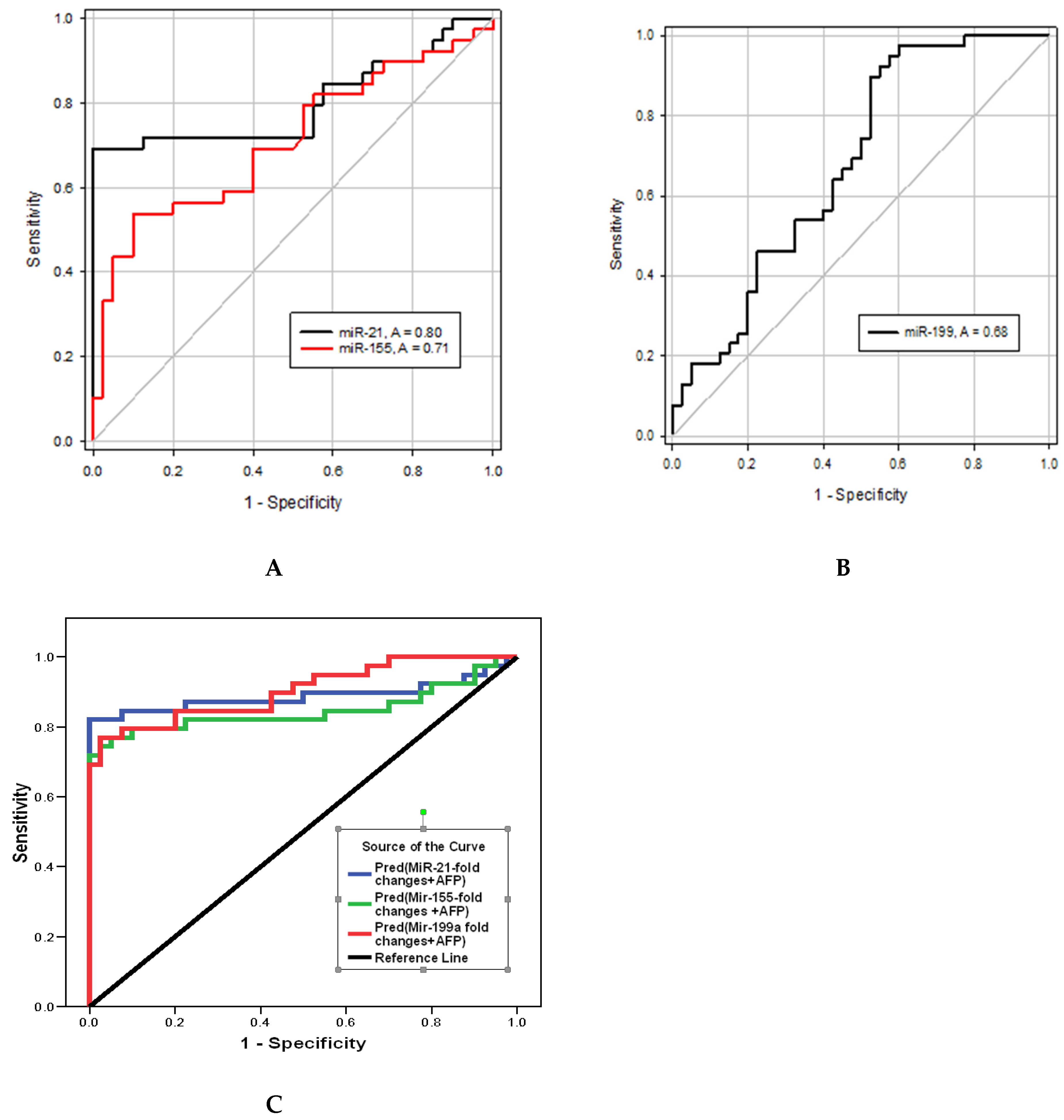
2.5. ROC Curve Analysi
2.6. Logistic Regression Analysis
2.7. Potential Target Genes of Individual miRs and hsa-miRs Panel Predicition In Silico Using the Online Algorithm
2.7.1. Gene–Gene and Pathways Interactions
2.7.2. hsa-miRs Target(s) Analysis
2.7.3. KEGG Targeted Pathways, Clusters/Heatmap Using DIANA
2.7.4. Genes That Share Domain with the Investigated MIR Genes
3. Discussion
4. Patients and Methods
4.1. miRs Selection
4.2. Study Design
4.3. Sample Size and the Study Power
4.4. Study Participants
4.5. Patients’ Data
4.6. Blood Sampling
4.6.1. RNA Extraction and qRT-PCR
4.6.2. Laboratory Testing
4.6.3. Ratios: Indices
4.7. Target Genes, Targeted Pathways Clusters/Heatmap of miRs Predicted In Silico Using Online Algorithms
4.8. Statistical Analysis
5. Conclusions
Author Contributions
Funding
Institutional Review Board Statement
Informed Consent Statement
Data Availability Statement
Acknowledgments
Conflicts of Interest
List of Abbreviations
References
- Liu, L.H.; Fang, C.K.; Ge, F.C.; Wang, J.N.; Zhang, X.B.; Luo, R.; Zhang, Y.; Feng, K.H.; Qiu, Z.W.; Zhong, C. JPHYD Inhibits miR-21-5p/Smad7-Mediated Epithelial-Mesenchymal Transition of Hepatocellular Carcinoma Cells. J. Oncol. 2022, 2022, 7823433. [Google Scholar] [CrossRef]
- Sugiyama, Y.; Sasaki, M.; Kouyama, M.; Tazaki, T.; Takahashi, S.; Nakamitsu, A. Current treatment strategies and future perspectives for gastrointestinal stromal tumors. World J. Gastrointest. Pathophysiol. 2022, 13, 15. [Google Scholar] [CrossRef] [PubMed]
- Li, W.; Han, L.; Xiao, B.; Li, X.; Ye, Z. A Predictive Nomogram of Early Recurrence for Patients with AFP-Negative Hepatocellular Carcinoma Underwent Curative Resection. Diagnostics 2022, 12, 1073. [Google Scholar] [CrossRef] [PubMed]
- Fernández-Barrena, M.G.; Arechederra, M.; Colyn, L.; Berasain, C.; Avila, M.A. Epigenetics in hepatocellular carcinoma development and therapy: The tip of the iceberg. Jhep Rep. 2020, 2, 100167. [Google Scholar] [CrossRef] [PubMed]
- Franck, M.; Thon, C.; Schütte, K.; Malfertheiner, P.; Link, A. Circulating miR-21-5p Level has Limited Prognostic Value in Patients with Hepatocellular Carcinoma and Is Influenced by Renal Function. World J. Hepatol. 2020, 12, 1031–1045. [Google Scholar] [CrossRef] [PubMed]
- Heitzer, E.; Haque, I.S.; Roberts, C.E.; Speicher, M.R. Current and future perspectives of liquid biopsies in genomics-driven oncology. Nat. Rev. Genet. 2019, 20, 71–88. [Google Scholar] [CrossRef] [PubMed]
- Mahmoud, M.M.; Sanad, E.F.; Elshimy, R.A.; Hamdy, N.M. Competitive endogenous role of the LINC00511/miR-185-3p axis and miR-301a-3p from liquid biopsy as molecular markers for breast cancer diagnosis. Front. Oncol. 2021, 11, 749753. [Google Scholar] [CrossRef]
- Mahmoud, M.M.; Sanad, E.F.; Hamdy, N.M. MicroRNAs’ role in the environment-related non-communicable diseases and link to multidrug resistance, regulation, or alteration. Environ. Sci. Pollut. Res. 2021, 28, 36984–37000. [Google Scholar] [CrossRef]
- Annese, T.; Tamma, R.; De Giorgis, M.; Ribatti, D. MicroRNAs biogenesis, functions and role in tumor angiogenesis. Front. Oncol. 2020, 10, 581007. [Google Scholar] [CrossRef]
- Shehab-Eldeen, S.; Metwaly, M.F.; Saber, S.M.; El-Kousy, S.M.; Badr, E.A.; Essa, A. MicroRNA-29a and MicroRNA-124 as Novel Biomarkers for Hepatocellular Carcinoma. Digest. Liv. Dis. 2022, 55, 283–290. [Google Scholar] [CrossRef]
- Lai, C.Y.; Yeh, K.Y.; Lin, C.Y.; Hsieh, Y.W.; Lai, H.H.; Chen, J.R.; Hsu, C.C.; Her, G.M. Microrna-21 Plays Multiple Oncometabolic Roles in the Process of Nafld-related Hepatocellular Carcinoma via Pi3k/Akt, Tgf-β, and Stat3 Signaling. Cancers 2021, 13, 940. [Google Scholar] [CrossRef] [PubMed]
- Mohamed, A.A.; Omar, A.A.A.; El-Awady, R.R.; Hassan, S.M.A.; Eitah, W.M.S.; Ahmed, R.; Tantawi, O.M.S.; Mohamed, A.A. Hsa-miR-155-5p and MiR-665 Role as Potential Non-Invasive Biomarkers for Hepatocellular Carcinoma in Egyptian Patients with Chronic Hepatitis C Virus Infection. J. Transl. Int. Med. 2020, 8, 32–40. [Google Scholar] [CrossRef] [PubMed]
- Cheng, J.; Lin, M.; Chu, M.; Gong, L.; Bi, Y.; Zhao, Y. Emerging role of FBXO22 in carcinogenesis. Cell Death Discov. 2020, 6, 66. [Google Scholar] [CrossRef] [PubMed]
- Fründt, T.; Krause, L.; Hussey, E.; Steinbach, B.; Köhler, D.; von Felden, J.; Schulze, K.; Lohse, A.W.; Wege, H.; Schwarzenbach, H. Diagnostic and prognostic value of miR-16, miR-146a, miR-192 and miR-221 in exosomes of hepatocellular carcinoma and liver cirrhosis patients. Cancers 2021, 13, 2484. [Google Scholar] [CrossRef]
- Wang, J.; Yin, G.; Bian, H.; Yang, J.; Zhou, P.; Yan, K.; Liu, C.; Chen, P.; Zhu, J.; Li, Z.; et al. LncRNA XIST upregulates TRIM25 via negatively regulating miR-192 in hepatitis B virus-related hepatocellular carcinoma. Mol. Med. 2021, 27, 41. [Google Scholar] [CrossRef]
- Huang, G.H.; Shan, H.; Li, D.; Zhou, B.; Pang, P.F. MiR-199a-5p suppresses tumorigenesis by targeting clathrin heavy chain in hepatocellular carcinoma. Cell Biochem. Funct. 2017, 35, 98–104. [Google Scholar] [CrossRef]
- Dai, M.; Chen, N.; Li, J.; Tan, L.; Li, X.; Wen, J.; Lei, L.; Guo, D. In vitro and in vivo anti-metastatic effect of the alkaliod matrine from Sophora flavecens on hepatocellular carcinoma and its mechanisms. Phytomedicine 2021, 87, 153580. [Google Scholar] [CrossRef]
- Fujii, H.; Kawada, N.; Japan Study Group of NAFLD (JSG-NAFLD). The role of insulin resistance and diabetes in nonalcoholic fatty liver disease. Int. J. Mol. Sci. 2020, 21, 3863. [Google Scholar] [CrossRef]
- Kim, H.; Lee, D.S.; An, T.H.; Park, H.J.; Kim, W.K.; Bae, K.H.; Oh, K.J. Metabolic spectrum of liver failure in type 2 diabetes and obesity: From NAFLD to NASH to HCC. Int. J. Mol. Sci. 2021, 22, 4495. [Google Scholar] [CrossRef]
- Sangineto, M.; Villani, R.; Cavallone, F.; Romano, A.; Loizzi, D.; Serviddio, G. Lipid metabolism in development and progression of hepatocellular carcinoma. Cancers 2020, 12, 1419. [Google Scholar] [CrossRef]
- Park, S.J.; Jang, J.Y.; Jeong, S.W.; Cho, Y.K.; Lee, S.H.; Kim, S.G.; Cha, S.W.; Kim, Y.S.; Cho, Y.D.; Kim, H.S.; et al. Usefulness of AFP, AFP-L3, and PIVKA-II, and their combinations in diagnosing hepatocellular carcinoma. Medicine 2017, 96, e5811. [Google Scholar] [CrossRef] [PubMed]
- Luo, P.; Wu, S.; Yu, Y.; Ming, X.; Li, S.; Zuo, X.; Tu, J. Current status and perspective biomarkers in AFP negative HCC: Towards screening for and diagnosing hepatocellular carcinoma at an earlier stage. Pathol. Oncol Res. 2020, 26, 599–603. [Google Scholar] [CrossRef] [PubMed]
- Tian, X.P.; Wang, C.Y.; Jin, X.H.; Li, M.; Wang, F.W.; Huang, W.J.; Yun, J.P.; Xu, R.H.; Cai, Q.Q.; Xie, D. Acidic microenvironment up-regulates exosomal miR-21 and miR-10b in early-stage hepatocellular carcinoma to promote cancer cell proliferation and metastasis. Theranostics 2019, 9, 1965. [Google Scholar] [CrossRef]
- Cao, L.Q.; Yang, X.W.; Chen, Y.B.; Zhang, D.W.; Jiang, X.F.; Xue, P. Exosomal Hsa-miR-21-5p Regulates the TETs/PTENp1/PTEN Pathway to Promote Hepatocellular Carcinoma Growth. Mol. Cancer 2019, 18, 148. [Google Scholar] [CrossRef] [PubMed]
- Feng, Y.H.; Tsao, C.J. Emerging Role of MicroRNA-21 in Cancer. Biomed. Rep. 2016, 5, 395–402. [Google Scholar] [CrossRef] [PubMed]
- Matsuura, Y.; Wada, H.; Eguchi, H.; Gotoh, K.; Kobayashi, S.; Kinoshita, M.; Kubo, M.; Hayashi, K.; Iwagami, Y.; Yamada, D.; et al. Exosomal miR-155 derived from hepatocellular carcinoma cells under hypoxia promotes angiogenesis in endothelial cells. Dig. Dis. Sci. 2019, 64, 792–802. [Google Scholar] [CrossRef]
- Emam, A.A.; Abo-Elkhair, S.M.; Sobh, M.; El-Sokkary, A.M. Role of exopolysaccharides (EPSs) as anti-Mir-155 in cancer cells. Heliyon 2021, 7, e06698. [Google Scholar] [CrossRef]
- Chen, W.; Wang, H.; Li, T.; Liu, T.; Yang, W.; Jin, A.; Ding, L.; Zhang, C.; Pan, B.; Guo, W.; et al. A novel prognostic model for hepatocellular carcinoma based on 5 microRNAs related to vascular invasion. BMC Med. Genom. 2022, 15, 34. [Google Scholar] [CrossRef]
- Liu, L.; Lu, L.; Zheng, A.; Xie, J.; Xue, Q.; Wang, F.; Wang, X.; Zhou, H.; Tong, X.; Li, Y.; et al. MiR-199a-5p and let-7c cooperatively inhibit migration and invasion by targeting MAP4K3 in hepatocellular carcinoma. Oncotarget 2017, 8, 13666. [Google Scholar] [CrossRef]
- Yin, S.; Jin, W.; Qiu, Y.; Fu, L.; Wang, T.; Yu, H. Solamargine induces hepatocellular carcinoma cell apoptosis and autophagy via inhibiting LIF/miR-192-5p/CYR61/Akt signaling pathways and eliciting immunostimulatory tumor microenvironment. J. hematol. Oncol. 2022, 15, 32. [Google Scholar] [CrossRef]
- Gu, Y.; Wei, X.; Sun, Y.; Gao, H.; Zheng, X.; Wong, L.L.; Jin, L.; Liu, N.; Hernandez, B.; Peplowska, K.; et al. MiR-192-5p silencing by genetic aberrations is a key event in hepatocellular carcinomas with cancer stem cell features. Cancer Res. 2019, 79, 941–953. [Google Scholar] [CrossRef]
- Liu, Z.; Pu, Y.; Bao, Y.; He, S. Investigation of potential molecular biomarkers for diagnosis and prognosis of AFP-negative HCC. Int. J. General Med. 2021, 14, 4369. [Google Scholar] [CrossRef]
- Lou, Z.; Gong, Y.Q.; Zhou, X.; Hu, G.H. Low expression of miR-199 in hepatocellular carcinoma contributes to tumor cell hyper-proliferation by negatively suppressing XBP1. Oncol. Lett. 2018, 16, 6531–6539. [Google Scholar] [CrossRef] [PubMed]
- Lin, H.; Mercer, K.E.; Ou, X.; Mansfield, K.; Buchmann, R.; Børsheim, E.; Tas, E. Circulating microRNAs Are Associated with Metabolic Markers in Adolescents with Hepatosteatosis. Front. Endocrinol. 2022, 13, 856973. [Google Scholar] [CrossRef]
- Loyer, X.; Paradis, V.; Hénique, C.; Vion, A.C.; Colnot, N.; Guerin, C.L.; Devue, C.; On, S.; Scetbun, J.; Romain, M.; et al. Liver microRNA-21 is overexpressed in non-alcoholic steatohepatitis and contributes to the disease in experimental models by inhibiting PPARα expression. Gut 2016, 65, 1882–1894. [Google Scholar] [CrossRef]
- Rodrigues, P.M.; Afonso, M.B.; Simão, A.L.; Carvalho, C.C.; Trindade, A.; Duarte, A.; Borralho, P.M.; Machado, M.V.; Cortez-Pinto, H.; Rodrigues, C.M.; et al. MiR-21 ablation and obeticholic acid ameliorate nonalcoholic steatohepatitis in mice. Cell Death Dis. 2017, 8, e2748. [Google Scholar] [CrossRef]
- Galle, P.R.; Forner, A.; Llovet, J.M.; Mazzaferro, V.; Piscaglia, F.; Raoul, J.L. Electronic address: Easloffice@ easloffice. eu. European Association for the Study of the Liver Electronic address eee, European Association for the Study of the L. EASL Clinical Practice Guidelines: Management of hepatocellular carcinoma. J. Hepatol. 2018, 69, 182–236. [Google Scholar] [CrossRef] [PubMed]
- Malik, J.; Klammer, M.; Rolny, V.; Chan, H.L.Y.; Piratvisuth, T.; Tanwandee, T.; Thongsawat, S.; Sukeepaisarnjaroen, W.; Esteban, J.I.; Bes, M.; et al. Comprehensive evaluation of microRNA as a biomarker for the diagnosis of hepatocellular carcinoma. World J. Gastroenterol. 2022, 28, 3917–3933. [Google Scholar] [CrossRef] [PubMed]
- Sorop, A.; Iacob, R.; Iacob, S.; Constantinescu, D.; Chitoiu, L.; Fertig, T.E.; Dinischiotu, A.; Chivu-Economescu, M.; Bacalbasa, N.; Savu, L.; et al. Plasma small extracellular vesicles derived miR-21-5p and miR-92a-3p as potential biomarkers for hepatocellular carcinoma screening. Front. Genet. 2020, 11, 712. [Google Scholar] [CrossRef]
- Chen, Y.; Wang, X. miRDB: An online database for prediction of functional microRNA targets. Nucleic Acids Res. 2020, 48, D127–D131. [Google Scholar] [CrossRef]
- Barshir, R.; Fishilevich, S.; Iny-Stein, T.; Zelig, O.; Mazor, Y.; Guan-Golan, Y.; Safran, M.; Lancet, D. GeneCaRNA: A comprehensive gene-centric database of human non-coding RNAs in the genecards suite. J. Mol. Biol. 2021, 433, 166913. [Google Scholar] [CrossRef]
- Liu, W.; Wang, X. Prediction of functional microRNA targets by integrative modeling of microRNA binding and target expression data. Genome Biol. 2019, 20, 18. [Google Scholar] [CrossRef] [PubMed]
- Hammad, R.; Aglan, R.B.; Mohammed, S.A.; Awad, E.A.E.; Elsaid, M.A.; Bedair, H.M.; Khirala, S.K.; Selim, M.A.; Abo Elqasem, A.A.; Rushdi, A.; et al. Cytotoxic T Cell Expression of Leukocyte-Associated Immunoglobulin-Like Receptor-1 (LAIR-1) in Viral Hepatitis C-Mediated Hepatocellular Carcinoma. Int. J. Mol. Sci. 2022, 23, 12541. [Google Scholar] [CrossRef] [PubMed]
- Marrero, J.A.; Kulik, L.M.; Sirlin, C.B.; Zhu, A.X.; Finn, R.S.; Abecassis, M.M.; Roberts, L.R.; Heimbach, J.K. Diagnosis, Staging, and Management of Hepatocellular Carcinoma: 2018 Practice Guidance by the American Association for the Study of Liver Diseases. Hepatology 2018, 68, 723–750. [Google Scholar] [CrossRef] [PubMed]
- Tsoris, A.; Marlar, C.A. Use Of The Child Pugh Score In Liver Disease. In StatPearls; StatPearls Publishing: Treasure Island, FL, USA, 2022. [Google Scholar] [PubMed]
- Tellapuri, S.; Sutphin, P.D.; Beg, M.S.; Singal, A.G.; Kalva, S.P. Staging systems of hepatocellular carcinoma: A review. Indian J. Gastroenterol. 2018, 37, 481–491. [Google Scholar] [CrossRef] [PubMed]
- Meng, X.; Wei, G.; Chang, Q.; Peng, R.; Shi, G.; Zheng, P.; He, F.; Wang, W.; Liang Ming, L. The platelet-to-lymphocyte ratio, superior to the neutrophil-to-lymphocyte ratio, correlates with hepatitis C virus infection. Int. J. Infect. Dis. 2016, 45, 72–77. [Google Scholar] [CrossRef]
- Kang, B.; Yang, Y.; Lee, E.Y.; Yang, H.K.; Kim, H.S.; Lim, S.Y.; Lee, J.H.; Lee, S.S.; Suh, B.K.; Yoon, K.H. Triglycerides/glucose index is a useful surrogate marker of insulin resistance among adolescents. Int. J. Obesity 2017, 41, 789–792. [Google Scholar] [CrossRef] [PubMed]
- Matthews, D.R.; Hosker, J.P.; Rudenski, A.S.; Naylor, B.A.; Treacher, D.F.; Turner, R.C. Homeostasis model assessment: Insulin resistance and beta-cell function from fasting plasma glucose and insulin concentrations in man. Diabetologia 1985, 28, 412–419. [Google Scholar] [CrossRef]
- Moller, D.E.; Flier, J.S. Insulin resistance—Mechanisms, syndromes, and implications. N. Engl. J. Med. 1991, 325, 938–948. [Google Scholar]
- Fernandes, J.D.; Hinrichs, A.S.; Clawson, H.; Gonzalez, J.N.; Lee, B.T.; Nassar, L.R.; Raney, B.J.; Rosenbloom, K.R.; Nerli, S.; Rao, A.A.; et al. The UCSC SARS-CoV-2 genome browser. Nat. Genet. 2020, 52, 991–998. [Google Scholar] [CrossRef]
- Vlachos, I.S.; Zagganas, K.; Paraskevopoulou, M.D.; Georgakilas, G.; Karagkouni, D.; Vergoulis, T.; Dalamagas, T.; Hatzigeorgiou, A.G. DIANA-miRPath v3.0: Deciphering microRNA function with experimental support. Nucleic Acids Res. 2015, 43, W460–W466. [Google Scholar] [CrossRef] [PubMed]
- Kanehisa, M.; Furumichi, M.; Sato, Y.; Kawashima, M.; Ishiguro-Watanabe, M. KEGG for taxonomy-based analysis of pathways and genomes. Nucleic Acids Res. 2023, 51, D587–D592. [Google Scholar] [CrossRef] [PubMed]
- Stelzer, G.; Inger, A.; Olender, T.; Iny-Stein, T.; Dalah, I.; Harel, A.; Safran, M.; Lancet, D. GeneDecks: Paralog hunting and gene-set distillation with GeneCards annotation. OMICS A J. Integr. Biol. 2009, 13, 477–487. [Google Scholar] [CrossRef] [PubMed]



| Mature miR | hsa-miR-21-5p | hsa-miR-155-5p | hsa-miR-192-5p | hsa-miR-199a-5p |
|---|---|---|---|---|
| Sequence (5′-3′) | uagcuuaucagacugauguuga | uuaaugcuaaucgugauagggguu | cugaccuaugaauugacagcc | cccaguguucagacuaccuguuc |
| Length | 22 | 24 | 21 | 23 |
| miRBase ID | MIMAT0000076 | MIMAT0000646 | MIMAT0000222 | MIMAT0000231 |
| Similar miRNAs | hsa-miR-590-5p | - | hsa-miR-215-5p | hsa-miR-199b-5p |
| Clustered miRNAs # | - | - | hsa-miR-194-2 hsa-miR-6750 | hsa-miR-3120 has-miR-214 |
| Genomic location | chr17:59841266-59841337 (+) | chr21:25573980-25574044 (+) | chr11:64891137-64891246 (-) | chr1:172144535-172144644 chr19:10817426-10817496 (-) |
| Group (n) | |||
|---|---|---|---|
| Data/Characteristics (Unit) | HCC (39) | LC (40) | p Value |
| Gender (M/F) | 27/12 | 28/12 | NS |
| Age (years) | 61.0 (56.0–67.0) | 58.5 (54.25–65.0) | NS |
| BMI (Kg/m2) | 29.0 (27.0–31.0) | 29.9 (27.55–33.2) | NS |
| D.M (Yes/No) | 15/24 | 24/16 | NS |
| s. Insulin (mIU/L) | 25.0 (15.7–42.5) | 13.5 (5.98–20.37) | 0.001 * |
| Insulin resistance (Yes/No) | 28/11 | 25/15 | 0.001 * |
| AST (U/L) | 77.0 (62–105.0) | 72.0 (62.0–78.0) | NS |
| ALT (U/L) | 51.0 (42.0–65.0) | 57.0 (50.0–63.7) | NS |
| Total Bilirubin (mg/dl) | 1.2 (0.9–2.0) | 1.5 (1.0–3.07) | NS |
| Direct Bilirubin (mg/dl) | 0.70 (0.40–1.2) | 0.8 (0.4–1.95) | NS |
| ALP (U/L) | 110 (82.0–155.0) | 120 (99.8–132.8) | NS |
| GGT (U/L) | 60 (53.0–77.0) | 67 (55.3–83.5) | NS |
| TC (mg/dl) | 162 (122.0–220) | 147 (112-181) | NS |
| TAG (mg/dl) | 133 (94.0–193.0) | 115 (76.8–147) | NS |
| HDL-C (mg/dl) | 34 (26.0–40.0) | 36.5 (30.5–41.75) | NS |
| TAG/HDL-C ratio | 4.1 (2.6–6.7) | 3.3 (2.34–4.59) | NS |
| INR | 1.2 (1.1–1.37) | 1.5 (1.30–2.06) | <0.001 * |
| Group, n | |||
|---|---|---|---|
| Parameter (Unit) | HCC, 39 | LC, 40 | p Value |
| AFP (ng/mL) | 80 (13–305) | 7.4 (4.5–10.37) | <0.001 * |
| hsa-miR-21-5p-fold changes | 27.6 (6.9–69.5) | 8.6 (3.9–11.3) | <0.001 * |
| hsa-miR-155-5p-fold changes | 3.1 (1.7–8.12) | 1.8 (0.76–2.2) | 0.001 * |
| hsa-miR-192-5p-fold changes | 0.90 (0.4–1.52) | 1.5 (0.55–5.04) | NS |
| hsa-miR-199a-5p fold changes | 0.16 (0.04–0.4) | 0.37 (0.08–5.64) | 0.046 * |
| hsa-miR-21-5p/hsa-miR-199a-5p | 85.6 (27-2759.1) | 20.3 (1.1–66.7) | <0.001 * |
| hsa-miR-155-5p/hsa-miR-199a-5p | 16.5 (4.4-119.4) | 2.7 (0.48–19.1) | 0.002 * |
| AFP -/+ HCC, n | |||
|---|---|---|---|
| Characteristics (unit) | AFP-ve HCC, 12 | AFP + ve HCC, 27 | p Value |
| hsa-miR-21-5p-fold changes Min–Max median (inter-quartiles) | 1.92–69.5 14.8 (3.0–34.8) | 3.29–407.31 32.6 (21.3–116.9) | 0.015 * |
| hsa-miR-155-5p-fold changes Min–Max median (inter-quartiles) | 0.17–247.3 1.7 (0.46–6.6) | 0.80–324.03 3.8 (1.9–11.2) | NS |
| hsa-miR-192-5p-fold changes Min–Max median (inter-quartiles) | 0.14–23.2 0.97 (0.45–3.5) | 0.09–3.86 0.90 (0.36–1.4) | NS |
| hsa-miR-199a-5p fold changes Min–Max median (inter-quartiles) | 0.01–2.38 0.16 (0.035–0.38) | 0.00–5.39 0.23 (0.04 –0.63) | NS |
| hsa-miR-21-5p/hsa-miR-199a-5p Min–Max median (inter-quartiles) | 12.13–8364.1 52.7 (16.8–311.3) | 1.06–121,449.75 87.4 (32.2–3468.3) | NS |
| hsa-miR-155-5p/hsa-miR-199a-5p Min–Max median (inter-quartiles) | 2.7–29,737.5 12.3 (3.8–29.9) | 0.15–41,764.80 17.4 (6.9–207.9) | NS |
| CHCV-G4 Patients (n = 79) miRs-Fold Change | ||||||||
|---|---|---|---|---|---|---|---|---|
| hsa-miR-21-5p | hsa-miR-155-5p | hsa-miR-192-5p | hsa-miR-199a-5p | |||||
| Data/Characteristics (Unit) | r | p-Value | r | p-Value | r | p-Value | r | p-Value |
| Age (Years) | 0.004 | NS | −0.004 | NS | −0.060 | NS | −0.054 | NS |
| BMI (kg/m2) | 0.103 | NS | 0.059 | NS | −0.124 | NS | −0.222 | 0.050 * |
| s. Insulin (mIU/L) | 0.334 | 0.01 * | 0.203 | NS | −0.001 | NS | −0.125 | NS |
| AFP (ng/mL) | 0.534 | <0.001 * | 0.371 | 0.001 * | −0.092 | NS | −0.023 | NS |
| AST (U/L) | 0.104 | NS | −0.001 | NS | 0.070 | NS | 0.03 | NS |
| ALT (U/L) | −0.172 | NS | −0.138 | NS | 0.114 | NS | −0.068 | NS |
| ALP (U/L) | −0.263 | 0.019 * | −0.163 | NS | −0.043 | NS | 0.069 | NS |
| GGT (U/L) | −0.144 | NS | −0.120 | NS | 0.106 | NS | 0.145 | NS |
| TAG (mg/dL) | 0.241 | 0.033 * | 0.180 | NS | −0.144 | NS | 0.133 | NS |
| TC (mg/dL) | 0.235 | 0.037 * | 0.120 | NS | −0.230 | 0.042 * | 0.075 | NS |
| HDL-C (mg/dL) | −0.110 | NS | −0.064 | NS | −0.062 | NS | −0.064 | NS |
| TAG/HDL-C | 0.195 | NS | 0.115 | NS | −0.085 | NS | 0.111 | NS |
| PLR | −0.045 | NS | 0.137 | NS | −0.119 | NS | 0.298 | 0.008 * |
| Number of liver masses | −0.027 | NS | −0.038 | NS | 0.010 | NS | −0.018 | NS |
| Insulin resistance | 0.303 | 0.02 * | 0.103 | NS | 0.140 | NS | −0.090 | NS |
| % | |||||
|---|---|---|---|---|---|
| Variables (Unit) | Cut-Off Point | AUC | Sensitivity | Specificity | p-Value * |
| AFP (ng/mL) | >23.3 | 0.85 | 69 | 100 | <0.001 |
| hsa-miR-21-5p-fold changes | >7.3 | 0.8 | 74 | 45 | <0.001 |
| hsa-miR-155-5p-fold changes | >1.8 | 0.7 | 72 | 48 | <0.01 |
| hsa-miR-199a-5p fold changes | <0.44 | 0.63 | 79 | 45 | <0.05 |
| hsa-miR-21-5p-fold changes & AFP | - | 0.888 | 87 | 77.5 | <0.001 |
| hsa-miR-155-5p-fold changes & AFP | - | 0.847 | 82 | 77.5 | <0.001 |
| hsa-miR-199a-5p fold changes & AFP | - | 0.904 | 84 | 80 | <0.001 |
| hsa-miR-21-5p/hsa-miR-199a-5p | 11.45 | 0.76 | 95 | 48 | <0.001 |
| hsa-miR-155-5p/hsa-miR-199a-5p | 2.89 | 0.71 | 92 | 53 | <0.01 |
| 95% C.I. | ||||
|---|---|---|---|---|
| Variables (Unit) | p Value | OR | Lower | Upper |
| hsa-miR-21-5p | 0.002 * | 1.189 | 1.063 | 1.329 |
| hsa-miR-155-5p | NS | 0.984 | 0.881 | 1.100 |
| hsa-miR-192-5p | NS | 1.009 | 0.851 | 1.196 |
| hsa-miR-199a-5p | NS | 0.836 | 0.594 | 1.177 |
| hsa-miR-21-5p/hsa-miR-199a-5p | NS | 1.0 | 1.0 | 1.0 |
| hsa-miR-155-5p/hsa-miR-199a-5p | NS | 1.0 | 0.99 | 1.0 |
| Age (years) | 0.027 * | 1.132 | 1.014 | 1.263 |
| BMI (Kg/m2) | 0.02 * | 0.746 | 0.583 | 0.955 |
| TAG/HDL-C | NS | 1.180 | 0.927 | 1.501 |
| TAG | NS | 1.002 | 0.988 | 1.016 |
| TC | NS | 1.004 | 0.992 | 1.015 |
| RBS | NS | 0.993 | 0.981 | 1.005 |
Disclaimer/Publisher’s Note: The statements, opinions and data contained in all publications are solely those of the individual author(s) and contributor(s) and not of MDPI and/or the editor(s). MDPI and/or the editor(s) disclaim responsibility for any injury to people or property resulting from any ideas, methods, instructions or products referred to in the content. |
© 2023 by the authors. Licensee MDPI, Basel, Switzerland. This article is an open access article distributed under the terms and conditions of the Creative Commons Attribution (CC BY) license (https://creativecommons.org/licenses/by/4.0/).
Share and Cite
Eldosoky, M.A.; Hammad, R.; Elmadbouly, A.A.; Aglan, R.B.; AbdelHamid, S.G.; Alboraie, M.; Hassan, D.A.; Shaheen, M.A.; Rushdi, A.; Ahmed, R.M.; et al. Diagnostic Significance of hsa-miR-21-5p, hsa-miR-192-5p, hsa-miR-155-5p, hsa-miR-199a-5p Panel and Ratios in Hepatocellular Carcinoma on Top of Liver Cirrhosis in HCV-Infected Patients. Int. J. Mol. Sci. 2023, 24, 3157. https://doi.org/10.3390/ijms24043157
Eldosoky MA, Hammad R, Elmadbouly AA, Aglan RB, AbdelHamid SG, Alboraie M, Hassan DA, Shaheen MA, Rushdi A, Ahmed RM, et al. Diagnostic Significance of hsa-miR-21-5p, hsa-miR-192-5p, hsa-miR-155-5p, hsa-miR-199a-5p Panel and Ratios in Hepatocellular Carcinoma on Top of Liver Cirrhosis in HCV-Infected Patients. International Journal of Molecular Sciences. 2023; 24(4):3157. https://doi.org/10.3390/ijms24043157
Chicago/Turabian StyleEldosoky, Mona A., Reham Hammad, Asmaa A. Elmadbouly, Reda Badr Aglan, Sherihan G. AbdelHamid, Mohamed Alboraie, Donia Ahmed Hassan, Mohamed A. Shaheen, Areej Rushdi, Reem M. Ahmed, and et al. 2023. "Diagnostic Significance of hsa-miR-21-5p, hsa-miR-192-5p, hsa-miR-155-5p, hsa-miR-199a-5p Panel and Ratios in Hepatocellular Carcinoma on Top of Liver Cirrhosis in HCV-Infected Patients" International Journal of Molecular Sciences 24, no. 4: 3157. https://doi.org/10.3390/ijms24043157
APA StyleEldosoky, M. A., Hammad, R., Elmadbouly, A. A., Aglan, R. B., AbdelHamid, S. G., Alboraie, M., Hassan, D. A., Shaheen, M. A., Rushdi, A., Ahmed, R. M., Abdelbadea, A., Abdelmageed, N. A., Elshafei, A., Ali, E., Abo-Elkheir, O. I., Zaky, S., Hamdy, N. M., & Lambert, C. (2023). Diagnostic Significance of hsa-miR-21-5p, hsa-miR-192-5p, hsa-miR-155-5p, hsa-miR-199a-5p Panel and Ratios in Hepatocellular Carcinoma on Top of Liver Cirrhosis in HCV-Infected Patients. International Journal of Molecular Sciences, 24(4), 3157. https://doi.org/10.3390/ijms24043157

