Photoactivatable Heptamethine-Based Carbonic Anhydrase Inhibitors Leading to New Anti-Antibacterial Agents
Abstract
1. Introduction
2. Results and Discussion
2.1. Compounds Design and Synthesis
2.2. UV–Vis Absorption and Fluorescent Emission Spectra
2.3. Carbonic Anhydrase Inhibition
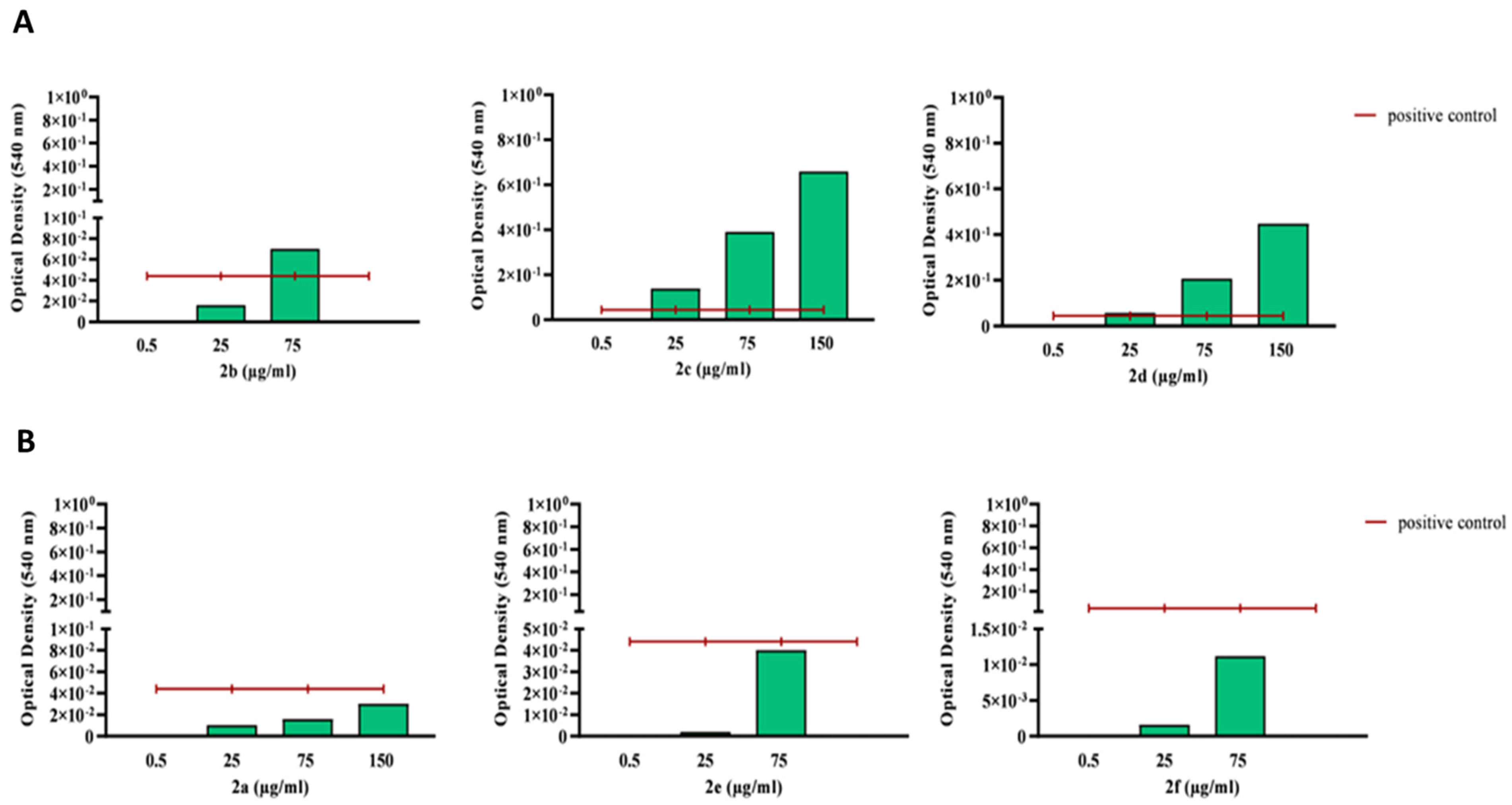
2.4. Antibacterial Assays
3. Materials and Methods
3.1. General
3.2. General Procedure for the Synthesis of Compounds 2a,c,e
3.3. General Procedure for the Synthesis of Compounds 2b,d,f
3.4. Synthesis of Compound 2a
3.5. Synthesis of Compound 2b
3.6. Synthesis of Compound 2c
3.7. Synthesis of Compound 2d
3.8. Synthesis of Compound 2e
3.9. Synthesis of Compound 2f
3.10. Carbonic Anhydrase Inhibition
3.11. Bacteria Culturing Conditions and Antibacterial Properties Assays
3.12. Photoactivity Properties Assay
3.13. Cytotoxicity
3.14. Hemolysis
4. Conclusions
Supplementary Materials
Author Contributions
Funding
Institutional Review Board Statement
Informed Consent Statement
Data Availability Statement
Conflicts of Interest
References
- Laxminarayan, R.; Matsoso, P.; Pant, S.; Brower, C.; Røttingen, J.-A.; Klugman, K.; Davies, S. Access to Effective Antimicrobials: A Worldwide Challenge. Lancet 2016, 387, 168–175. [Google Scholar] [CrossRef]
- Available online: https://www.who.int/publications/i/item/9789240047655 (accessed on 20 October 2022).
- Wainwright, M.; Maisch, T.; Nonell, S.; Plaetzer, K.; Almeida, A.; Tegos, G.P.; Hamblin, M.R. Photoantimicrobials—Are We Afraid of the Light? Lancet Infect. Dis. 2017, 17, e49–e55. [Google Scholar] [CrossRef] [PubMed]
- Kunstek, H.; Vreken, F.; Keita, A.; Hamblin, M.R.; Dumarçay, F.; Varbanov, M. Aspects of Antiviral Strategies Based on Different Phototherapy Approaches: Hit by the Light. Pharmaceuticals 2022, 15, 858. [Google Scholar] [CrossRef]
- Garcez, A.S.; Kaplan, M.; Jensen, G.J.; Scheidt, F.R.; Oliveira, E.M.; Suzuki, S.S. Effects of Antimicrobial Photodynamic Therapy on Antibiotic-Resistant Escherichia coli. Photodiagn. Photodyn. Ther. 2020, 32, 102029. [Google Scholar] [CrossRef]
- Mulani, M.S.; Kamble, E.E.; Kumkar, S.N.; Tawre, M.S.; Pardesi, K.R. Emerging Strategies to Combat ESKAPE Pathogens in the Era of Antimicrobial Resistance: A Review. Front. Microbiol. 2019, 10, 539. [Google Scholar] [CrossRef] [PubMed]
- Marasini, S.; Leanse, L.G.; Dai, T. Can Microorganisms Develop Resistance against Light Based Anti-Infective Agents? Adv. Drug Deliv. Rev. 2021, 175, 113822. [Google Scholar] [CrossRef]
- Ahrari, F.; Shahabi, M.; Fekrazad, R.; Eslami, N.; Mazhari, F.; Ghazvini, K.; Emrani, N. Antimicrobial photodynamic therapy of Lactobacillus acidophilus by indocyanine green and 810-nm diode laser. Photodiagnosis Photodyn. Ther. 2018, 24, 145–149. [Google Scholar] [CrossRef]
- Supuran, C.T. Structure and function of carbonic anhydrases. Biochem. J. 2016, 473, 2023–2032. [Google Scholar] [CrossRef] [PubMed]
- Supuran, C.T.; Capasso, C. An Overview of the Bacterial Carbonic Anhydrases. Metabolites 2017, 7, 56. [Google Scholar] [CrossRef]
- Abutaleb, N.S.; Elhassanny, A.E.M.; Seleem, M.N. In vivo efficacy of acetazolamide in a mouse model of Neisseria gonorrhoeae infection. Microb. Pathog. 2022, 164, 105454. [Google Scholar] [CrossRef] [PubMed]
- D’Agostino, I.; Mathew, G.E.; Angelini, P.; Venanzoni, R.; Angeles Flores, G.; Angeli, A.; Carradori, S.; Marinacci, B.; Menghini, L.; Abdelgawad, M.A.; et al. Biological investigation of N-methyl thiosemicarbazones as antimicrobial agents and bacterial carbonic anhydrases inhibitors. J. Enzyme Inhib. Med. Chem. 2022, 37, 986–993. [Google Scholar] [CrossRef] [PubMed]
- Tanini, D.; Carradori, S.; Capperucci, A.; Lupori, L.; Zara, S.; Ferraroni, M.; Ghelardini, C.; Di Cesare Mannelli, L.; Micheli, L.; Lucarini, E.; et al. Chalcogenides-incorporating carbonic anhydrase inhibitors concomitantly reverted oxaliplatin-induced neuropathy and enhanced antiproliferative action. Eur. J. Med. Chem. 2021, 225, 113793. [Google Scholar] [CrossRef] [PubMed]
- Angeli, A.; Tanini, D.; Capperucci, A.; Malevolti, G.; Turco, F.; Ferraroni, M.; Supuran, C.T. Synthesis of different thio-scaffolds bearing sulfonamide with subnanomolar carbonic anhydrase II and IX inhibitory properties and X-ray investigations for their inhibitory mechanism. Bioorg. Chem. 2018, 81, 642–648. [Google Scholar] [CrossRef] [PubMed]
- Angeli, A.; Tanini, D.; Capperucci, A.; Supuran, C.T. Synthesis of Novel Selenides Bearing Benzenesulfonamide Moieties as Carbonic Anhydrase I, II, IV, VII, and IX Inhibitors. ACS Med. Chem. Lett. 2017, 8, 1213–1217. [Google Scholar] [CrossRef] [PubMed]
- Liu, B.; Wang, H.; Yang, D.; Tan, R.; Zhao, R.R.; Xu, R.; Zhou, Z.J.; Zhang, J.F.; Zhou, Y. A cyanine-based colorimetric and fluorescent probe for highly selective sensing and bioimaging of phosphate ions. Dyes Pigm. 2016, 133, 127–131. [Google Scholar] [CrossRef]
- Samanta, A.; Vendrell, M.; Das, R.; Chang, Y.-T. Development of photostable near-infrared cyanine dyes. Chem. Commun. 2010, 46, 7406–7408. [Google Scholar] [CrossRef]
- Benson, R.C.; Kues, H.A. Kues Absorption and fluorescence properties of cyanine dyes. J. Chem. Eng. Data 1977, 22, 379–383. [Google Scholar] [CrossRef]
- Khalifah, R.G. The carbon dioxide hydration activity of carbonic anhydrase. I. Stop flow kinetic studies on the native human isoenzymes B and C. J. Biol. Chem. 1971, 246, 2561–2573. [Google Scholar] [CrossRef]
- Supuran, C.T. Carbonic anhydrases: Novel therapeutic applications for inhibitors and activators. Nat. Rev. Drug Discov. 2008, 7, 168–181. [Google Scholar] [CrossRef]
- Angeli, A.; Pinteala, M.; Maier, S.S.; Del Prete, S.; Capasso, C.; Simionescu, B.C.; Supuran, C.T. Inhibition of α-, β-, γ-, δ-, ζ- and η-class carbonic anhydrases from bacteria, fungi, algae, diatoms and protozoans with famotidine. J. Enzyme Inhib. Med. Chem. 2019, 34, 644–650. [Google Scholar] [CrossRef]
- Angeli, A.; Trallori, E.; Carta, F.; Di Cesare Mannelli, L.; Ghelardini, C.; Supuran, C.T. Heterocoumarins Are Selective Carbonic Anhydrase IX and XII Inhibitors with Cytotoxic Effects against Cancer Cells Lines. ACS Med. Chem. Lett. 2018, 9, 947–951. [Google Scholar] [CrossRef] [PubMed]
- ISO 20776-1:2019; Susceptibility Testing of Infectious Agents and Evaluation of Performance of Antimicrobial Susceptibility Test Devices—Part 1: Broth Micro-Dilution Reference Method for Testing the In Vitro Activity of Antimicrobial Agents Against Rapidly Growing Aerobic Bacteria Involved in Infectious Diseases. ISO: Geneva, Switzerland, 2019.
- Moleirinho, M.G.; Rosa, S.; Carrondo, M.J.T.; Silva, R.J.S.; Hagner-McWhirter, Å.; Ahlén, G.; Lundgren, M.; Alves, P.M.; Peixoto, C. Clinical-Grade Oncolytic Adenovirus Purification Using Polysorbate 20 as an Alternative for Cell Lysis. Curr. Gene Ther. 2018, 18, 366–374. [Google Scholar] [CrossRef] [PubMed]
- Fantacuzzi, M.; D’Agostino, I.; Carradori, S.; Liguori, F.; Carta, F.; Agamennone, M.; Angeli, A.; Sannio, F.; Docquier, J.D.; Capasso, C.; et al. Benzenesulfonamide derivatives as Vibrio cholerae carbonic anhydrases inhibitors: A computational-aided insight in the structural rigidity-activity relationships. J. Enzyme Inhib. Med. Chem. 2023, 38, 2201402. [Google Scholar] [CrossRef] [PubMed]
- Puca, V.; Turacchio, G.; Marinacci, B.; Supuran, C.T.; Capasso, C.; Di Giovanni, P.; D’Agostino, I.; Carradori, S.; Grande, R. Antimicrobial and Antibiofilm Activities of Carvacrol, Amoxicillin and Salicylhydroxamic Acid Alone and in Combination vs. Helicobacter pylori: Towards a New Multi-Targeted Therapy. Int. J. Mol. Sci. 2023, 24, 4455. [Google Scholar]





| KI (nM) 1 | ||||||||
|---|---|---|---|---|---|---|---|---|
| Cmpd | hCA I | hCA II | MscCA | E. coli β | E. coli γ | PsCA1 | PsCA3 | SmuCA |
| 2a | 410.0 | 163.3 | 62.5 | 54.8 | 120.3 | 60.4 | 89.4 | 102.4 |
| 2b | 957.1 | 587.9 | 55.8 | 69.4 | 93.5 | 46.9 | 48.1 | 73.3 |
| 2c | 529.0 | 91.0 | 59.3 | 60.2 | 117.1 | 64.8 | 76.8 | 99.5 |
| 2d | 923.3 | 182.7 | 68.3 | 69.8 | 111.1 | 88.7 | 81.0 | 92.7 |
| 2e | 860.8 | 159.7 | 67.2 | 74.1 | 109.8 | 71.1 | 77.7 | 103.5 |
| 2f | 3899 | 624.7 | 74.5 | 64.9 | 123.8 | 58.3 | 94.5 | 85.2 |
| AAZ | 250.0 | 12.1 | 628 | 227 | 248 | 37 | 75.9 | 344 |
| E. faecalis | S. aureus | S. epidermidis | MRC-5 | ||||
|---|---|---|---|---|---|---|---|
| Cmpd | MIC (µg/mL) | MBC | MIC (µg/mL) | MBC | MIC (µg/mL) | MBC | IC50 |
| 2a | 16–64 | bactericidal | 8–32 | bacteriostatic | 4–16 | bactericidal | 38.5 µg/mL |
| 2c | >256 | >256 | >256 | >256 | >256 | >256 | >256 µg/mL |
| 2b | 16–64 | bacteriostatic | 8–32 | bacteriostatic | 4–16 | bacteriostatic | 82.2 µg/mL |
| 2f | 32–128 | bactericidal | 16–64 | bacteriostatic | 2–8 | bacteriostatic | 78.8 µg/mL |
| 2d | >256 | >256 | >256 | >256 | >256 | >256 | >256 µg/mL |
| 2e | 16–64 | bactericidal | 8–32 | bactericidal | 1–4 | bactericidal | 2 µg/mL |
| S. epidermidis | ||
|---|---|---|
| Compound | MBC | Growth Reduction |
| 2a | bactericidal | 1 log reduction |
| 2c | >256 | 1 log reduction |
| 2b | bacteriostatic | 2 log reduction |
| 2f | bacteriostatic | 1 log reduction |
| 2d | >256 | 1 log reduction |
| 2e | bactericidal | 0 log reduction |
| Genus | Species | Origin | Year |
|---|---|---|---|
| Enterococcus | faecalis | Clinical isolate, CHU Nancy | 2021 |
| Staphylococcus | aureus | ATCC 29213, | 2020/21 |
| Staphylococcus | epidermidis | ATCC 14990, | 2020 |
Disclaimer/Publisher’s Note: The statements, opinions and data contained in all publications are solely those of the individual author(s) and contributor(s) and not of MDPI and/or the editor(s). MDPI and/or the editor(s) disclaim responsibility for any injury to people or property resulting from any ideas, methods, instructions or products referred to in the content. |
© 2023 by the authors. Licensee MDPI, Basel, Switzerland. This article is an open access article distributed under the terms and conditions of the Creative Commons Attribution (CC BY) license (https://creativecommons.org/licenses/by/4.0/).
Share and Cite
Carradori, S.; Angeli, A.; Sfragano, P.S.; Yzeiri, X.; Calamante, M.; Tanini, D.; Capperucci, A.; Kunstek, H.; Varbanov, M.; Capasso, C.; et al. Photoactivatable Heptamethine-Based Carbonic Anhydrase Inhibitors Leading to New Anti-Antibacterial Agents. Int. J. Mol. Sci. 2023, 24, 9610. https://doi.org/10.3390/ijms24119610
Carradori S, Angeli A, Sfragano PS, Yzeiri X, Calamante M, Tanini D, Capperucci A, Kunstek H, Varbanov M, Capasso C, et al. Photoactivatable Heptamethine-Based Carbonic Anhydrase Inhibitors Leading to New Anti-Antibacterial Agents. International Journal of Molecular Sciences. 2023; 24(11):9610. https://doi.org/10.3390/ijms24119610
Chicago/Turabian StyleCarradori, Simone, Andrea Angeli, Patrick S. Sfragano, Xheila Yzeiri, Massimo Calamante, Damiano Tanini, Antonella Capperucci, Hannah Kunstek, Mihayl Varbanov, Clemente Capasso, and et al. 2023. "Photoactivatable Heptamethine-Based Carbonic Anhydrase Inhibitors Leading to New Anti-Antibacterial Agents" International Journal of Molecular Sciences 24, no. 11: 9610. https://doi.org/10.3390/ijms24119610
APA StyleCarradori, S., Angeli, A., Sfragano, P. S., Yzeiri, X., Calamante, M., Tanini, D., Capperucci, A., Kunstek, H., Varbanov, M., Capasso, C., & Supuran, C. T. (2023). Photoactivatable Heptamethine-Based Carbonic Anhydrase Inhibitors Leading to New Anti-Antibacterial Agents. International Journal of Molecular Sciences, 24(11), 9610. https://doi.org/10.3390/ijms24119610

